Research on the Performance of Thermoelectric Self−Powered Systems for Wireless Sensor Based on Industrial Waste Heat
Abstract
1. Introduction
2. Design of Thermoelectric Self−Powered System
2.1. Power Consumption of Wireless Sensor
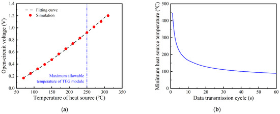
2.2. Generation Performance of TEG Module
2.3. Power Management Integrated Circuit of Thermoelectric Self−Powered System
2.4. Structure of Thermoelectric Power Generation System
3. Simulation Analysis of Thermoelectric Power Generation System
3.1. Simulation Model and Validation
3.2. System Performance under Different Heat Sources
3.2.1. Constant Temperature Heat Sources
3.2.2. Constant Heat Flow Heat Sources
3.2.3. Constant Heat Convection Heat Sources
4. Experimental Analysis of Thermoelectric Self−Powered System
4.1. Performance Test of Thermoelectric Self−Powered System
4.2. Economic Benefit Analysis
5. MPPT Optimization for the Output Power of TEG
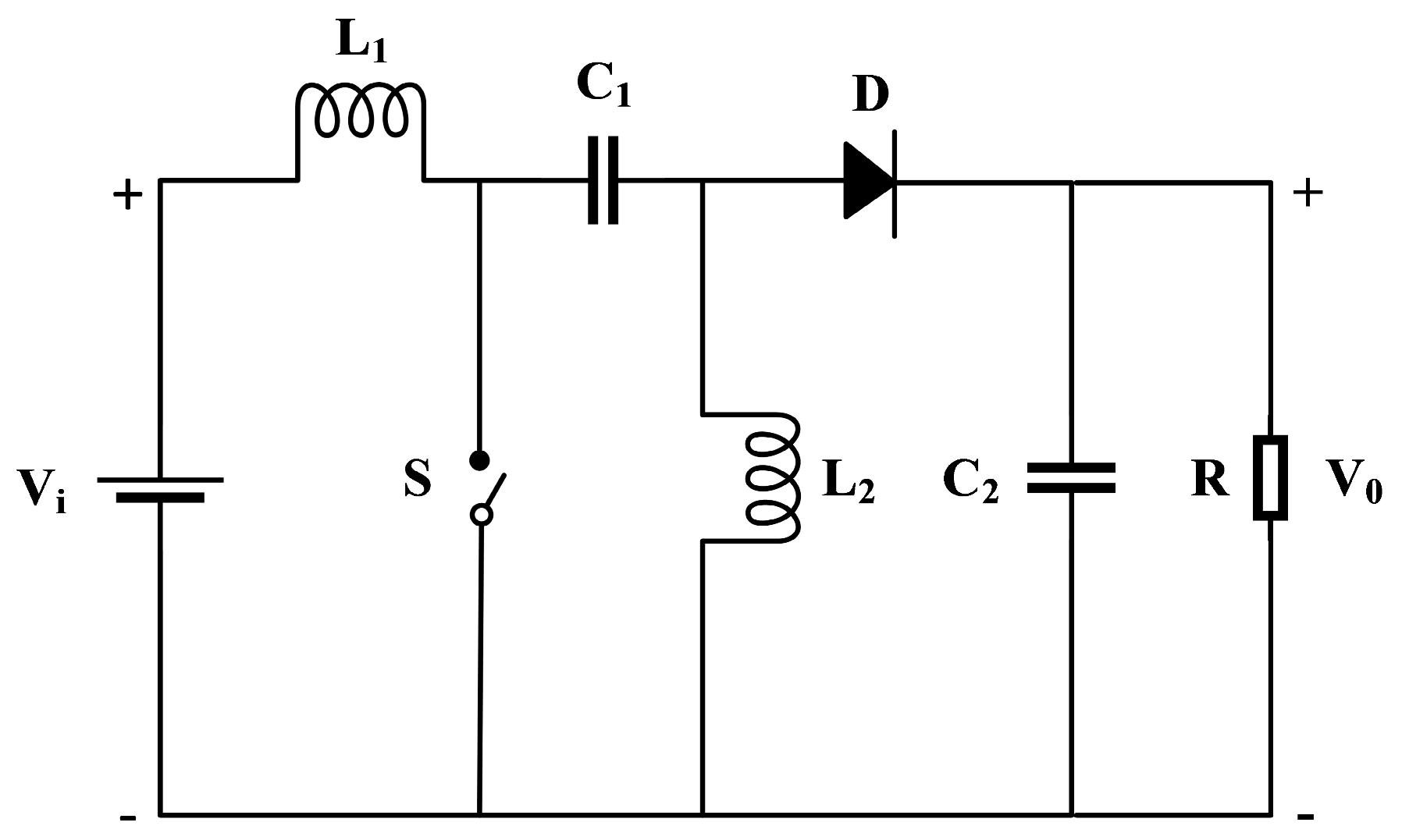
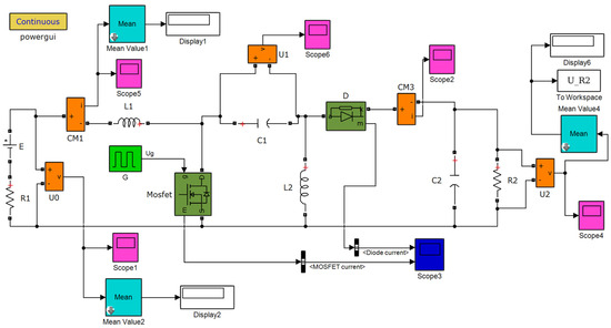
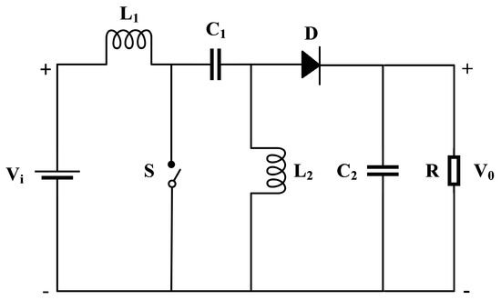
5.1. SPEIC Converter Simulation Model
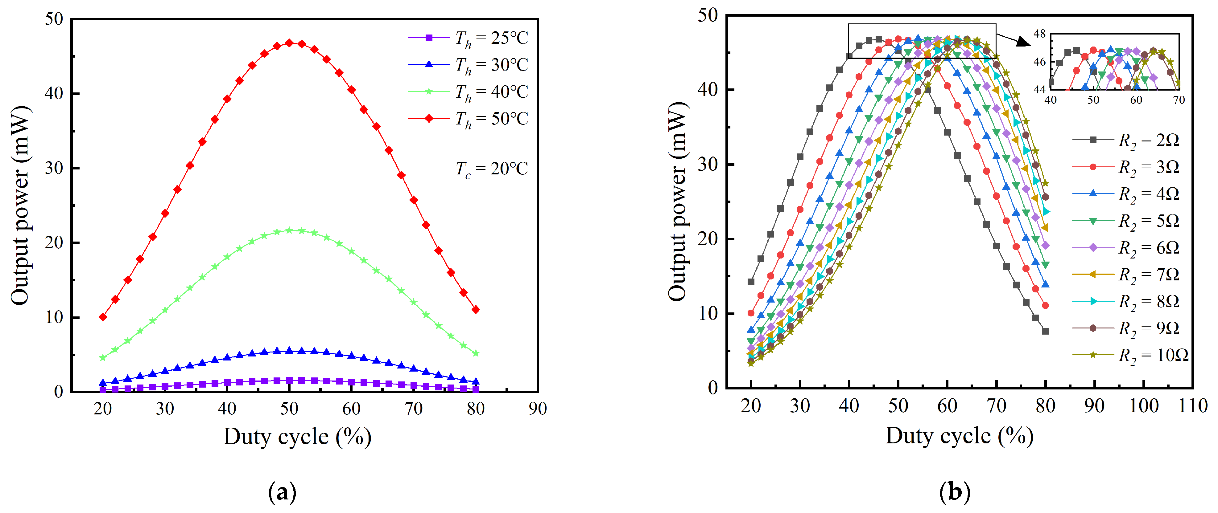
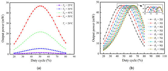
5.2. Impact of MPPT Optimization on the TEG Output Power
6. Conclusions
- The wireless sensor has two operational modes: a transmitting mode (0.08 s) and a dormant mode, with corresponding power of 326 mW and 5.45 μW, respectively. The TEG module can power the wireless sensor with the data transmission cycle of 13.2 s through the PMIC based on LTC3108−1 when the temperature difference is 12.5 °C. However, the circuit efficiency of the PMIC is only 9.45%.
