Design of a Compact Circularly Polarized Implantable Antenna for Capsule Endoscopy Systems
Abstract
1. Introduction
2. Antenna Design and Optimization
2.1. Antenna Geometry
2.2. Simulation Settings and Environments
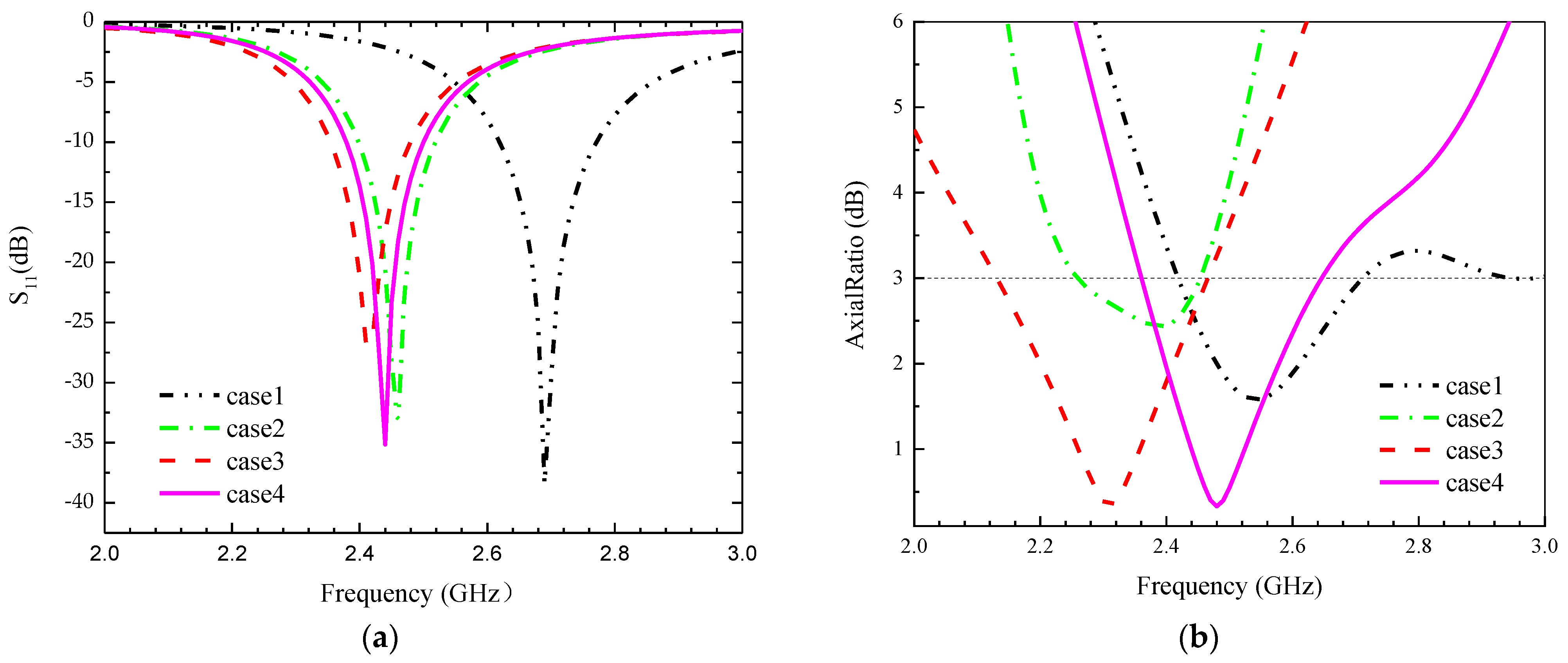
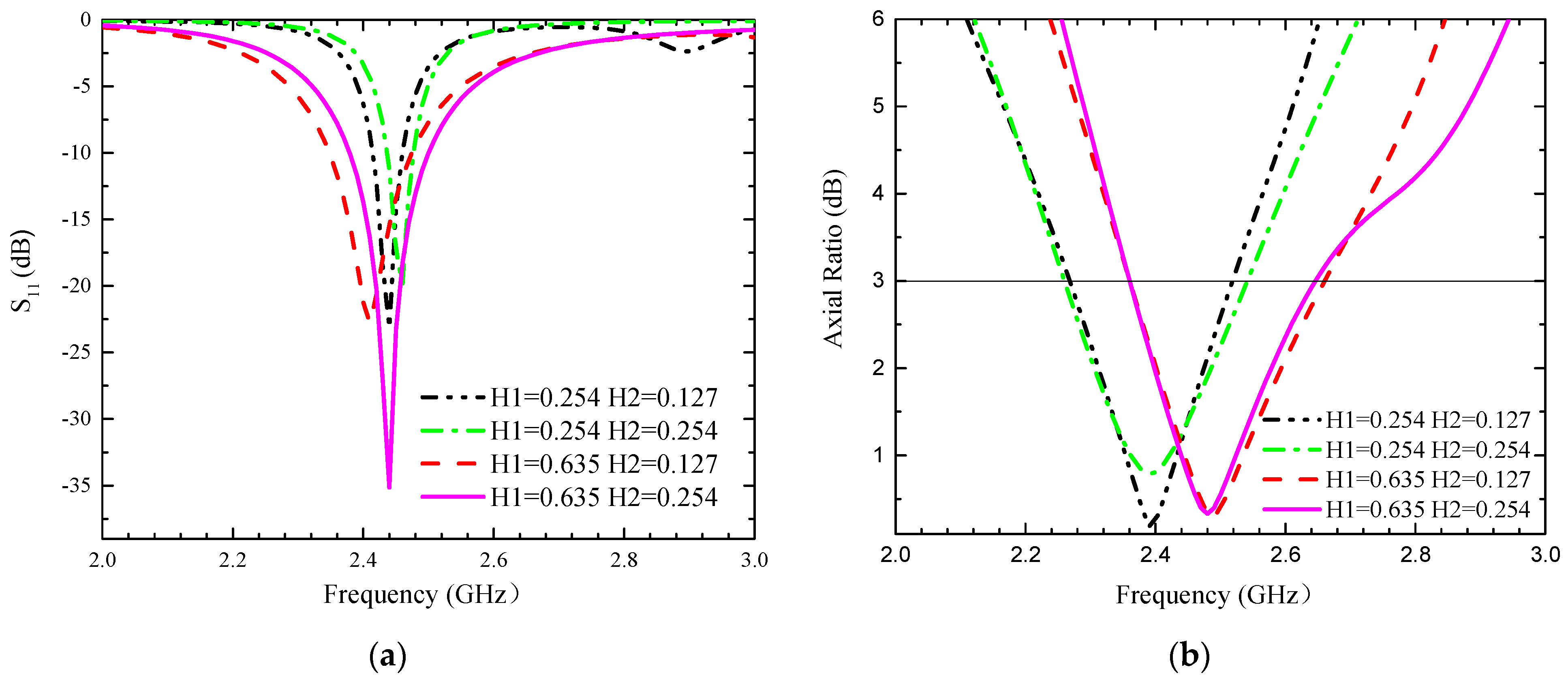
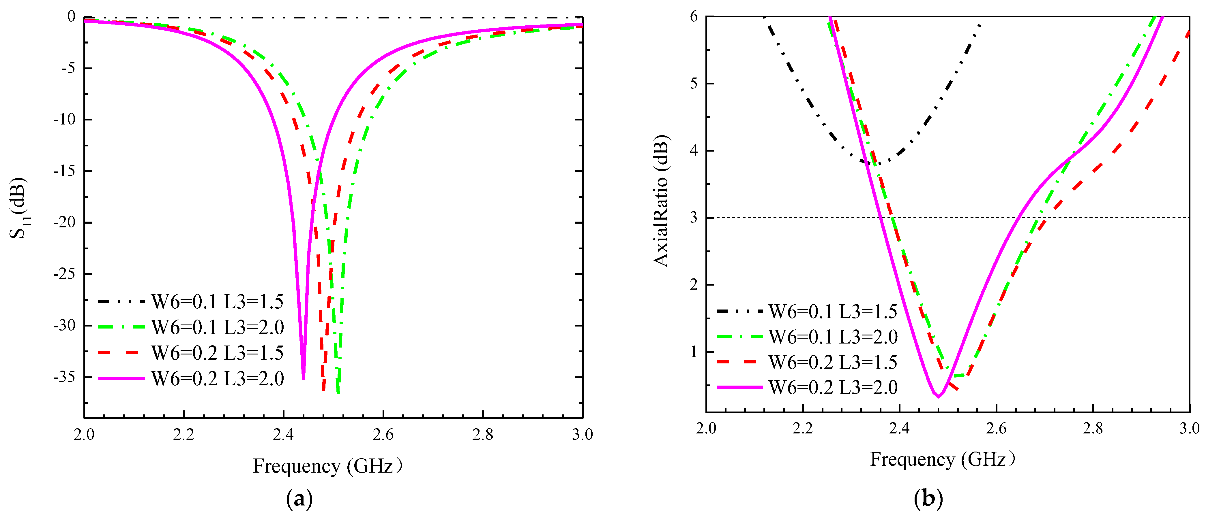
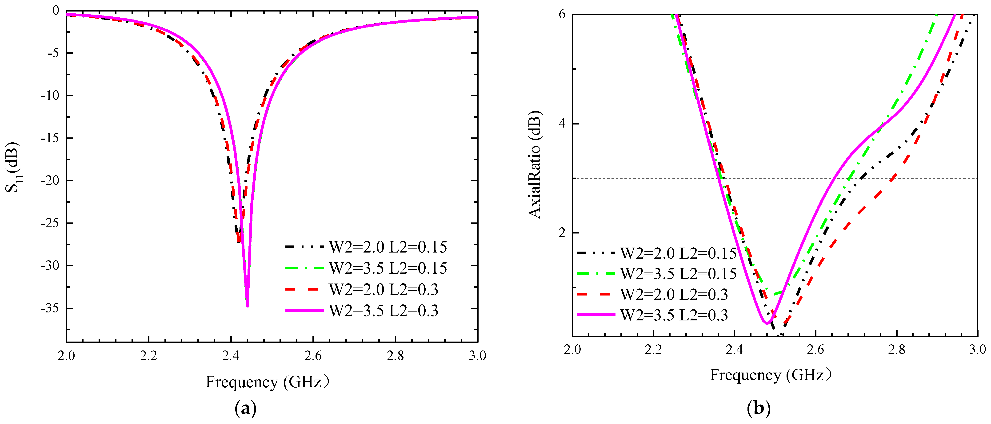
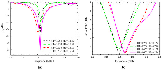
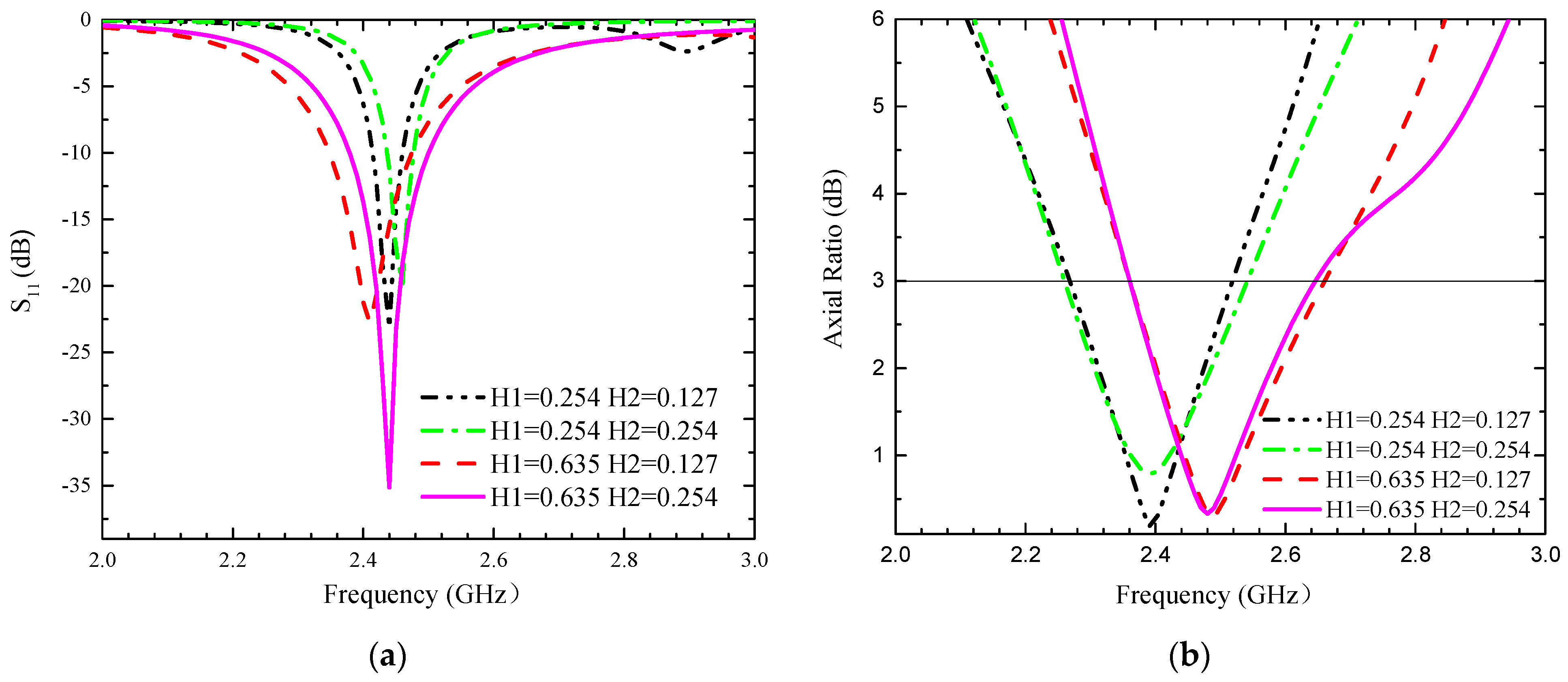
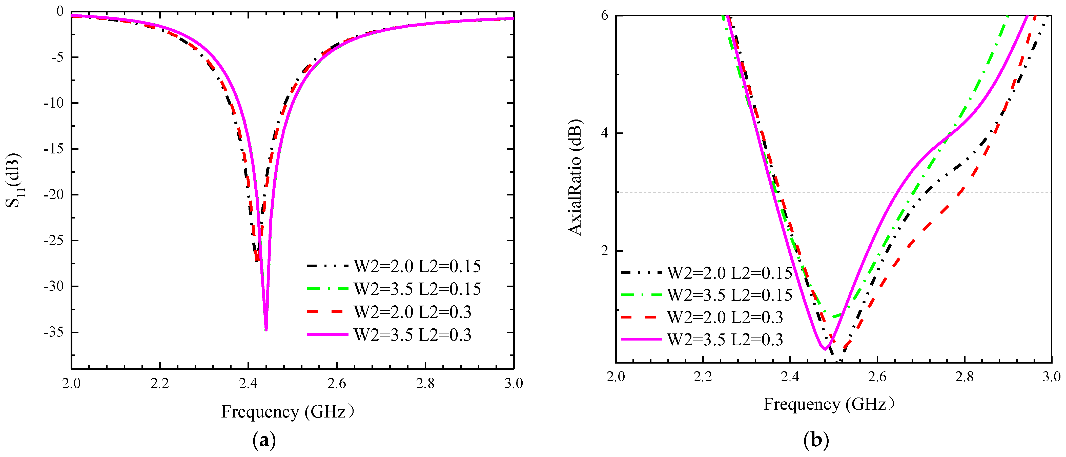
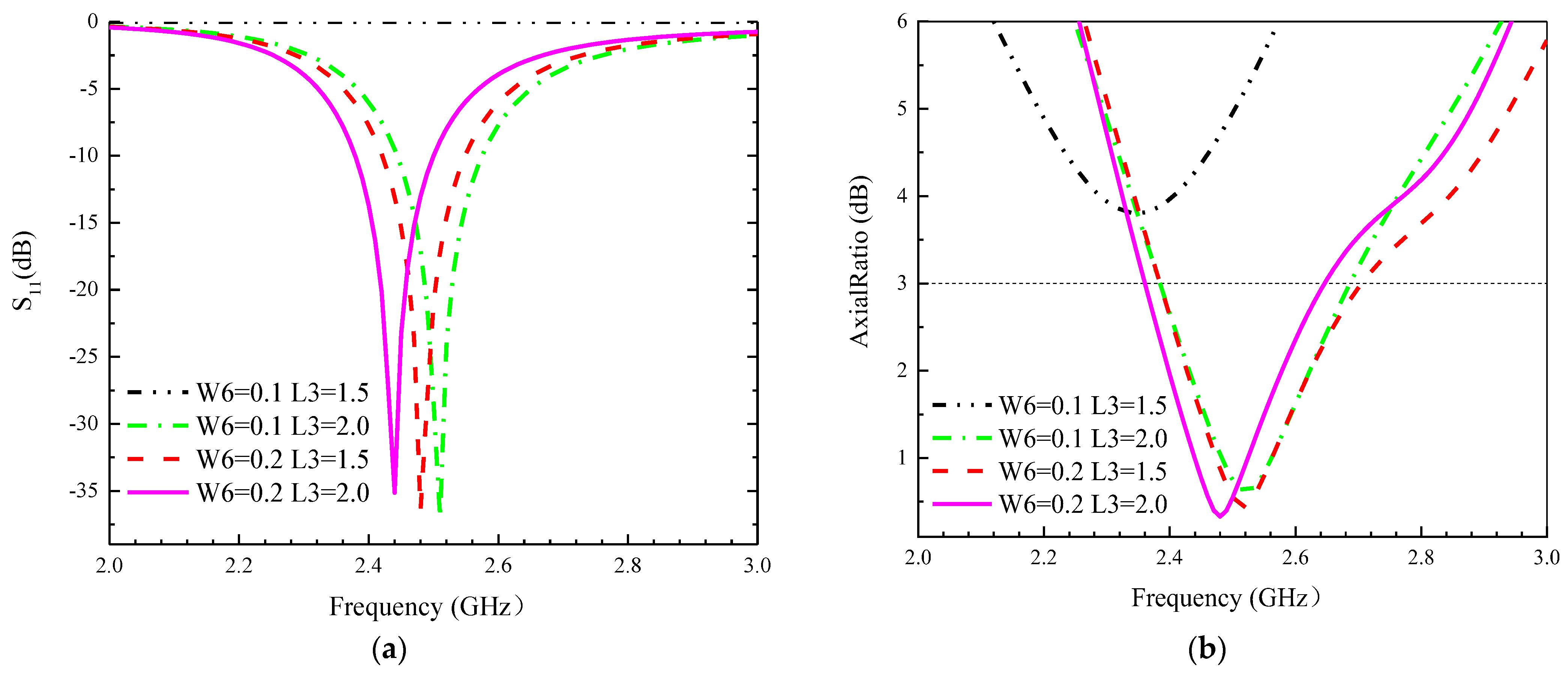
2.3. Simulation and Analysis of Key Parameters
3. Analysis of Simulation Results
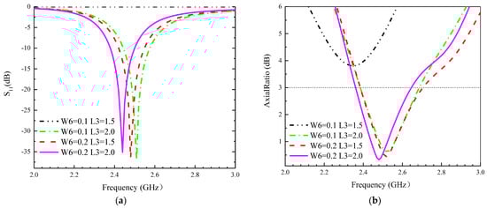
3.1. Research on Antenna Working Mechanism
