Prediction of Surface Subsidence in Mining Areas Based on Ascending-Descending Orbits Small Baseline Subset InSAR and Neural Network Optimization Models
Abstract
1. Introduction
2. Materials and Methods
2.1. Study Area
2.2. Datasets
2.2.1. Sentinel-1A Synthetic Aperture Radar Data
2.2.2. Digital Elevation Model (DEM)
2.2.3. POD Precise Orbit Ephemerides
2.2.4. Generic Atmospheric Correction Online Service (GACOS) Data
2.2.5. Rainfall Data
2.3. Principles of Small Baseline Subset InSAR Technology
2.4. Principles of Two-Dimensional Deformation Decomposition
2.5. Principle of Prediction Models
2.5.1. Back Propagation Neural Network
2.5.2. BPNN Optimized by Genetic Algorithm
- (1)
- Construct the BPNN model, determine the number of nodes in each layer, and normalize the input data.
- (2)
- Set the main parameters of the GA optimization algorithm, including the maximum number of generations (G), crossover probability (), mutation probability (), and population size ().
- (3)
- Calculate the fitness of each individual and use selection, crossover, and mutation principles to optimize the initial weights and thresholds of the BPNN.
- (4)
- Ensure that the initial weights and threshold indicators of the BPNN model are optimal, then perform gradient descent to search the solution space for these parameters and update the weights and thresholds.
- (5)
- If the accuracy condition is met, output the optimal solution; otherwise, proceed to the next iteration until the optimal solution is found.
2.5.3. BPNN Optimized by Artificial Bee Colony Algorithm
- (1)
- Construct the BPNN model, determine the number of nodes in each layer, and normalize the input data.
- (2)
- Set the parameters of the ABC algorithm, including population size (N), maximum number of iterations (M), upper bound (xj) and lower bound (yj) of the search space, and the dimension of the solution (D).
- (3)
- Set the initial weights and thresholds of the BPNN according to the solution dimension (D). Define the position of the i-th employed bee’s random search solution as , and search for new solutions in its vicinity and record the positions.In the equation, represents the lower bound of the search range for the j-th element of each solution while represents the upper bound of the search range for the j-th element of each solution.
- (4)
- Calculate the fitness value () of the solution and use the roulette wheel algorithm to compute the probability () of each solution being selected, choosing the optimal solution.
- (5)
- Onlooker bees use a greedy algorithm to update the position of the previously best solution. If no better solution is found in the vicinity, increment the record count for that solution.In the equation, φ is a random number within the range of [−1, 1], and represents a neighboring solution.