- A thermoelectric power generation system with a simple structure was designed, and the corresponding simulation model was established and verified by the experiments. The generation performance of this system is obtained under the Dirichlet, Neumann, and Robin boundary conditions. The minimum temperature of the heat source is 111 °C and 146 °C for the Dirichlet and Robin boundary conditions to meet the power demand of the wireless sensor with a data transmission cycle of 30 s. In the same power demand, the minimum heat flow is 1681 W/m2 for the Neumann boundary condition.
- A thermoelectric self−powered wireless sensor was also fabricated and tested. When the heat source temperature is 70 °C, the self−powered wireless sensor can generally operate in the data transmission cycle of 39.38 s. The circuit efficiency of the PMIC is only 19.57%, and about 29% of the available electricity is stored in the capacitor. The cost of one thermoelectric self−powered system is about EUR 9.1, indicating that this system has a particular commercial application prospect.
- The SEPIC converter model was established to conduct MPPT optimization for the TEG module. Under various temperature differences across the TEG module and different external load resistances, the TEG module can operate at its maximum power point by adjusting the duty cycle of the SEPIC converter. When external load resistance is 10 Ω, the output power can increase by up to approximately 47%.
Author Contributions
Funding
Institutional Review Board Statement
Informed Consent Statement
Data Availability Statement
Conflicts of Interest
References
- Hawaou, K.S.; Kamla, V.C.; Yassa, S.; Romain, O.; Ndamlabin Mboula, J.E.; Bitjoka, L. Industry 4.0 and industrial workflow scheduling: A survey. J. Ind. Inf. Integr. 2024, 38, 100546. [Google Scholar]
- Chen, L.; Liu, L.; Kang, L.; Wan, Z.; Wan, G.; Xie, L. A Multibranch U−Shaped Tunable Encoding Chipless RFID Strain Sensor for IoT Sensing System. IEEE Internet Things J. 2023, 10, 5304–5320. [Google Scholar] [CrossRef]
- Singh, M.; Sahoo, K.S.; Gandomi, A.H. An Intelligent−IoT−Based Data Analytics for Freshwater Recirculating Aquaculture System. IEEE Internet Things J. 2024, 11, 4206–4217. [Google Scholar] [CrossRef]
- Chu, Y.; Feng, D.; Liu, Z.; Zhang, L.; Zhao, Z.; Wang, Z.; Feng, Z.; Xia, X. A Fine−Grained Attention Model for High Accuracy Operational Robot Guidance. IEEE Internet Things J. 2023, 10, 1066–1081. [Google Scholar] [CrossRef]
- Liu, C.; Chen, N.; Chen, R.; Xing, G.; Shao, T.; Shan, B.; Niu, Z. Research of a novel underwater flow speed perception method based on thermal tactile of micro thermoelectric generator. Sens. Actuator A−Phys. 2023, 363, 114700. [Google Scholar] [CrossRef]
- IoT−Analytics State of IoT 2023: Number of Connected IoT Devices Growing 16% to 16.7 Billion Globally. Available online: https://iot-analytics.com/number-connected-iot-devices/ (accessed on 21 May 2024).