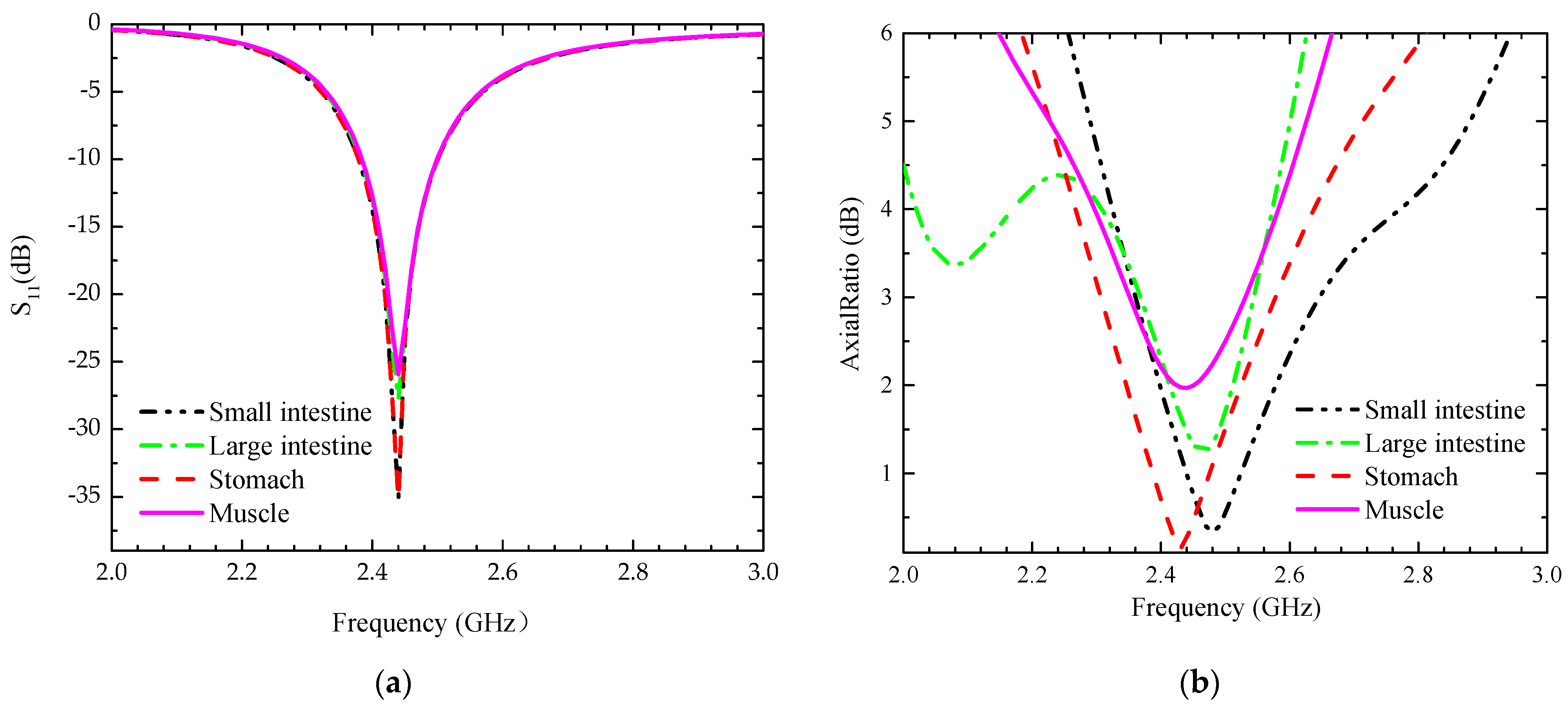
3.2. Research on Antenna Radiation Characteristics
4. Analysis of Measurement Results
5. Conclusions
Author Contributions
Funding
Institutional Review Board Statement
Informed Consent Statement
Data Availability Statement
Acknowledgments
Conflicts of Interest
References
- Ciuti, G.; Menciassi, A.; Dario, P. Capsule Endoscopy: From Current Achievements to Open Challenges. IEEE Rev. Biomed. Eng. 2011, 4, 59–72. [Google Scholar] [CrossRef]
- Das, R.; Yoo, H. A Wideband Circularly Polarized Conformal Endoscopic Antenna System for High-Speed Data Transfer. IEEE Trans. Antennas Propag. 2017, 65, 2816–2826. [Google Scholar] [CrossRef]