- (6)
- Save the optimal solution and determine whether to discard a solution based on the number of times it has been recorded. If a solution is discarded, the scout bees randomly generate a new solution using Equation (5).
- (7)
- If the number of times a solution is recorded is greater than or equal to the maximum number of iterations, output the optimal solution. Otherwise, proceed to the next iteration until the optimal solution is found.
2.6. Evaluation Metrics
- (1)
- MAE:
- (2)
- RMSE:
3. Results
3.1. Data Processing
3.2. Distribution Characteristics of Subsidence in Mining Areas
3.3. Two-Dimensional Decomposition of Surface Deformation
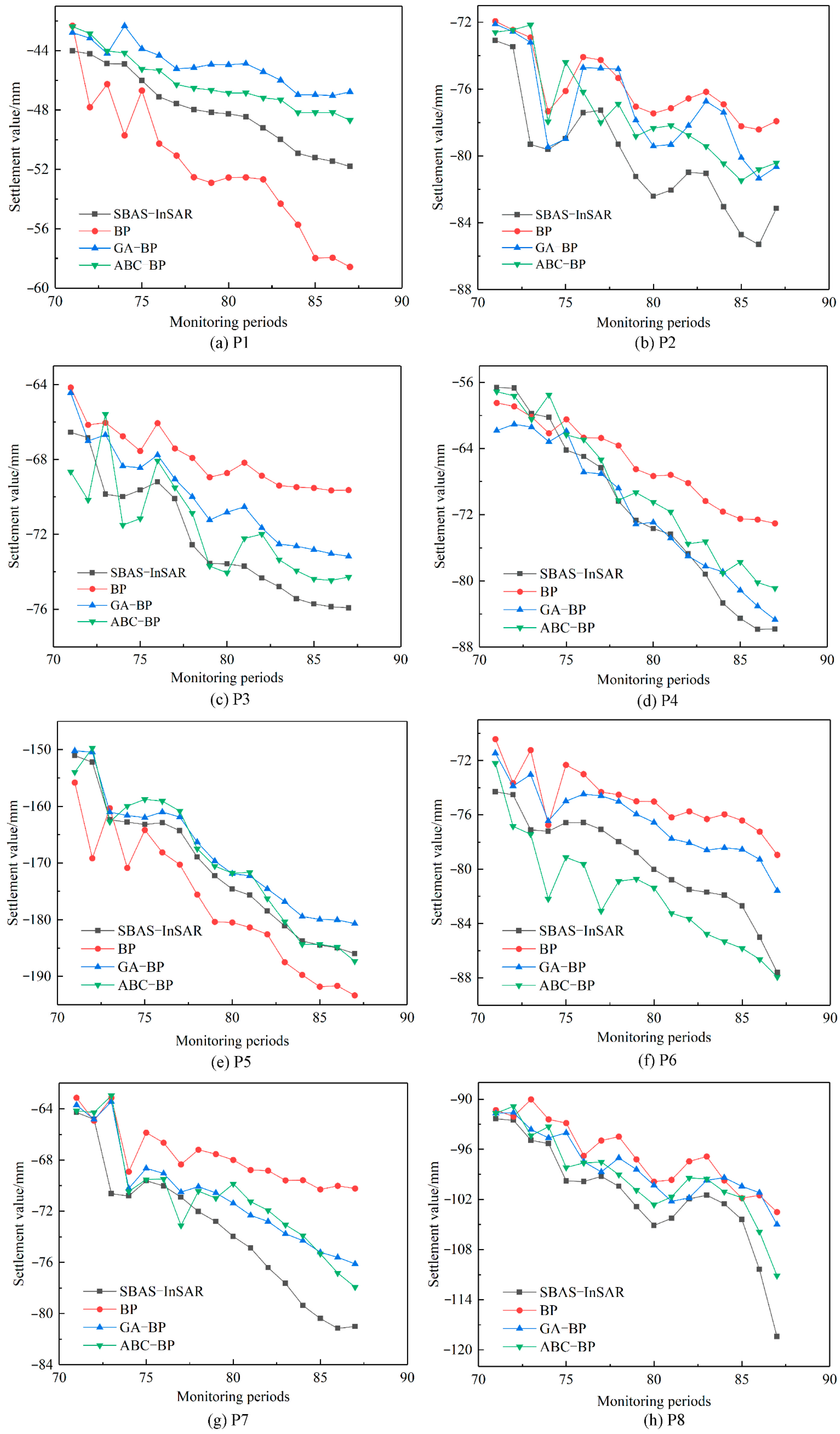
3.4. Analysis of Subsidence Prediction Results
4. Discussion
4.1. The Impact of Rainfall on Subsidence
4.2. The Current Limitations of Study
4.2.1. Potential Biases in Interferometric Synthetic Aperture Radar Monitoring Experiments
4.2.2. Limitations of the Predictive Model and Directions for Future Research
5. Conclusions
- (1)
- The SBAS-InSAR monitoring results indicate that continuous subsidence has occurred in the study area since May 2020. By May 2023, six distinct deformation zones had been identified, all forming subsidence funnels. The ascending orbit results show that the D subsidence zone has the highest annual subsidence rate, approximately 68 mm/year, with a cumulative subsidence of about 211 mm. The descending orbit results indicate that the C subsidence zone has the highest annual subsidence rate, approximately 53 mm/year, with a maximum cumulative subsidence of around 155 mm. According to the vertical deformation results for the mining area, the D zone also exhibits the highest vertical deformation value, reaching 190 mm. The maximum vertical subsidence values in other areas range from 107 mm to 151 mm. The east–west deformation results for the mining area show that the D zone has the most severe east–west deformation compared to other subsidence zones, with the maximum westward deformation being 74 mm and the maximum eastward deformation being 102 mm. In other areas, the maximum westward deformation ranges from 49 mm to 62 mm, and the maximum eastward deformation ranges from 50 mm to 105 mm. Therefore, it is evident that both the vertical and east–west deformation values in the D subsidence zone are higher than those in other areas. Special attention should be paid to the stability of the surface in this zone during subsequent mining activities to prevent potential disasters.
