Dispersion Influence of Electroacoustic Transducer Parameters in the Design Process of Miniature Loudspeaker Arrays and Omnidirectional Sound Sources
Abstract
1. Introduction
2. Materials and Methods—Driver Parameters and Their Influence on the Design of Loudspeaker Arrays
2.1. Electric and Acoustic Loudspeaker Parameters
- Resonant frequency—this typically means the electrical resonance frequency fs, where the electric impedance reaches the maximum value. Typically, in calculating the T-S parameters, the fs′ value is also present, which is the resonant frequency for the setup with added mass or volume. With the resonant frequency parameter and maximum impedance value, the Qes/Q′es (electrical quality), Qms/Q′ms (electric quality), and Qts/Q′ts (electrical quality) are derived.
- The mechanical mass of moving elements—Mms [kg]—this is calculated with Equation (1):
- Mechanical diaphragm compliance—Cms [s2/kg]—this is calculated with Equation (2):
- Force factor—BL [Tm]—this is defined by Equation (3):
2.2. Loudspeaker Selection for Parametric Speaker Arrays and Omnidirectional Sound Sources
- The basket size should be limited, and the magnet should not be enormously extended in the driver’s vertical axis. Longer baskets and more significant drivers force the additional space requirements inside the enclosure to place the drivers, for example, in the sphere enclosure, and, with improper magnet and basket size, the enclosure will need to be larger and reduce the array performance.
- The effective diaphragm diameter should be as large as possible, while all additional frames, mounting elements, and other details should be limited, as they also increase the size of the driver. Moving elements should cover the highest possible space in the driver design to minimize the spatial aliasing phenomenon that is common in loudspeaker arrays [39,40].
3. Measurements of Electroacoustic Transducer Dispersions
3.1. Electric Measurements—Thiele–Small Parameters
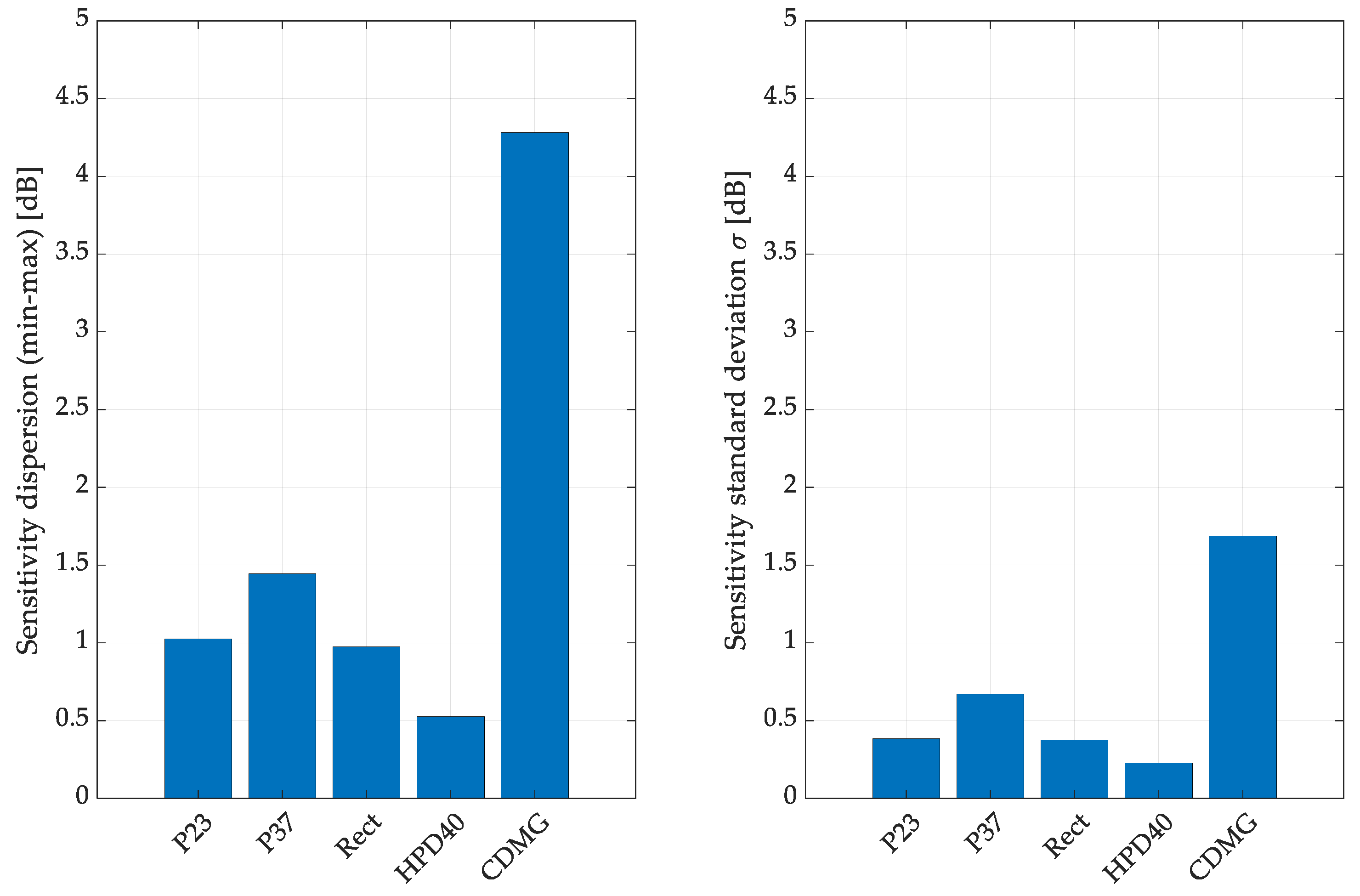
3.2. Acoustic Measurements—Sensitivity
4. Numerical Study of the Analysis of the Sensitivity Dispersion in the Performance of an Omnidirectional Sound Source
5. Discussion
6. Conclusions
Funding
Institutional Review Board Statement
Informed Consent Statement
Data Availability Statement
Conflicts of Interest
References
- Colloms, M.; Darlington, P. High Performance Loudspeakers: Optimising High Fidelity Loudspeaker Systems; Wiley: Hoboken, NJ, USA, 2018; ISBN 9781118413531. [Google Scholar]
- Candy, J. Accurate Calculation of Radiation and Diffraction from Loudspeaker Enclosures at Low Frequency. AES J. Audio Eng. Soc. 2013, 61, 356–365. [Google Scholar]