- Obaidat, M.S.; Misra, S. Principles of Wireless Sensor Networks; Cambridge University Press: Cambridge, UK, 2014. [Google Scholar]
- Dehghani−Sanij, A.R.; Tharumalingam, E.; Dusseault, M.B.; Fraser, R. Study of energy storage systems and environmental challenges of batteries. Renew. Sust. Energ. Rev. 2019, 104, 192–208. [Google Scholar] [CrossRef]
- Qi, L.; Kong, L.; Wang, Y.; Song, J.; Azam, A.; Zhang, Z.; Yan, J. Recent Progress in Application−Oriented Self−Powered Microelectronics. Adv. Energy Mater. 2023, 13, 2302699. [Google Scholar] [CrossRef]
- Johnson, K.; Arroyos, V.; Ferran, A.; Villanueva, R.; Yin, D.; Elberier, T.; Aliseda, A.; Fuller, S.; Lyer, V.; Gollakota, S. Solar−powered shape−changing origami microfliers. Sci. Robot. 2023, 8, eadg4276. [Google Scholar] [CrossRef]
- Han, Y.; Wu, F.; Du, X.Z.; Li, Z.H.; Chen, H.X.; Guo, D.X.; Wang, J.L.; Yu, H. Enhance vortices vibration with Y−type bluff body to decrease arousing wind speed and extend range for flag triboelectric energy harvester. Nano Energy 2024, 119, 109063. [Google Scholar] [CrossRef]
- Liu, H.; Zhong, J.; Lee, C.; Lee, S.; Lin, L. A comprehensive review on piezoelectric energy harvesting technology: Materials, mechanisms, and applications. Appl. Phys. Rev. 2018, 5, 041306. [Google Scholar] [CrossRef]
- Izadyar, N.; Ong, H.C.; Chong, W.T.; Leong, K.Y. Resource assessment of the renewable energy potential for a remote area: A review. Renew. Sust. Energ. Rev. 2016, 62, 908–923. [Google Scholar] [CrossRef]
- Xie, H.; Zhang, Y.; Gao, P. Thermoelectric−Powered Sensors for Internet of Things. Micromachines 2023, 14, 31. [Google Scholar] [CrossRef] [PubMed]
- Yang, S.M.; Chung, L.A.; Wang, H.R. Review of polysilicon thermoelectric energy generators. Sens. Actuator A−Phys. 2022, 346, 113890. [Google Scholar] [CrossRef]
- Kuang, N.; Zuo, Z.; Wang, W.; Liu, R.; Zhao, Z. Optimized thermoelectric properties and geometry parameters of annular thin−film thermoelectric generators using n−type Bi2Te2.7Se0.3 and p−type Bi0.5Sb1.5Te3 thin films for energy harvesting. Sens. Actuator A−Phys. 2021, 332, 113030. [Google Scholar] [CrossRef]
- Ming, T.; Yang, W.; Huang, X.; Wu, Y.; Li, X.; Liu, J. Analytical and numerical investigation on a new compact thermoelectric generator. Energy Conv. Manag. 2017, 132, 261–271. [Google Scholar] [CrossRef]
- Wang, Y.; Tong, X.; Wang, H.; Qiu, J.; Shen, L. Natural Gas Pressure Reduction Station Self−powered by Fire Thermoelectric Generator. J. Therm. Sci. 2022, 31, 840–853. [Google Scholar] [CrossRef]
- Miao, Z.; Meng, X.; Zhou, S.; Zhu, M. Investigation for power generation based on single−vertex movement of thermoelectric module. Sust. Cities Soc. 2020, 53, 101929. [Google Scholar] [CrossRef]
- Jiang, Y.; Shen, L.; Wang, Y.; Song, M.; Chen, H. Performance degradation analysis and fabrication guidance of μ−TEG from material to device. Energy Conv. Manag. 2023, 292, 117371. [Google Scholar] [CrossRef]
- Lian, H.K.; Li, Y.; Shu, G.; Gu, C. An overview of domestic technologies for waste heat utilization. Energy Conserv. Technol. 2011, 29, 123–128. [Google Scholar]
- Lu, Z. Analysis on current situation of industrial waste heat recovery in China. Equip. Manuf. Technol. 2019, 12, 204–206. [Google Scholar]
- Cang, D. New method and technology in recuperation of iron and steel industry at home and abroad. Hebei Metall. 2015, 9, 1–7. [Google Scholar]