- (2)
- Based on the vertical cumulative subsidence values, neural network prediction models were used to forecast outcomes. It was found that the traditional BPNN model had maximum MAE and RMSE values of 6.41 mm and 7.58 mm, respectively. In contrast, the GA-BP model and ABC-BP model showed superior MAE and RMSE values. Specifically, the GA-BP model improved MAE values by 28% to 68% and RMSE values by 25% to 67% over the BPNN model. Similarly, the ABC-BP model increased MAE values by 32% to 63% and RMSE values by 28% to 60% over the BPNN model. Across all eight points evaluated, the GA-BP model averaged an MAE of 2.67 mm and an RMSE of 2.93 mm, while the ABC-BP model averaged an MAE of 2.32 mm and an RMSE of 2.79 mm, slightly outperforming the GA-BP model. These results indicate that the optimized BPNN prediction models are highly applicable for forecasting mining-induced subsidence, particularly when compared with decomposed vertical subsidence data, demonstrating their accuracy and suitability for use in mining subsidence prediction.
Author Contributions
Funding
Institutional Review Board Statement
Informed Consent Statement
Data Availability Statement
Acknowledgments
Conflicts of Interest
References
- Sun, D.; Deng, W.; Yang, T.; Li, J.; Zhao, Y. A Case Study Integrating Numerical Simulation and InSAR Monitoring to Analyze Bedding-Controlled Landslide in Nanfen Open-Pit Mine. Sustainability 2023, 15, 11158. [Google Scholar] [CrossRef]
- Diao, X.; Sun, Q.; Yang, J.; Wu, K.; Lu, X. A Novel Deformation Extraction Approach for Sub-Band InSAR and Its Application in Large-Scale Surface Mining Subsidence Monitoring. Sustainability 2023, 15, 354. [Google Scholar] [CrossRef]
- Gerson, J.R.; Szponar, N.; Zambrano, A.A.; Bergquist, B.; Broadbent, E.; Driscoll, C.T.; Erkenswick, G.; Evers, D.C.; Fernandez, L.E.; Hsu-Kim, H.; et al. Amazon Forests Capture High Levels of Atmospheric Mercury Pollution from Artisanal Gold Mining. Nat. Commun. 2022, 13, 559. [Google Scholar] [CrossRef] [PubMed]
- Wang, Y.; Guo, Y.; Hu, S.; Li, Y.; Wang, J.; Liu, X.; Wang, L. Ground Deformation Analysis Using InSAR and Backpropagation Prediction with Influencing Factors in Erhai Region, China. Sustainability 2019, 11, 2853. [Google Scholar] [CrossRef]
- Xu, W.; Wang, J.; Zhang, M.; Li, S. Construction of Landscape Ecological Network Based on Landscape Ecological Risk Assessment in a Large-Scale Opencast Coal Mine Area. J. Clean. Prod. 2021, 286, 125523. [Google Scholar] [CrossRef]
- Zhu, C.; He, M.; Tao, Z.; Meng, Q.; Zhang, X. Recognition and Prevention of Rockfall Vulnerable Area in Open-Pit Mines Based on Slope Stability Analysis. Geomech. Eng. 2021, 26, 441–452. [Google Scholar] [CrossRef]
- Han, Y.; Liu, G.; Liu, J.; Yang, J.; Xie, X.; Yan, W.; Zhang, W. Monitoring and Analysis of Land Subsidence in Jiaozuo City (China) Based on SBAS-InSAR Technology. Sustainability 2023, 15, 11737. [Google Scholar] [CrossRef]
- Hou, J.; Lv, J.; Chen, X.; Yu, S. China’s Regional Social Vulnerability to Geological Disasters: Evaluation and Spatial Characteristics Analysis. Nat. Hazards 2016, 84, 97–111. [Google Scholar] [CrossRef]
