Superconducting Quantum Magnetometer Based on Flux Focusing Effect for High-Sensitivity Applications
Abstract
1. Introduction
2. Sensor Design and Fabrication Process
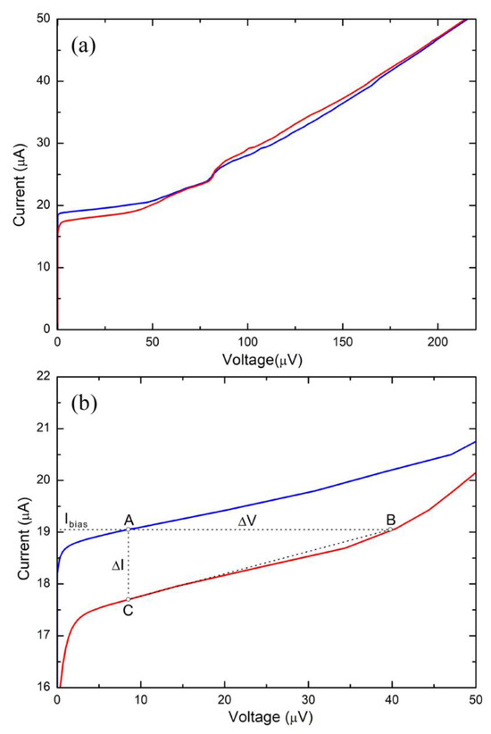
3. Results and Discussion
4. Conclusions
Author Contributions
Funding
Institutional Review Board Statement
Informed Consent Statement
Data Availability Statement
Conflicts of Interest
References
- Degen, C.L.; Reinhard, F.; Cappellaro, P. Quantum sensing. Rev. Modern Phys. 2017, 89, 035002. [Google Scholar] [CrossRef]
- Granata, C.; Vettoliere, A. Nano Superconducting Quantum Interference device: A powerful tool for nanoscale investigations. Phys. Rep. 2016, 614, 1–69. [Google Scholar] [CrossRef]
- Granata, C.; Silvestrini, P.; Vettoliere, A. Nano Superconducting Quantum Interference Device. In 21st Century Nanoscience—A Handbook; CRC Press: Boca Raton, FL, USA, 2020. [Google Scholar]
- Martínez-Pérez, M.J.; Koelle, D. NanoSQUIDs: Basics & recent advances. Phys. Sci. Rev. 2017, 2, 20175001. [Google Scholar] [CrossRef]
- Cohen, D.; Halgren, E. Magnetoencephalography. Encyclopedia Neurosci. 2009, 5, 615–622. [Google Scholar]
- Hämäläinen, M.; Hari, R.; Ilmoniemi, R.; Knuutila, J.; Lounasmaa, O. Magnetoencephalography-theory, instrumentation, and applications to noninvasiv studies of the working human brain. Rev. Modern Phys. 1993, 65, 413–497. [Google Scholar] [CrossRef]
- Del Gratta, C.; Pizzella, V.; Tecchio, F.; Romani, G.L. Magnetoencephalography—A noninvasive brain imaging method with 1 ms time resolution. Rep. Prog. Phys. 2001, 64, 1759–1814. [Google Scholar] [CrossRef]
- Clarke, J.; Braginski, A.I. The SQUID Handbook Vol I: Fundamentals and Technology of SQUIDs and SQUID Systems; Clarke, J., Braginski, A.I., Eds.; Wiley-VCH Verlag GmbH & Co. KgaA: Weinheim, Germany, 2004. [Google Scholar]
- Seidel, P. Applied Superconductivity: Handbook on Devices and Applications; Seidel, P., Ed.; Wiley: Weinheim, Germany, 2015. [Google Scholar]
- Fagaly, R.L. Superconducting quantum interference device instruments and applications. Rev. Sci. Instruments 2006, 77, 101101. [Google Scholar] [CrossRef]
- Vettoliere, A.; Silvestrini, P.; Granata, C. Superconducting quantum magnetic sensing. In Quantum Materials, Devices, and Applications; Elsevier: Amsterdam, The Netherlands, 2023; pp. 43–85. [Google Scholar]
- Tierney, T.M.; Holmes, N.; Mellor, S.; López, J.D.; Roberts, G.; Hill, R.M.; Boto, E.; Leggett, J.; Shah, V.; Brookes, M.J.; et al. Optically pumped magnetometers: From quantum origins to multi-channel magnetoencephalography. NeuroImage 2019, 199, 598–608. [Google Scholar] [CrossRef]
- Kominis, I.K.; Kornack, T.W.; Allred, J.C.; Romalis, M.V. A subfemtotesla multichannel atomic magnetometer. Nature 2003, 422, 596–599. [Google Scholar] [CrossRef]