- Jovanovic, V.; Ghamaty, S.; Bass, J.C. Design, Fabrication and Testing of a Novel Energy−Harvesting Thermoelectric Power Supply for Wireless Sensors. In Proceedings of the ASME 2006 Power Conference, Atlanta, GA, USA, 2 May 2006. [Google Scholar]
- Wang, W.; Cionca, V.; Wang, N.; Hayes, M.; O’Flynn, B.; O’Mathuna, C. Thermoelectric Energy Harvesting for Building Energy Management Wireless Sensor Networks. Int. J. Distrib. Sens. Netw. 2013, 9, 232438. [Google Scholar] [CrossRef]
- Wang, Y.; Cheng, K.; Dang, C.; Wang, C.; Qin, J.; Huang, H. Performance and experimental investigation for a novel heat storage based thermoelectric harvester for hypersonic vehicles. Energy 2023, 263, 125885. [Google Scholar] [CrossRef]
- Li, X.; Lyu, S.; Jia, J.; Gao, N.; Wu, X.; Ma, Y.; Wang, Y. A Bio−Inspired Temperature−Arousing Battery with Giant Power for Fire Alarming. Adv. Funct. Mater. 2023, 33, 2300403. [Google Scholar] [CrossRef]
- Kim, Y.J.; Gu, H.M.; Kim, C.S.; Choi, H.; Lee, G.; Kim, S.; Yi, K.K.; Lee, S.G.; Cho, B.J. High−performance self−powered wireless sensor node driven by a flexible thermoelectric generator. Energy 2018, 162, 526–533. [Google Scholar] [CrossRef]
- Wang, C.; Xu, Z.; Wang, H.; Cai, T.; Tao, H.; Wang, Y.; Tang, X. Combined energy supply and management of self−powered wireless sensors based on radioisotope thermoelectric generator for multiple scenarios. Energy Conv. Manag. 2023, 297, 117706. [Google Scholar] [CrossRef]
- Thi Kim Tuoi, T.; Van Toan, N.; Ono, T. Thermal energy harvester using ambient temperature fluctuations for self−powered wireless IoT sensing systems: A review. Nano Energy 2024, 121, 109186. [Google Scholar] [CrossRef]
- Chou, T.; Yu, S.; Bose, S.; Cook, J.; Park, J.; Johnston, M.L. Wireless, Multi−Sensor System−on−Chip for pH and Amperometry Powered by Body Heat. IEEE Trans. Biomed. Circuits Syst. 2023, 17, 782–794. [Google Scholar] [CrossRef] [PubMed]
- Foltz, H.; Tarawneh, C.; Amaro, M.; Thomas, S.; Capitanachi Avila, D. Thermoelectric energy harvesting for wireless onboard rail condition monitoring. Int. J. Rail Transp. 2024, 12, 514–531. [Google Scholar] [CrossRef]
- Van Toan, N.; Kim Tuoi, T.T.; Ono, T. High−performance flexible thermoelectric generator for self−powered wireless BLE sensing systems. J. Power Sources 2022, 536, 231504. [Google Scholar] [CrossRef]
- An, Z.; Fu, Q.; Lv, J.; Zhou, T.; Wu, Y.; Lu, Y.; Liu, G.; Shi, Z.; Li, X.; Zhang, F.; et al. Body Heat Powered Wirelessly Wearable System for Real−time Physiological and Biochemical Monitoring. Adv. Funct. Mater. 2023, 33, 2303361. [Google Scholar] [CrossRef]
- Chandrarathna, S.C.; Jana, M.S.; Qraiqea, H.; Lee, J. Design and analysis of thermoelectric energy harvester with 85.6% peak end−to−end efficiency and 38 mV self−startup using 4.13 mΩ/°C indirect temperature dependent MPPT. Sens. Actuator A−Phys. 2024, 366, 114944. [Google Scholar] [CrossRef]
- Guan, M.; Wang, K.; Xu, D.; Liao, W. Design and experimental investigation of a low−voltage thermoelectric energy harvesting system for wireless sensor nodes. Energy Conv. Manag. 2017, 138, 30–37. [Google Scholar] [CrossRef]
- Eakburanawat, J.; Boonyaroonate, I. Development of a thermoelectric battery−charger with microcontroller−based maximum power point tracking technique. Appl. Energy 2006, 83, 687–704. [Google Scholar] [CrossRef]