- Kosała, K. Experimental Tests of the Acoustic Properties of Sound-Absorbing Linings and Cores of Layered Baffles. Vib. Phys. Syst. 2021, 32, 2021107. [Google Scholar] [CrossRef]
- Juul-Nyholm, H.B.; Severinsen, J.C.; Schneider, H.; Mortensen, N.H.; Andersen, M.A.E. Construction of Lightweight Loudspeaker Enclosures. In Proceedings of the Audio Engineering Society Convention 142, Berlin, Germany, 20–23 May 2017. [Google Scholar]
- Laurin, S.; Reichard, K. Determining Manufacture Variation in Loudspeakers through Measurement of Thiele/Small Parameters. In Proceedings of the Audio Engineering Society—125th Audio Engineering Society Convention 2008, San Francisco, CA, USA, 2–5 October 2008. [Google Scholar]
- Cardenas, W.; Klippel, W. Optimal Material Parameter Estimation by Fitting Finite Element Simulations to Loudspeaker Measurements. In Proceedings of the 144th Audio Engineering Society Convention 2018, Milan, Italy, 23–26 May 2018. [Google Scholar]
- Klippel, W. Modeling the Large Signal Behavior of Micro-Speakers. In Proceedings of the 133rd Audio Engineering Society Convention 2012, AES 2012, San Francisco, CA, USA, 26–29 October 2012. [Google Scholar]
- Warusfel, O.; Derogis, P.; Causse, R. Radiation Synthesis with Digitally Controlled Loudspeakers. In Proceedings of the Audio Engineering Society Convention 103, New York, NY, USA, 26–29 September 1997. [Google Scholar]
- Farina, A.; Chiesi, L. A Novel 32-Speakers Spherical Source. In Proceedings of the 140th AES Convention, Paris, France, 4–7 June 2016; pp. 7–10. [Google Scholar]
- Pasqual, A.M. Sound Directivity Control in a 3-D Space by a Compact Spherical Loudspeaker Array. Control 2010, 1–170. [Google Scholar]
- Leishman, T.W.; Rollins, S.; Smith, H.M. An Experimental Evaluation of Regular Polyhedron Loudspeakers as Omnidirectional Sources of Sound. J. Acoust. Soc. Am. 2006, 120, 1411–1422. [Google Scholar] [CrossRef]
- Arnela, M.; Guasch, O.; Sánchez-Martín, P.; Camps, J.; Alsina-Pagès, R.M.; Martínez-Suquía, C. Construction of an Omnidirectional Parametric Loudspeaker Consisting in a Spherical Distribution of Ultrasound Transducers. Sensors 2018, 18, 4317. [Google Scholar] [CrossRef]
- Chojnacki, B. Miniature Omnidirectional Sound Sources Used in Acoustic Scale Modeling-Measurements and Validation. Vib. Phys. Syst. 2022, 33, 2022201. [Google Scholar] [CrossRef]
- Zhong, J.; Wang, S.; Kirby, R.; Qiu, X. Reflection of Audio Sounds Generated by a Parametric Array Loudspeaker. J. Acoust. Soc. Am. 2020, 148, 2327–2336. [Google Scholar] [CrossRef]
- Zenker, B.; Schurmann, R.; Merchel, S.; Altinsoy, E.M. Improved Directivity of Flat Panel Loudspeakers by Minimizing the Off-Axis Radiation below Coincidence. Appl. Sci. 2021, 11, 7001. [Google Scholar] [CrossRef]