- Maze, J.R.; Stanwix, P.L.; Hodges, J.S.; Hong, S.; Taylor, J.M.; Cappellaro, P.; Jiang, L.; Dutt, M.G.; Togan, E.; Zibrov, A.S.; et al. Nanoscale magnetic sensing with an individual electronic spin in diamond. Nature 2008, 455, 644–647. [Google Scholar] [CrossRef]
- Taylor, J.M.; Cappellaro, P.; Childress, L.; Jiang, L.; Budker, D.; Hemmer, P.R.; Yacoby, A.; Walsworth, R.; Lukin, M.D. High-sensitivity diamond magnetometer with nanoscale resolution. Nat. Phys. 2008, 4, 810–816. [Google Scholar] [CrossRef]
- Awschalom, D.D.; Rozen, J.R.; Ketchen, M.B.; Gallagher, W.J.; Kleinsasser, A.W.; Sandstrom, R.L.; Bumble, B. Low-noise modular microsusceptometer using nearly quantum limited dc SQUIDs. Appl. Phys. Lett. 1988, 53, 2108–2110. [Google Scholar] [CrossRef]
- Schmelz, M.; Vettoliere, A.; Zakosarenko, V.; De Leo, N.; Fretto, M.; Stolz, R.; Granata, C. 3D nanoSQUID based on tunnel nano-junctions with an energy sensitivity of 1.3 h at 4.2 K. Appl. Phys. Lett. 2017, 111, 032604. [Google Scholar] [CrossRef]
- Clarke, J.; Braginski, A.I. (Eds.) The SQUID Handbook Vol. II: Fundamentals and Technology of SQUIDs and SQUID Systems; Wiley-VCH Verlag GmbH & Co. KgaA: Weinheim, Germany, 2006. [Google Scholar]
- Durkin, M.; Backhaus, S.; Bandler, S.R.; Chervenak, J.A.; Denison, E.V.; Doriese, W.B.; Gard, J.D.; Hilton, G.C.; Lew, R.A.; Lucas, T.J.; et al. Symmetric Time-Division-Multiplexed SQUID Readout with Two-Layer Switches for Future TES Observatories. IEEE Trans. Appl. Supercond. 2023, 33, 2500505. [Google Scholar] [CrossRef]
- Gordeeva, A.V.; Zbrozhek, V.O.; Pankratov, A.L.; Revin, L.S.; Shamporov, V.A.; Gunbina, A.A.; Kuzmin, L.S. Observation of photon noise by cold-electron bolometers. Appl. Phys. Lett. 2017, 110, 4982031. [Google Scholar] [CrossRef]
- Cantor, R. SQUID Sensors: Fundamentals, Fabrication and Applications; Weinstock, H., Ed.; Series E: Applied Sciences; Kluwer Academic Publisher: Dordrecht, The Netherlands, 1996; Volume 329, p. 179. [Google Scholar]
- Ketchen, M.B.; Jaycox, J.M. Ultra-low-noise tunnel junction dc SQUID with a tightly coupled planar input coil. Appl. Phys. Lett. 1982, 40, 736–738. [Google Scholar] [CrossRef]
- Granata, C.; Vettoliere, A.; Russo, M. Improved superconducting quantum interference device magnetometer for low cross talk operation. Appl. Phys. Lett. 2006, 88, 212506. [Google Scholar] [CrossRef]
- Drung, D.; Knappe, S.; Koch, H. Theory for the multiloop dc superconducting quantum interference device magnetometer and experimental verification. J. Appl. Phys. 1995, 77, 4088–4098. [Google Scholar] [CrossRef]
- Drung, D.; Cantor, R.; Peters, M.; Scheer, H.J.; Koch, H. Low-noise high-speed dc superconducting quantum interference device magnetometer with simplified feedback electronics. Appl. Phys. Lett. 1990, 57, 406–408. [Google Scholar] [CrossRef]
- Clarke, J. SQUID fundamentals. In SQUID Sensors: Fundamentals, Fabrication and Application; Weinstock, H., Ed.; Series E: Applied Sciences; Kluwer Academic Publisher: Dordrecht, The Netherlands, 1996; Volume 329, pp. 1–62. [Google Scholar]