- Wang, F.; Ren, Q.; Jiang, X.; Niu, J.; Chen, B. Engineering Geology and Mechanism of Multiple Landslides in a Large Open-Pit Mine: The Case of the Copper Mine in Qinghai Province, China. Bull. Eng. Geol. Environ. 2023, 82, 147. [Google Scholar] [CrossRef]
- Zhang, N.; Wang, Y.; Zhao, F.; Wang, T.; Zhang, K.; Fan, H.; Zhou, D.; Zhang, L.; Yan, S.; Diao, X.; et al. Monitoring and Analysis of the Collapse at Xinjing Open-Pit Mine, Inner Mongolia, China, Using Multi-Source Remote Sensing. Remote Sens. 2024, 16, 993. [Google Scholar] [CrossRef]
- Bazanowski, M.; Szostak-Chrzanowski, A.; Chrzanowski, A. Determination of GPS Session Duration in Ground Deformation Surveys in Mining Areas. Sustainability 2019, 11, 6127. [Google Scholar] [CrossRef]
- Kharisova, O.; Kharisov, T. Searching for Possible Precursors of Mining-Induced Ground Collapse Using Long-Term Geodetic Monitoring Data. Eng. Geol. 2021, 289, 106173. [Google Scholar] [CrossRef]
- Liu, C.; Gao, J.X.; Yu, X.X.; Zhang, J.X.; Zhang, A.B. Mine Surface Deformation Monitoring Using Modified GPS RTK with Surveying Rod: Initial Results. Surv. Rev. 2015, 47, 79–86. [Google Scholar] [CrossRef]
- Cigna, F.; Tapete, D. Present-Day Land Subsidence Rates, Surface Faulting Hazard and Risk in Mexico City with 2014-2020 Sentinel-1 IW InSAR. Remote Sens. Environ. 2021, 253, 112161. [Google Scholar] [CrossRef]
- Lauknes, T.R. InSAR Tropospheric Stratification Delays: Correction Using a Small Baseline Approach. IEEE Geosci. Remote Sens. Lett. 2011, 8, 1070–1074. [Google Scholar] [CrossRef]
- Liu, J.; Ma, F.; Li, G.; Guo, J.; Wan, Y.; Song, Y. Evolution Assessment of Mining Subsidence Characteristics Using SBAS and PS Interferometry in Sanshandao Gold Mine, China. Remote Sens. 2022, 14, 290. [Google Scholar] [CrossRef]
- Gourmelen, N.; Amelung, F.; Casu, F.; Manzo, M.; Lanari, R. Mining-Related Ground Deformation in Crescent Valley, Nevada: Implications for Sparse GPS Networks. Geophys. Res. Lett. 2007, 34, L09309. [Google Scholar] [CrossRef]
- Gray, L. Using Multiple RADARSAT InSAR Pairs to Estimate a Full Three-Dimensional Solution for Glacial Ice Movement. Geophys. Res. Lett. 2011, 38, L05502. [Google Scholar] [CrossRef]
- Samsonov, S.; d’Oreye, N. Multidimensional Time-Series Analysis of Ground Deformation from Multiple InSAR Data Sets Applied to Virunga Volcanic Province. Geophys. J. Int. 2012, 191, 1095–1108. [Google Scholar] [CrossRef]
- Shahzad, N.; Ding, X.; Wu, S.; Liang, H. Ground Deformation and Its Causes in Abbottabad City, Pakistan from Sentinel-1A Data and MT-InSAR. Remote Sens. 2020, 12, 3442. [Google Scholar] [CrossRef]
- Ma, F.; Sui, L.; Lian, W. Prediction of Mine Subsidence Based on InSAR Technology and the LSTM Algorithm: A Case Study of the Shigouyi Coalfield, Ningxia (China). Remote Sens. 2023, 15, 2755. [Google Scholar] [CrossRef]
- Chen, Y.; He, Y.; Zhang, L.; Chen, Y.; Pu, H.; Chen, B.; Gao, L. Prediction of InSAR Deformation Time-Series Using a Long Short-Term Memory Neural Network. Int. J. Remote Sens. 2021, 42, 6921–6944. [Google Scholar] [CrossRef]
