Spiral Annealing of Magnetic Microwires
Abstract
1. Introduction
2. Experimental Details
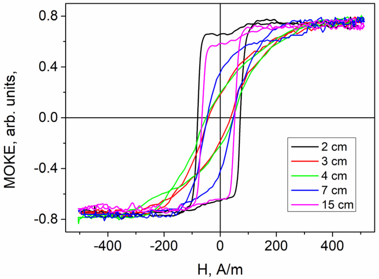
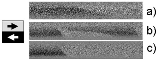
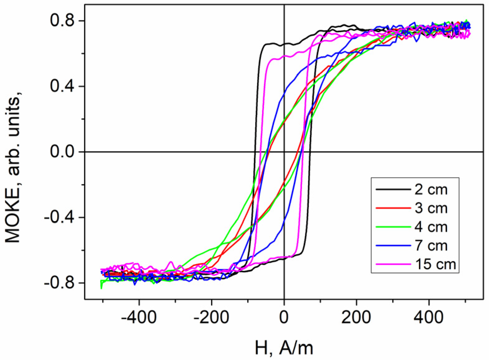
3. Results and Discussion
4. Conclusions
Author Contributions
Funding
Institutional Review Board Statement
Informed Consent Statement
Data Availability Statement
Conflicts of Interest
References
- Zhukova, V.; Corte-Leon, P.; González-Legarreta, L.; Talaat, A.; Blanco, J.M.; Ipatov, M.; Olivera, J.; Zhukov, A. Review of Domain Wall Dynamics Engineering in Magnetic Microwires. Nanomaterials 2020, 10, 2407. [Google Scholar] [CrossRef] [PubMed]
- Makhotkin, V.; Shurukhin, B.; Lopatin, V.; Marchukov, P.; Levin, Y. Magnetic field sensors based on amorphous ribbons. Sens. Actuators A Phys. 1991, 27, 759–762. [Google Scholar] [CrossRef]
- Morón, C.; Cabrera, C.; Morón, A.; García, A.; González, M. Magnetic Sensors Based on Amorphous Ferromagnetic Materials: A Review. Sensors 2015, 15, 28340–28366. [Google Scholar] [CrossRef]
- Phan, M.; Peng, H. Giant magnetoimpedance materials: Fundamentals and applications. Prog. Mater. Sci. 2008, 53, 323–420. [Google Scholar] [CrossRef]
- Nakayama, S.; Uchiyama, T. Real-time Measurement of Biomagnetic Vector Fields in Functional Syncytium Using Amorphous Metal. Sci. Rep. 2015, 5, 8837. [Google Scholar] [CrossRef]
- Sabol, R.; Klein, P.; Ryba, T.; Hvizdos, L.; Varga, R.; Rovnak, M.; Sulla, I.; Mudronova, D.; Galik, J.; Polacek, I.; et al. Novel Applications of Bistable Magnetic Microwires. Acta Phys. Pol. A 2017, 131, 1150. [Google Scholar] [CrossRef]
- Qin, F.; Peng, H.X. Ferromagnetic microwires enabled multifunctional composite materials. Prog. Mater. Sci. 2013, 58, 183–259. [Google Scholar] [CrossRef]
- Mohri, K.; Uchiyama, T.; Panina, L.V.; Yamamoto, M.; Bushida, K. Recent Advances of Amorphous Wire CMOS IC Magneto-Impedance Sensors: Innovative High-Performance Micromagnetic Sensor Chip. J. Sens. 2015, 2015, 718069. [Google Scholar] [CrossRef]
- Correa, M.A.; Ferreira, A.; Souza, A.L.R.; Dantas Neto, J.M.; Bohn, F.; Vaz, F.; Kurlyandskaya, G.V. Anomalous Nernst Effect in Flexible Co-Based Amorphous Ribbons. Sensors 2023, 23, 1420. [Google Scholar] [CrossRef]
- Andò, B.; Baglio, S.; Bulsara, A.R.; Trigona, C. Design and characterization of a microwire fluxgate magnetometer. Sens. Actuators A Phys. 2009, 151, 145–153. [Google Scholar] [CrossRef]
- Herrero-Gómez, C.; Marín, P.; Hernando, A. Bias free magnetomechanical coupling on magnetic microwires for sensing applications. Appl. Phys. Lett. 2013, 103, 142414. [Google Scholar] [CrossRef]
- Goleman, K.; Sasada, I. High Sensitive Orthogonal Fluxgate Magnetometer Using a Metglas Ribbon. IEEE Trans. Magn. 2006, 42, 3276–3278. [Google Scholar] [CrossRef]
- Edelstein, A. Advances in magnetometry. J. Phys. Condens. Matter 2007, 19, 165217. [Google Scholar] [CrossRef][Green Version]