- Start, E. Loudspeaker Matrix Arrays: Challenging the Way We Create and Control Sound. J. Audio Eng. Soc. 2024. [Google Scholar]
- Czesak, K.; Kleczkowski, P. Specific Properties of Phase Characteristics of Distributed Mode Loudspeakers. Vib. Phys. Syst. 2023, 34. [Google Scholar] [CrossRef]
- Warusfel, O.; Derogis, P.; Causs6, R.; Caussd, R. Radiation Synthesis with Digitally Controlled Loudspeakers. In Proceedings of the An Audio Engineering Society Preprint Radiation Synthesis with Digitally Controlled Loudspeakers, New York, NY, USA, 26–29 September 1997; pp. 1–33. [Google Scholar]
- Villegas, J. Improving Perceived Elevation Accuracy in Sound Reproduced via a Loudspeaker Ring by Means of Equalizing Filters and Side Loudspeaker Grouping. Acoust. Sci. Technol. 2019, 40, 127–137. [Google Scholar] [CrossRef]
- Szwajcowski, A.; Krause, D.; Snakowska, A. Error Analysis of Sound Source Directivity Interpolation Based on Spherical Harmonics. Arch. Acoust. 2021, 46, 95–104. [Google Scholar]
- Epain, N.; Jin, C.T. Spherical Harmonic Signal Covariance and Sound Field Diffuseness. IEEE/ACM Trans. Audio Speech Lang. Process. 2016, 24, 1796–1807. [Google Scholar] [CrossRef]
- Yu, G.; Wu, R.; Liu, Y.; Xie, B. Near-Field Head-Related Transfer-Function Measurement and Database of Human Subjects. J. Acoust. Soc. Am. 2018, 43, EL194–EL198. [Google Scholar] [CrossRef] [PubMed]
- Yu, G.Z.; Xie, B.S.; Rao, D. Directivity of Spherical Polyhedron Sound Source Used in Near-Field HRTF Measurements. Chin. Phys. Lett. 2010, 27, 124302. [Google Scholar] [CrossRef]
- Jeon, J.Y.; Jang, H.S.; Kim, Y.H.; Vorländer, M. Influence of Wall Scattering on the Early Fine Structures of Measured Room Impulse Responses. J. Acoust. Soc. Am. 2015, 137, 1108–1116. [Google Scholar] [CrossRef] [PubMed]
- Jeon, J.Y.; Jo, H.; Seo, R.; Kwak, K. Objective and Subjective Assessment of Sound Diffuseness in Musical Venues via Computer Simulations and a Scale Model. Build. Environ. 2020, 173, 106740. [Google Scholar] [CrossRef]
- Hak, C.; Bijsterbosch, K. Room Acoustic Scale Model Measurements Using a “Spark Train”. Gerontechnology 2009. [Google Scholar]
- Aarts, R.M.; Janssen, A.J.E.M. Sound Radiation from a Loudspeaker, from a Spherical Pole Cap, and from a Piston in an Infinite Baffle. Noise Vib. Worldw. 2012, 43, 12–19. [Google Scholar] [CrossRef]
- San Martín, R.; Witew, I.B.; Arana, M.; Vorländer, M. Influence of the Source Orientation on the Measurement of Acoustic Parameters. Acta Acust. United Acust. 2007, 93, 387–397. [Google Scholar]