- Ding, X.; Yang, K.; Wang, S.; Hou, Z.; Li, Y.; Li, Y.; Zhao, H. Time Series Monitoring and Prediction of Coal Mining Subsidence Based on Multitemporal InSAR Technology and GSM-HW Model. J. Appl. Remote Sens. 2022, 16, 038505. [Google Scholar] [CrossRef]
- He, Y.; Yan, H.; Yang, W.; Yao, S.; Zhang, L.; Chen, Y.; Liu, T. Time-Series Analysis and Prediction of Surface Deformation in the Jinchuan Mining Area, Gansu Province, by Using InSAR and CNN-PhLSTM Network. IEEE J. Sel. Top. Appl. Earth Observ. Remote Sens. 2022, 15, 6732–6751. [Google Scholar] [CrossRef]
- Hu, D.; Hu, Y.; Yi, S.; Liang, X.; Li, Y.; Yang, X. Prediction Method of Surface Settlement of Rectangular Pipe Jacking Tunnel Based on Improved PSO-BP Neural Network. Sci. Rep. 2023, 13, 5512. [Google Scholar] [CrossRef]
- Yang, X.; Chen, X.; Fang, X.; Chi, S.; Zhu, M. Improved Mining Subsidence Prediction Model for High Water Level Area Using Machine Learning and Chaos Theory. Energy Explor. Exploit. 2022, 40, 1668–1685. [Google Scholar] [CrossRef]
- Chen, L.; Wu, T.; Wang, Z.; Lin, X.; Cai, Y. A Novel Hybrid BPNN Model Based on Adaptive Evolutionary Artificial Bee Colony Algorithm for Water Quality Index Prediction. Ecol. Indic. 2023, 146, 109882. [Google Scholar] [CrossRef]
- Guel, Y.; Poyraz, B.; Poyraz, F. Comparison of the Monitoring of Surface Deformations in Open-Pit Mines with Sentinel-1A and TerraSAR-X Satellite Radar Data. Environ. Monit. Assess. 2024, 196, 581. [Google Scholar] [CrossRef] [PubMed]
- Su, Y.; Guo, Q.; Ma, Q.; Li, W. SRTM DEM Correction in Vegetated Mountain Areas through the Integration of Spaceborne LiDAR, Airborne LiDAR, and Optical Imagery. Remote Sens. 2015, 7, 11202–11225. [Google Scholar] [CrossRef]
- Zheng, Z.; Xie, C.; He, Y.; Zhu, M.; Huang, W.; Shao, T. Monitoring Potential Geological Hazards with Different InSAR Algorithms: The Case of Western Sichuan. Remote Sens. 2022, 14, 2049. [Google Scholar] [CrossRef]
- Wang, Q.; Yu, W.; Xu, B.; Wei, G. Assessing the Use of GACOS Products for SBAS-InSAR Deformation Monitoring: A Case in Southern California. Sensors 2019, 19, 3894. [Google Scholar] [CrossRef] [PubMed]
- Berardino, P.; Fornaro, G.; Lanari, R.; Sansosti, E. A New Algorithm for Surface Deformation Monitoring Based on Small Baseline Differential SAR Interferograms. IEEE Trans. Geosci. Remote Sens. 2002, 40, 2375–2383. [Google Scholar] [CrossRef]
- Dittrich, J.; Hoelbling, D.; Tiede, D.; Saemundsson, T. Inferring 2D Local Surface-Deformation Velocities Based on PSI Analysis of Sentinel-1 Data: A Case Study of Oraefajokull, Iceland. Remote Sens. 2022, 14, 3166. [Google Scholar] [CrossRef]
- Liu, X.; Huang, J. An Improved Multi-Platform Stacked D-InSAR Method for Monitoring the Three-Dimensional Deformation of the Mining Area. IEEE Access 2021, 9, 66878–66890. [Google Scholar] [CrossRef]
- Zhou, D.; Zuo, X. Surface Subsidence Monitoring and Prediction in Mining Area Based on SBAS-InSAR and PSO-BP Neural Network Algorithm. J. Yunnan Univ. Nat. Sci. Ed. 2021, 43, 895–905. [Google Scholar] [CrossRef]