- Chiriac, H.; Lupu, N.; Stoian, G.; Ababei, G.; Corodeanu, S.; Óvári, T.-A. Ultrathin Nanocrystalline Magnetic Wires. Crystals 2017, 7, 48. [Google Scholar] [CrossRef]
- Chizhik, A.; Zhukov, A.; Gonzalez, J.; Gawroński, P.; Kułakowski, K.; Stupakiewicz, A. Spiral magnetic domain structure in cylindrically-shaped microwires. Sci. Rep. 2018, 8, 15090. [Google Scholar] [CrossRef]
- Ziman, J.; Onufer, J.; Kladivová, M. Dynamics of domain wall depinning from closure domain structure at the end of bistable glass coated microwire. J. Magn. Magn. Mater. 2020, 514, 167233. [Google Scholar] [CrossRef]
- Vazquez, M.; Chen, D.-X. The magnetization reversal process in amorphous wires. IEEE Trans. Magn. 1995, 31, 1229–1238. [Google Scholar] [CrossRef]
- Varga, R.; Torrejon, J.; Kostyk, Y.; Garcia, K.L.; Infantes, G.; Badini, G.; Vazquez, M. Single-wall dynamics and power law in bistable magnetic microwires. J. Phys. Condens. Matter. 2008, 20, 445215. [Google Scholar] [CrossRef]
- Taysioglu, A.A.; Peksoz, A.; Kaya, Y.; Derebasi, N.; Kaynak, G. GMI effect in CuO coated Co-based amorphous ribbons. J. Alloys Compd. 2009, 487, 38–41. [Google Scholar] [CrossRef]
- Malátek, M.; Kraus, L. Off-diagonal GMI sensor with stress-annealed amorphous ribbon. Sens. Actuators A Phys. 2010, 164, 41–45. [Google Scholar] [CrossRef]
- Fodil, K.; Denoual, M.; Dolabdjian, C.; Harnois, M.; Senez, V. Dynamic sensing of magnetic nanoparticles in microchannel using GMI technology. IEEE Trans. Magn. 2013, 49, 93–96. [Google Scholar] [CrossRef][Green Version]
- Corodeanu, S.; Ovari, T.A.; Lupu, N.; Chiriac, H. Magnetization process and GMI effect in as-cast nanocrystalline microwires. IEEE Trans. Magn. 2010, 46, 380–382. [Google Scholar] [CrossRef]
- Zhukova, V.; Blanco, J.M.; Chizhik, A.; Ipatov, M.; Zhukov, A. AC-current-induced magnetization switching in amorphous microwires. Front. Phys. 2018, 13, 137501. [Google Scholar] [CrossRef]
- Ciureanu, P.; Melo, L.G.C.; Yelon, A. Circumferential and longitudinal 1 GHz permeabilities in Co-rich melt-extracted amorphous wires. J. Magn. Magn. Mater. 2002, 242–245, 224–228. [Google Scholar] [CrossRef]
- Rouabhi, M.; Cochrane, R.W.; Ménard, D.; Britel, M.; Ciureanu, P.; Yelon, A. Anisotropy and magnetization processes in Co-rich amorphous wires. J. Appl. Phys. 1999, 85, 5441–5443. [Google Scholar] [CrossRef]
- Zhao, Y.; Hao, H.; Zhang, Y. Preparation and giant magneto-impedance behavior of Co-based amorphous wires. Intermetallics 2013, 42, 62–67. [Google Scholar] [CrossRef]
- Mu, C.; Hu, L.; Zhu, F.; Cui, Z.; He, A.; Dong, Y.; Man, Q.; Ma, H.; Li, J. Effects of drawing and tension stress annealing on the structure and magnetic properties of Co-based amorphous wire. J. Magn. Magn. Mater. 2024, 589, 171569. [Google Scholar] [CrossRef]
- Zhukov, A.; Ipatov, M.; Corte-León, P.; Legarreta, L.G.; Churyukanova, M.; Blanco, J.; Gonzalez, J.; Taskaev, S.; Hernando, B.; Zhukova, V. Giant magnetoimpedance in rapidly quenched materials. J. Alloys Compd. 2020, 814, 152225. [Google Scholar] [CrossRef]