- Seireg, R.; Abulshohoud, W. Analytical modeling for the human digestive system. In Proceedings of the 35th Midwest Symposium on Circuits and Systems, Washington, DC, USA, 9–12 August 1992; Volume 1, pp. 711–713. [Google Scholar]
- McCaffrey, C.; Chevalerias, O.; Mathuna, C.; Twomey, K. Swallowable-Capsule Technology. IEEE Pervasive Comput. 2008, 7, 23–29. [Google Scholar] [CrossRef]
- Iddan, G.; Meron, G.; Glukhovsky, A.; Swain, P. Wireless capsule endoscopy. Nature 2000, 405, 417. [Google Scholar] [CrossRef]
- Miah, S.; Khan, A.N.; Icheln, C.; Haneda, K.; Takizawa, K.-I. Antenna System Design for Improved Wireless Capsule Endoscope Links at 433 MHz. IEEE Trans. Antennas Propag. 2019, 67, 2687–2699. [Google Scholar] [CrossRef]
- Li, R.; Guo, Y. A Conformal UWB Dual-Polarized Antenna for Wireless Capsule Endoscope Systems. IEEE Antennas Wirel. Propag. Lett. 2021, 20, 483–487. [Google Scholar] [CrossRef]
- Yun, S.; Kim, K.; Nam, S. Outer-Wall Loop Antenna for Ultrawideband Capsule Endoscope System. IEEE Antennas Wirel. Propag. Lett. 2010, 9, 1135–1138. [Google Scholar] [CrossRef]
- Xiao, C.; Hao, S.; Zhang, Y. 915 MHz Miniaturized Loop Conformal Antenna for Capsule Endoscope. IEEE Trans. Antennas Propag. 2022, 70, 10233–10244. [Google Scholar] [CrossRef]
- Li, R.; Guo, Y.; Du, G. A Conformal Circularly Polarized Antenna for Wireless Capsule Endoscope Systems. IEEE Trans. Antennas Propag. 2018, 66, 2119–2124. [Google Scholar] [CrossRef]