- San Martín, R.; Arana, M. Uncertainties Caused by Source Directivity in Room-Acoustic Investigations. J. Acoust. Soc. Am. 2008, 123, EL133–EL138. [Google Scholar] [CrossRef] [PubMed]
- Klippel, W. Micro-Speakers—Hybrids between Headphones and Loudspeakers. In Proceedings of the AES International Conference, Guildford, UK, 18–20 July 2016. [Google Scholar]
- Klippel, W. Green Speaker Design (Part 2: Optimal Use of Transducer Resources). In Proceedings of the AES 146th International Convention, Dublin, Ireland, 20–22 March 2019. [Google Scholar]
- Thiele, N. Loudspeakers in Vented Boxes: Part 1. J. Audio Eng. Soc 1971, 19, 382–392. [Google Scholar]
- Bai, M.R.; Liao, J. Acoustic Analysis and Design of Miniature Loudspeakers for Mobile Phones. AES J. Audio Eng. Soc. 2005, 53, 1061–1076. [Google Scholar]
- Shin, M.; Fazi, F.M.; Nelson, P.A.; Hirono, F.C. Controlled Sound Field with a Dual Layer Loudspeaker Array. J. Sound Vib. 2014, 333, 3794–3817. [Google Scholar] [CrossRef]
- Kleiner, M. Electroacoustics; Taylor & Francis: Abingdon, UK, 2013; ISBN 9781439836187. [Google Scholar]
- Dobrucki, A. Przetworniki Elektroakustyczne; Wydawnictwa Naukowo-Techniczne: Warszawie, Poland, 2007. [Google Scholar]
- Chojnacki, B. Numerical Directivity Simulations Of Speaker Arrays for Omnidirectional Sound Source Quality Assessment. Vib. Phys. Syst. 2022, 33, 2022101–2022108. [Google Scholar] [CrossRef]
- Paris, S.; Olivier, W.; Nicolas, M. Directivity Synthesis with 3D Array of Loudspeakers Application for Stage Performance. Audio Eng. Soc. 2001, 1–2. [Google Scholar]
- Rafaely, B. Spherical Loudspeaker Array for Local Active Control of Sound. J. Acoust. Soc. Am. 2009, 125, 3006. [Google Scholar] [CrossRef]
- Rafaely, B.; Weiss, B.; Bachmat, E. Spatial Aliasing in Spherical Microphone Arrays. IEEE Trans. Signal Process. 2007, 55, 1003–1010. [Google Scholar] [CrossRef]
- Ferguson, G.A. Ferguson Statistical Analysis in Psychology and Education; McGraw-Hill Psychology Ser.; McGraw-Hill: New York, NY, USA, 1959; p. 347. [Google Scholar]
- Razali, N.M.; Wah, Y.B. Power Comparisons of Shapiro-Wilk, Kolmogorov-Smirnov, Lilliefors, and Anderson-Darling Tests. J. Stat. Model. Anal. 2011, 2, 21–33. [Google Scholar] [CrossRef]
- Klippel, W. Green Speaker Design (Part 1: Optimal Use of System Resources). In Proceedings of the AES 146th International Convention, Dublin, Ireland, 20–22 March 2019. [Google Scholar]
- Alden, R. Speaker Building 201: With 11 Completely Designed Speaker Systems Including a 5.1 Home Theater System; Audio Amateur Press: New York, NY, USA, 2004. [Google Scholar]
- IEC IEC 60268-5; Sound System Equipment—Part 5: Loudspeakers. Svenska Institutet för Standarder: Stockholm, Sweden, 2003.