- Chizhik, A.; Gonzalez, G.; Zhukov, A.; Gawronski, P.; Stupakiewicz, A. Helical magnetic structures in magnetostrictive amorphous microwires. Phys. B Phys. Condens. Matter 2021, 604, 412718. [Google Scholar] [CrossRef]
- Zhou, L.; Wanga, A.; Wu, S.C.; Sun, J.; Park, S.; Jackson, T.N. All-organic active matrix flexible display. Appl. Phys. Lett. 2006, 88, 083502. [Google Scholar] [CrossRef]
- Kwon, J.H.; Kwak, W.Y.; Cho, B.K. Magnetization manipulation of a flexible magnetic sensor by controlled stress application. Sci. Rep. 2018, 8, 15765. [Google Scholar] [CrossRef] [PubMed]
- Shi, X.; Wu, M.; Lai, Z.; Li, X.; Gao, P.; Mi, W. Bending strain-tailored magnetic and electronic transport properties of reactively sputtered γ′-Fe4 N/Muscovite epitaxial heterostructures toward flexible spintronics. ACS Appl. Mater. Interfaces 2020, 12, 27394. [Google Scholar] [CrossRef]
- Cao, D.; Wang, Z.; Pan, L.; Feng, H.; Zhu, X.; Wang, J.; Liu, Q.; Han, G. Controllable magnetic and magnetostrictive properties of FeGa films electrodeposited on curvature substrates. Appl. Phys. A 2016, 122, 938. [Google Scholar] [CrossRef]
- Hen, L.; Wu, H.; Hao, C.; Hen, L.; Hang, R.; Ong, W.; Fu, S.; Tang, M. Distributed curvature sensing based on a bending loss-resistant ring-core fiber. Photonics Res. 2020, 8, 165. [Google Scholar]
- Castillo-Sepúlveda, S.; Corona, R.; Landeros, P.; Altbir, D. Domain walls in curved thin surfaces. J. Magn. Magn. Mater. 2020, 500, 166322. [Google Scholar] [CrossRef]
- Sheka, D. A perspective on curvilinear magnetism. Appl. Phys. Lett. 2021, 118, 230502. [Google Scholar] [CrossRef]
- Sheka, D.; Kravchuk, V.P.; Gaididei, Y. Curvature effects in statics and dynamics of low dimensional magnets. J. Phys. A Math. Theor. 2015, 48, 125202. [Google Scholar] [CrossRef]
- Korniienko, A.; Kravchuk, V.; Pylypovskyi, O.; Sheka, D.; Brink, J.v.D.; Gaididei, Y. Curvature induced magnonic crystal in nanowires. Sci. Post. Phys. 2019, 7, 035. [Google Scholar] [CrossRef]
- Juozapaitis, A.; Sandovic, G.; Jakubovskis, R.; Gribniak, V. Effects of Flexural Stiffness on Deformation Behaviour of Steel and FRP Stress-Ribbon Bridges. Appl. Sci. 2021, 11, 258. [Google Scholar] [CrossRef]
- Vincent, J.D.S.; Rodrigues, M.; Leong, Z.; Morley, N.A. Design and development of magnetostrictive actuators and sensors for structural health monitoring. Sensors 2020, 20, 711. [Google Scholar] [CrossRef]
- Lavvafi, H.; Lewandowski, J.R.; Lewandowski, J.J. Flex bending fatigue testing of wires, foils, and ribbons. Mater. Sci. Eng. 2014, 601, 123–130. [Google Scholar] [CrossRef]
- Panina, L.; Dzhumazoda, A.; Nematov, M.; Alam, J.; Trukhanov, A.; Yudanov, N.; Morchenko, A.; Rodionova, V.; Zhukov, A. Soft Magnetic Amorphous Microwires for Stress and Temperature Sensory Applications. Sensors 2019, 19, 5089. [Google Scholar] [CrossRef] [PubMed]