- Yu, C.; Chau, K.T. Thermoelectric automotive waste heat energy recovery using maximum power point tracking. Energy Conv. Manag. 2009, 50, 1506–1512. [Google Scholar] [CrossRef]
- Üstüner, M.A.; Mamur, H.; Taşkın, S.; Nil, M.; Bhuiyan, M.R.A.; Kherkhar, A.; Chiba, Y. Selection of Load Resistance for Boost Converters with Maximum Power Point Tracking Algorithm in Thermoelectric Generators. Electr. Power Compon. Syst. 2024, 1–22. [Google Scholar] [CrossRef]
- Wu, T.; Wang, X.; Xu, G.; Pan, Y.; Chen, W. Engineering Heat Transfer; Huazhong University of Science & Technology Press: Wuhan, China, 2011. [Google Scholar]






















| Technical Specification | Value | Unit |
|---|---|---|
| Frequency domain | 433~434.79 | MHz |
| Transmission distance | >800 (unobstructed) | m |
| Operating ambient temperature | −25~125 | °C |
| Voltage of battery | 3.6 | V |
| Weight | 170 | g |
| Th (°C) | 25 | 30 | 35 | 40 | 45 | 50 |
| Rin (Ω) | 2.67 | 2.79 | 2.74 | 2.82 | 2.72 | 2.86 |
| Uoc (V) | 0.13 | 0.25 | 0.38 | 0.50 | 0.62 | 0.74 |
| Pmax (W) | 0.0015 | 0.0057 | 0.0134 | 0.0225 | 0.0352 | 0.0478 |
| Data Transmission Cycle (s) | Average Power of Wireless Sensor (mW) | Power Needed From TPGS (mW) | Minimum Open−Circuit Voltage of TEG (V) |
|---|---|---|---|
| 5 | 5.22 | 55.3 | 0.784 |
| 10 | 2.61 | 27.7 | 0.554 |
| 20 | 1.31 | 13.9 | 0.351 |
| 30 | 0.875 | 9.26 | 0.321 |
| 40 | 0.657 | 6.96 | 0.278 |
| 50 | 0.527 | 5.58 | 0.249 |
| 60 | 0.440 | 4.66 | 0.227 |
| Part | Material/Type | Price | Cost (EUR) |
|---|---|---|---|
| Substrate | Copper (C11000) | 6.2~9.5 EUR/kg | 0.9 |
| TEG module | TEG1−127−1.4−1.6−250 | EUR 3.1 | 3.1 |
| Finned radiator | Aluminum (6061) | 5.4~7.0 EUR/kg | 0.1 |
| Circuit system | LTC3108−1 | EUR 3.8 | 3.8 |
| Other | Shell, screw, wire, etc. | EUR 1.2 | 1.2 |
Disclaimer/Publisher’s Note: The statements, opinions and data contained in all publications are solely those of the individual author(s) and contributor(s) and not of MDPI and/or the editor(s). MDPI and/or the editor(s) disclaim responsibility for any injury to people or property resulting from any ideas, methods, instructions or products referred to in the content. |
© 2024 by the authors. Licensee MDPI, Basel, Switzerland. This article is an open access article distributed under the terms and conditions of the Creative Commons Attribution (CC BY) license (https://creativecommons.org/licenses/by/4.0/).
Share and Cite
Jiang, Y.; Wang, Y.; Yan, J.; Shen, L.; Qin, J. Research on the Performance of Thermoelectric Self−Powered Systems for Wireless Sensor Based on Industrial Waste Heat. Sensors 2024, 24, 5983. https://doi.org/10.3390/s24185983
Jiang Y, Wang Y, Yan J, Shen L, Qin J. Research on the Performance of Thermoelectric Self−Powered Systems for Wireless Sensor Based on Industrial Waste Heat. Sensors. 2024; 24(18):5983. https://doi.org/10.3390/s24185983
Chicago/Turabian StyleJiang, Yong, Yupeng Wang, Junhao Yan, Limei Shen, and Jiang Qin. 2024. "Research on the Performance of Thermoelectric Self−Powered Systems for Wireless Sensor Based on Industrial Waste Heat" Sensors 24, no. 18: 5983. https://doi.org/10.3390/s24185983
APA StyleJiang, Y., Wang, Y., Yan, J., Shen, L., & Qin, J. (2024). Research on the Performance of Thermoelectric Self−Powered Systems for Wireless Sensor Based on Industrial Waste Heat. Sensors, 24(18), 5983. https://doi.org/10.3390/s24185983