- Yang, J.; Hu, Y.; Zhang, K.; Wu, Y. An Improved Evolution Algorithm Using Population Competition Genetic Algorithm and Self-Correction BP Neural Network Based on Fitness Landscape. Soft Comput. 2021, 25, 1751–1776. [Google Scholar] [CrossRef]
- Jahanmiri, S.; Noorian-Bidgoli, M. Land Subsidence Prediction in Coal Mining Using Machine Learning Models and Optimization Techniques. Environ. Sci. Pollut. Res. Int. 2024, 31, 31942–31966. [Google Scholar] [CrossRef] [PubMed]
- She, X.; Li, D.; Yang, S.; Xie, X.; Sun, Y.; Zhao, W. Landslide Hazard Assessment for Wanzhou Considering the Correlation of Rainfall and Surface Deformation. Remote Sens. 2024, 16, 1587. [Google Scholar] [CrossRef]
- Wang, H.; Zou, J.; Wang, X.; Lv, P.; Tan, Z.; Cheng, L.; Wei, Q.; Qin, B.; Guo, Z. Analysis of Deformation Mechanism of Rainfall-Induced Landslide in the Three Gorges Reservoir Area: Piansongshu Landslide. Sci. Rep. 2024, 14, 10005. [Google Scholar] [CrossRef]















| Number | Date | Number | Date | Number | Date | Number | Date |
|---|---|---|---|---|---|---|---|
| 1 | 20 May 2020 | 13 | 16 March 2021 | 25 | 29 December 2021 | 37 | 13 October 2022 |
| 2 | 13 June 2020 | 14 | 9 April 2021 | 26 | 22 January 2022 | 38 | 6 November 2022 |
| 3 | 7 July 2020 | 15 | 3 May 2021 | 27 | 15 February 2022 | 39 | 30 November 2022 |
| 4 | 12 August 2020 | 16 | 27 May 2021 | 28 | 11 March 2022 | 40 | 24 December 2022 |
| 5 | 5 September 2020 | 17 | 20 June 2021 | 29 | 4 April 2022 | 41 | 17 January 2023 |
| 6 | 29 September 2020 | 18 | 14 July 2021 | 30 | 28 April 2022 | 42 | 10 February 2023 |
| 7 | 23 October 2020 | 19 | 7 August 2021 | 31 | 22 May 2022 | 43 | 6 March 2023 |
| 8 | 16 November 2020 | 20 | 31 August 2021 | 32 | 15 June 2022 | 44 | 30 March 2023 |
| 9 | 10 December 2020 | 21 | 24 September 2021 | 33 | 9 July 2022 | 45 | 23 April 2023 |
| 10 | 3 January 2021 | 22 | 18 October 2021 | 34 | 2 August 2022 | 46 | 17 May 2023 |
| 11 | 27 January 2021 | 23 | 11 November 2021 | 35 | 26 August 2022 | ||
| 12 | 20 February 2021 | 24 | 5 December 2021 | 36 | 19 September 2022 |
| Number | Date | Number | Date | Number | Date | Number | Date |
|---|---|---|---|---|---|---|---|
| 1 | 10 May 2020 | 13 | 22 February 2021 | 25 | 19 December 2021 | 37 | 8 November 2022 |
| 2 | 3 June 2020 | 14 | 18 March 2021 | 26 | 24 January 2022 | 38 | 2 December 2022 |
| 3 | 27 June 2020 | 15 | 11 April 2021 | 27 | 17 February 2022 | 39 | 7 January 2023 |
| 4 | 21 July 2020 | 16 | 5 May 2021 | 28 | 25 March 2022 | 40 | 31 January 2023 |
| 5 | 14 August 2020 | 17 | 10 June 2021 | 29 | 18 April 2022 | 41 | 24 February 2023 |
| 6 | 7 September 2020 | 18 | 4 July 2021 | 30 | 12 May 2022 | 42 | 20 March 2023 |
| 7 | 1 October 2020 | 19 | 28 July 2021 | 31 | 5 June 2022 | 43 | 13 April 2023 |
| 8 | 25 October 2020 | 20 | 21 August 2021 | 32 | 29 June 2022 | 44 | 7 May 2023 |
| 9 | 18 November 2020 | 21 | 14 September 2021 | 33 | 23 July 2022 | 45 | 31 May 2023 |
| 10 | 12 December 2020 | 22 | 8 October 2021 | 34 | 16 August 2022 | ||
| 11 | 5 January 2021 | 23 | 1 November 2021 | 35 | 9 September 2022 | ||