- Nematov, M.G.; Baraban, I.; Yudanov, N.A.; Rodionova, V.; Qin, F.X.; Peng, H.X.; Panina, L.V. Evolution of the magnetic anisotropy and magnetostriction in Co-based amorphous alloys microwires due to current annealing and stress-sensory applications. J. Alloys Compd. 2020, 837, 155584. [Google Scholar] [CrossRef]
- Zhukov, A.; Corte-León, P.; Blanco, J.M.; Ipatov, M.; García-Gómez, A.; Gonzalez, A.; Olivera, J.; Zhukova, V. Development of amorphous microwires with graded magnetic anisotropy. J. Magn. Magn. Mater. 2023, 587, 171358. [Google Scholar] [CrossRef]
- Korolev, D.V.; Valeev, R.A.; Piskorskii, V.P.; Koplak, O.V.; Dmitriev, O.S.; Talantsev, A.D.; Morgunov, R.B. Magnetic Anisotropy of Microwires and Domain Structure of Microstripes of PrDyCoFeB. Phys. Solid State 2021, 63, 1211. [Google Scholar] [CrossRef]
- Popov, V.V.; Buznikov, N.A. Modeling the Giant Magnetoimpedance Effect in Amorphous Microwires with Induced Magnetic Anisotropy. Phys. Met. Metallogr. 2020, 121, 1033–1038. [Google Scholar] [CrossRef]
- Delgado, A.; Oliver, J.A.; Cobos, J.A.; Rodriguez-Moreno, J. Macroscopic Modeling of Magnetic Microwires for Finite Element Simulations of Inductive Components. IEEE Trans. Power Electron. 2020, 35, 8452. [Google Scholar] [CrossRef]
- Liu, J.; Feng, Y.; Tang, R.; Zhao, R.; Gao, J.; Shi, D.; Yang, H. Mechanically Tunable Magnetic Properties of Flexible SrRuO3 Epitaxial Thin Films on Mica Substrates. Adv. Electron. Mater. 2018, 4, 1700522. [Google Scholar] [CrossRef]
- Chizhik, A.; Corte-Leon, P.; Zhukova, V.; Zhukov, V. Bend Induced Magnetic Bistability in Amorphous Microwires. Mater. Technol. 2023, 38, 2282318. [Google Scholar] [CrossRef]
- Chizhik, A.; Corte-Leon, P.; Zhukova, V.; Zhukov, V. Bending annealing induced transformation of magnetic structure in Co-rich amorphous microwires. Phys. B Condens. Matter 2024, 689, 416178. [Google Scholar] [CrossRef]
- Alimohammadi, S.; Williams, P.I.; Meydan, T. A Curvature Sensor Utilizing the Matteucci Effect in Amorphous Wire. Sensors 2023, 23, 1243. [Google Scholar] [CrossRef] [PubMed]
- Nabias, J.; Asfour, A.; Yonnet, J.P. The Impact of Bending Stress on the Performance of Giant Magneto-Impedance (GMI) Magnetic Sensors. Sensors 2017, 17, 640. [Google Scholar] [CrossRef] [PubMed]
- Zhukov, A.; Zhukova, V.; Blanco, J.M.; Gonzalez, J. Recent research on magnetic properties of glass-coated microwires. J. Magn. Magn. Mater. 2005, 294, 182. [Google Scholar] [CrossRef]
- Stupakiewicz, A.; Chizhik, A.; Tekielak, M.; Zhukov, A.; Gonzalez, J.; Maziewski, A. Direct imaging of the magnetization reversal in microwires using all-MOKE microscopy. Rev. Sci. Instrum. 2014, 85, 103702. [Google Scholar] [CrossRef]
- Gawronski, P.; Zhukova, V.; Zhukov, A.; Gonzalez, J. Manipulation of domain propagation dynamics with the magnetostaticinteraction in a pair of Fe-rich amorphous microwires. J. Appl. Phys. 2023, 114, 043903. [Google Scholar] [CrossRef]