- Leopardi, P. A Partition of the Unit Sphere into Regions of Equal Area and Small Diameter. Electron. Trans. Numer. Anal. 2006, 25, 309–327. [Google Scholar]
- Chojnacki, B.; Terry Cho, S.; Mehra, R. Full Range Omnidirectional Sound Source for Near-Field Head-Related Transfer-Functions Measurement. J. Audio Eng. Soc. 2021, 69, 323–339. [Google Scholar] [CrossRef]
- GmbH, C. COMSOL Multiphysics Acoustic Module Documentation, v. 5.3 2018. Available online: https://doc.comsol.com/5.3/doc/com.comsol.help.aco/AcousticsModuleUsersGuide.pdf (accessed on 12 June 2024).
- ISO 354:2003; Acoustics—Measurement of Sound Absorption in a Reverberation Room. International Organization for Standardization: Geneva, Switzerland, 2003.
- Chojnacki, B.; Brzóska, M.; Fijałkowska, J.A. Comparison of Different Omnidirectional Sound Sources with the Validation of Coupled Speakers as a Measurement Source for Room Acoustics. Appl. Sci. 2023, 13, 13058. [Google Scholar] [CrossRef]
- Klippel, W.; Schlechter, J. Fast Measurement of Motor and Suspension Nonlinearities in Loudspeaker Manufacturing. In Proceedings of the 127th Audio Engineering Society Convention 2009, New York, NY, USA, 9–12 October 2009. [Google Scholar]
- Button, D.; Lambert, R.; Brunet, P.; Bunning, J. Characterization of Nonlinear Port Parameters in Loudspeaker Modeling. In Proceedings of the Audio Engineering Society International Convention AES 2018, New York, NY, USA, 17–20 October 2018. [Google Scholar]
- Beer, D.; Ehrig, L.; Betz, L. The Influence of Flat Loudspeaker Enclosures on the Vibration Properties of Electrodynamic Transducers. In Proceedings of the Audio Engineering Society Conference: 51st International Conference: Loudspeakers and Headphones, Helsinki, Finland, 21–24 August 2013. [Google Scholar]













| Sample Name | Manufacturer Code | fs [Hz] | Mms [g] | Cms [s2/kg] | BL [Tm] | Sensitivity [dB] |
|---|---|---|---|---|---|---|
| HPD40 | HPD-50N25PR00-32 | 69.5 | 0.7 | 7.5 | 2.77 | 98.1 |
| P37 | PMT-37N28AL01-04 | 167.8 | 1.2 | 0.4 | 2.97 | 89.8 |
| P23 | PMT-30N18AL04-04 | 249.7 | 0.13 | 0.98 | 0.51 | 78.5 |
| CDMG | CDMG16008-03 | 600.0 | 0.006 | 0.79 | 0.31 | 69.2 |
| Rect | PMT-2040N1625AL01-04 | 320.2 | 0.4 | 0.6 | 1.23 | 83.9 |
Disclaimer/Publisher’s Note: The statements, opinions and data contained in all publications are solely those of the individual author(s) and contributor(s) and not of MDPI and/or the editor(s). MDPI and/or the editor(s) disclaim responsibility for any injury to people or property resulting from any ideas, methods, instructions or products referred to in the content. |
© 2024 by the author. Licensee MDPI, Basel, Switzerland. This article is an open access article distributed under the terms and conditions of the Creative Commons Attribution (CC BY) license (https://creativecommons.org/licenses/by/4.0/).
Share and Cite
Chojnacki, B. Dispersion Influence of Electroacoustic Transducer Parameters in the Design Process of Miniature Loudspeaker Arrays and Omnidirectional Sound Sources. Sensors 2024, 24, 4958. https://doi.org/10.3390/s24154958
Chojnacki B. Dispersion Influence of Electroacoustic Transducer Parameters in the Design Process of Miniature Loudspeaker Arrays and Omnidirectional Sound Sources. Sensors. 2024; 24(15):4958. https://doi.org/10.3390/s24154958
Chicago/Turabian StyleChojnacki, Bartlomiej. 2024. "Dispersion Influence of Electroacoustic Transducer Parameters in the Design Process of Miniature Loudspeaker Arrays and Omnidirectional Sound Sources" Sensors 24, no. 15: 4958. https://doi.org/10.3390/s24154958
APA StyleChojnacki, B. (2024). Dispersion Influence of Electroacoustic Transducer Parameters in the Design Process of Miniature Loudspeaker Arrays and Omnidirectional Sound Sources. Sensors, 24(15), 4958. https://doi.org/10.3390/s24154958