| 12 | 29 January 2021 | 24 | 25 November 2021 | 36 | 3 October 2022 |
| Parameters | Value |
|---|---|
| Epochs | 300 |
| MES Goal | 1 × 10−6 |
| Learning Rate | 0.1 |
| Minimum Performance Gradient | 1 × 10−7 |
| Maximum Validation Failures | 6 |
| Display Frequency | 25 |
| Number of Input Neurons | 5 |
| Number of Sigmoid Hidden Layer Neurons | 5 |
| Number of Output Neurons | 1 |
| Input-to-Hidden Layer Activation Function | tansig |
| Hidden-to-Output Layer Activation Function | purelin |
| Learning Function | trainlm |
| Parameters | Value |
|---|---|
| Population Sizes | 50 |
| Generations | 200 |
| Mutation Rate | 0.1 |
| Crossover Rate | 0.8 |
| Selection Function Parameters | 0.09 |
| Parameters | Value |
|---|---|
| Population Sizes | 30 |
| Maximum Iterations | 100 |
| Neighborhood Search Parameter | [−1, 1] |
| Limit Parameter | 5 |
| Point | BPNN | GA-BP | ABC-BP | |||
|---|---|---|---|---|---|---|
| MAE/mm | RMSE/mm | MAE/mm | RMSE/mm | MAE/mm | RMSE/mm | |
| P1 | 4.07 | 4.40 | 2.93 | 3.16 | 1.57 | 1.77 |
| P2 | 4.25 | 4.58 | 2.99 | 3.45 | 2.88 | 3.30 |
| P3 | 4.31 | 4.61 | 2.23 | 2.37 | 1.61 | 1.89 |
| P4 | 6.41 | 7.58 | 2.04 | 2.50 | 2.50 | 3.13 |
| P5 | 6.36 | 7.14 | 2.88 | 3.20 | 2.36 | 3.09 |
| P6 | 4.61 | 5.05 | 3.10 | 3.40 | 2.57 | 2.92 |
| P7 | 5.88 | 6.76 | 2.84 | 2.53 | 2.92 | 3.64 |
| P8 | 4.90 | 5.86 | 2.34 | 2.82 | 2.12 | 2.55 |
Disclaimer/Publisher’s Note: The statements, opinions and data contained in all publications are solely those of the individual author(s) and contributor(s) and not of MDPI and/or the editor(s). MDPI and/or the editor(s) disclaim responsibility for any injury to people or property resulting from any ideas, methods, instructions or products referred to in the content. |
© 2024 by the authors. Licensee MDPI, Basel, Switzerland. This article is an open access article distributed under the terms and conditions of the Creative Commons Attribution (CC BY) license (https://creativecommons.org/licenses/by/4.0/).
Share and Cite
Chang, K.; Zhao, Z.; Zhou, D.; Tian, Z.; Wang, C. Prediction of Surface Subsidence in Mining Areas Based on Ascending-Descending Orbits Small Baseline Subset InSAR and Neural Network Optimization Models. Sensors 2024, 24, 4770. https://doi.org/10.3390/s24154770
Chang K, Zhao Z, Zhou D, Tian Z, Wang C. Prediction of Surface Subsidence in Mining Areas Based on Ascending-Descending Orbits Small Baseline Subset InSAR and Neural Network Optimization Models. Sensors. 2024; 24(15):4770. https://doi.org/10.3390/s24154770
Chicago/Turabian StyleChang, Kangtai, Zhifang Zhao, Dingyi Zhou, Zhuyu Tian, and Chang Wang. 2024. "Prediction of Surface Subsidence in Mining Areas Based on Ascending-Descending Orbits Small Baseline Subset InSAR and Neural Network Optimization Models" Sensors 24, no. 15: 4770. https://doi.org/10.3390/s24154770
APA StyleChang, K., Zhao, Z., Zhou, D., Tian, Z., & Wang, C. (2024). Prediction of Surface Subsidence in Mining Areas Based on Ascending-Descending Orbits Small Baseline Subset InSAR and Neural Network Optimization Models. Sensors, 24(15), 4770. https://doi.org/10.3390/s24154770