- Zhukov, A.; Blanco, J.M.; Gonzalez, J.; Garcia Prieto, M.J.; Pina, E.; Vazquez, M. Induced magnetic anisotropy in Co–Mn–Si–B amorphous microwires. J. Appl. Phys. 2020, 87, 1402. [Google Scholar] [CrossRef]
- Buznikov, N.A.; Kurlyandskaya, G.V. Theoretical Study of Microwires with an Inhomogeneous Magnetic Structure Using Magnetoimpedance Tomography. Sensors 2024, 24, 3669. [Google Scholar] [CrossRef]
- Chizhik, A.; Corte-León, P.; Zhukova, V.; Gonzalez, J.; Zhukov, A. Longitudinal Transformation of Magnetic Properties in Magnetic Microwires With Graded Magnetic Anisotropy. IEEE Magn. Lett. 2022, 13, 7104905. [Google Scholar] [CrossRef]
- Stoney, G.G. The tension of metallic films deposited by electrolysis. Proc. R. Soc. 1909, A 82, 172–175. [Google Scholar]
- Mézin, A.; Hemel, A. Measuring coating internal stresses by the curvature method applied to a beveled sample. Surf. Coat. Technol. 2014, 258, 1128–1136. [Google Scholar] [CrossRef]
- Daunys, M.; Rimovskis, S. Analysis of circular cross-section element, loaded by static and cyclic elastic–plastic pure bending. Int. J. Fatigue 2006, 28, 211. [Google Scholar] [CrossRef]
- Jaffrès, H.; Ressier, L.; Mamy, R.; Peyrade, J.P.; Fert, A.R.; N’Guyen Van Dau, F.; Schuhl, A. Strain-induced anisotropy in thin metallic films structured by the atomic saw method. J. Magn. Magn. Mater. 1999, 196–197, 871. [Google Scholar] [CrossRef]









| Disclaimer/Publisher’s Note: The statements, opinions and data contained in all publications are solely those of the individual author(s) and contributor(s) and not of MDPI and/or the editor(s). MDPI and/or the editor(s) disclaim responsibility for any injury to people or property resulting from any ideas, methods, instructions or products referred to in the content. | 
© 2024 by the authors. Licensee MDPI, Basel, Switzerland. This article is an open access article distributed under the terms and conditions of the Creative Commons Attribution (CC BY) license (https://creativecommons.org/licenses/by/4.0/).
Share and Cite
Chizhik, A.; Corte-Leon, P.; Zhukova, V.; Blanco, J.M.; Gonzalez, J.; Zhukov, A. Spiral Annealing of Magnetic Microwires. Sensors 2024, 24, 6239. https://doi.org/10.3390/s24196239
Chizhik A, Corte-Leon P, Zhukova V, Blanco JM, Gonzalez J, Zhukov A. Spiral Annealing of Magnetic Microwires. Sensors. 2024; 24(19):6239. https://doi.org/10.3390/s24196239
Chicago/Turabian StyleChizhik, Alexander, Paula Corte-Leon, Valentina Zhukova, Juan Mari Blanco, Julian Gonzalez, and Arcady Zhukov. 2024. "Spiral Annealing of Magnetic Microwires" Sensors 24, no. 19: 6239. https://doi.org/10.3390/s24196239
APA StyleChizhik, A., Corte-Leon, P., Zhukova, V., Blanco, J. M., Gonzalez, J., & Zhukov, A. (2024). Spiral Annealing of Magnetic Microwires. Sensors, 24(19), 6239. https://doi.org/10.3390/s24196239
 
        