- Tesche, C.D.; Clarke, J. dc SQUID: Noise and optimization. J. Low. Temp. Phys. 1977, 29, 301–331. [Google Scholar] [CrossRef]
- Ketchen, M.B.; Gallagher, W.J.; Kleinsasser, A.W.; Murphy, S.; Clem, J.R. dc SQUID flux focuser. In SQUID ’85: Superconducting Quantum Interference Devices and Their Applications; Hadlbohm, H.D., Lubbig, H., Eds.; Walter de Gruyter: Berlin, Germany; New York, NY, USA, 1985; pp. 865–887. [Google Scholar]
- Ketchen, M. Integrated thin-film dc SQUID sensors. IEEE Trans. Magn. 1987, 23, 1650–1657. [Google Scholar] [CrossRef]
- Ketchen, M. Design considerations for DC SQUIDs fabricated in deep sub-micron technology. IEEE Trans. Magn. 1991, 27, 2916–2919. [Google Scholar] [CrossRef]
- Jaycox, J.; Ketchen, M. Planar coupling scheme for ultra low noise DC SQUIDs. IEEE Trans. Magn. 1981, 17, 400–403. [Google Scholar] [CrossRef]
- Zhang, Y.; Muck, M.; Herrmann, K.; Schubert, J.; Zander, W.; Braginski, A.; Heiden, C. Sensitive rf-SQUIDS and magnetometers operating at T = 77 K. IEEE Trans. Appl. Supercond. 1993, 3, 2465. [Google Scholar] [CrossRef]
- Enpuku, K.; Sueoka, K.; Yoshida, K.; Irie, F. Effect of damping resistance on voltage versus flux relation of a dc SQUID with large inductance and critical current. J. Appl. Phys. 1985, 57, 1691–1697. [Google Scholar] [CrossRef]
- Enpuku, K.; Muta, T.; Yoshida, K.; Irie, F. Noise characteristics of a dc SQUID with a resistively shunted inductance. J. Appl. Phys. 1985, 58, 1916–1923. [Google Scholar] [CrossRef]
- Bartolome, E.; Lopez, R.; Flokstra, J.; Rogalla, H. LTS slotted SQUIDs for reduction of 1/f noise. Phys. C 2002, 372, 233–236. [Google Scholar] [CrossRef]
- Dantsker, E.; Tanaka, S.; Clarke, J. High-Tc SQUIDs with slots or holes: Low 1/f noise in ambient magnetic fields. Appl. Phys. Lett. 1997, 70, 2037–2039. [Google Scholar] [CrossRef]
- Granata, C.; Di Russo, C.; Monaco, A.; Russo, M. Integrated LTc-SQUID magnetometers for multichannel systems. IEEE Trans. Appl. Supercond. 2001, 11, 95–98. [Google Scholar] [CrossRef]
- Vettoliere, A.; Granata, C. Highly Sensitive Tunable Magnetometer Based on Superconducting Quantum Interference Device. Sensors 2023, 23, 3558. [Google Scholar] [CrossRef]
- Drung, D. Advanced SQUID read-out electronics. In SQUID Sensors: Fundamentals, Fabrication and Application; Weinstock, H., Ed.; Series E: Applied Sciences; Kluwer Academic Publisher: Dordrecht, The Netherlands, 1996; Volume 329, pp. 63–116. [Google Scholar]
- Drung, D.; Muck, M. SQUID Electronics. In The SQUID Handbook Vol I: Fundamentals and Technology of SQUIDs and SQUID Systems; Clarke, J., Braginski, A.I., Eds.; Wiley-VCH Verlag GmbH & Co. KgaA: Weinheim, Germany, 2004; pp. 127–170. [Google Scholar]
- Chesca, B.; Kleiner, R.; Koelle, D. SQUID Theory. In The SQUID Handbook Vol I: Fundamentals and Technology of SQUIDs and SQUID Systems; Clarke, J., Braginski, A.I., Eds.; Wiley-VCH Verlag GmbH & Co. KgaA: Weinheim, Germany, 2004; pp. 29–92. [Google Scholar]
- Coon, D.D.; Fiske, M.D. Josephson ac and Step Structure in the Supercurrent Tunneling Characteristic. Phys. Rev. B 1965, 138, A744–A746. [Google Scholar] [CrossRef]
- Voss, R.F. Noise characteristics of an ideal shunted Josephson junction. J. Low. Temp. Phys. 1981, 42, 151–163. [Google Scholar] [CrossRef]
- de Waal, V.J.; Schrijner, P.; Llurba, R. Simulation and optimization of a dc SQUID with finite capacitance. J. Low. Temp. Phys. 1984, 54, 215–232. [Google Scholar] [CrossRef]
- Wang, Y.; Zhang, G.; Zhang, S.; Xie, X. Analysis of LC-Resonance in DC SQUID Using Dynamic System Model. IEEE Trans. Appl. Supercond. 2020, 30, 1–7. [Google Scholar] [CrossRef]
- Granata, C.; Vettoliere, A.; Russo, M. Miniaturized superconducting quantum interference magnetometers for high sensitivity applications. Appl. Phys. Lett. 2007, 91, 122509. [Google Scholar]





| Design Parameters | |
|---|---|
| Josephson Junctions | |
| Critical current | I0 = 9.1 μA |
| Area | A = 16 μm2 |
| McCumber parameter | βc = 2.5 |
| Capacitance | C = 1.0 pF |
| Shunt resistance | Rs = 9.4 Ω |
| Noise parameter | Γ = 0.02 |
| dc SQUID Washer | |
| Outer dimension | b = 5 mm |
| Hole dimension | d = 0.3 mm |
| Slit length | bT = 2.35 mm |
| Slit width | w = 8 μm |
| Hole inductance | Lh = 472 pH |
| Slit Inductance | LT = 705 pH |
| Moats | |
| Number | Nr = 8 |
| Dimensions | A = 20 × 1500 μm2 |
Disclaimer/Publisher’s Note: The statements, opinions and data contained in all publications are solely those of the individual author(s) and contributor(s) and not of MDPI and/or the editor(s). MDPI and/or the editor(s) disclaim responsibility for any injury to people or property resulting from any ideas, methods, instructions or products referred to in the content. |
© 2024 by the authors. Licensee MDPI, Basel, Switzerland. This article is an open access article distributed under the terms and conditions of the Creative Commons Attribution (CC BY) license (https://creativecommons.org/licenses/by/4.0/).
Share and Cite
Vettoliere, A.; Granata, C. Superconducting Quantum Magnetometer Based on Flux Focusing Effect for High-Sensitivity Applications. Sensors 2024, 24, 3998. https://doi.org/10.3390/s24123998
Vettoliere A, Granata C. Superconducting Quantum Magnetometer Based on Flux Focusing Effect for High-Sensitivity Applications. Sensors. 2024; 24(12):3998. https://doi.org/10.3390/s24123998
Chicago/Turabian StyleVettoliere, Antonio, and Carmine Granata. 2024. "Superconducting Quantum Magnetometer Based on Flux Focusing Effect for High-Sensitivity Applications" Sensors 24, no. 12: 3998. https://doi.org/10.3390/s24123998
APA StyleVettoliere, A., & Granata, C. (2024). Superconducting Quantum Magnetometer Based on Flux Focusing Effect for High-Sensitivity Applications. Sensors, 24(12), 3998. https://doi.org/10.3390/s24123998