- Biswas, B.; Karmakar, A.; Chandra, V. Fractal inspired miniaturized wideband ingestible antenna for wireless capsule endoscopy. AEU-Int. J. Electron. Commun. 2020, 120, 153192. [Google Scholar] [CrossRef]
- Neebha, T.; Nesasudha, M. Analysis of An Ultra Miniature Capsule Antenna for Gastrointestinal Endoscopy. Eng. Sci. Technol. Oct. 2018, 21, 938–944. [Google Scholar]
- Dubey, R.; Singh, A.; Srivastava, S.K.; Ajitesh; Meshram, M.K. A dual wide-band ingestible antenna design for wireless capsule endoscopy. AEU-Int. J. Electron. Commun. 2023, 172, 154935. [Google Scholar] [CrossRef]
- Shah, S.; Zada, M.; Nasir, J.; Owais, O.; Iqbal, A.; Yoo, H. Miniaturized Four-Port MIMO Implantable Antenna for High-Data-Rate Wireless-Capsule-Endoscopy Applications. IEEE Trans. Antennas Propag. 2023, 71, 3123–3133. [Google Scholar] [CrossRef]
- Liu, C.; Guo, Y.; Xiao, S. Circularly polarized helical antenna for ISM-band ingestible capsule endoscope systems. IEEE Trans. Antennas Propag. 2014, 62, 6027–6039. [Google Scholar] [CrossRef]
- Duan, Z.; Xu, H.; Gao, S.S.; Geyi, W. A circularly polarized omnidirectional antenna for wireless capsule endoscope system. IEEE Trans. Antennas Propag. 2020, 69, 1896–1907. [Google Scholar] [CrossRef]
- Zainud-Deen, S.; Malhat, H.; Balabel, A. Octafilar helical antenna for circular polarization wireless capsule endoscopy applications. Wirel. Pers. Commun. 2019, 108, 569–579. [Google Scholar] [CrossRef]
- Wang, G.-B.; Xuan, X.-W.; Jiang, D.-L.; Li, K.; Wang, W. A miniaturized implantable antenna sensor for wireless capsule endoscopy system. AEU-Int. J. Electron. Commun. 2022, 143, 154022. [Google Scholar] [CrossRef]
- Cui, W.; Liu, R.; Wang, L.; Wang, M.; Zheng, H.; Li, E. Design of wideband implantable antenna for wireless capsule endoscope system. IEEE Antennas Wirel. Propag. Lett. 2019, 18, 2706–2710. [Google Scholar] [CrossRef]
- Hayat, S.; Shah, S.; Yoo, H. Miniaturized Dual-Band Circularly Polarized Implantable Antenna for Capsule Endoscopic System. IEEE Trans. Antennas Propag. 2021, 69, 1885–1895. [Google Scholar] [CrossRef]
- Lai, J.; Wang, J.; Zhao, K.; Jiang, H.; Chen, L.; Wu, Z.; Liu, J. Design of a Dual-Polarized Omnidirectional Dielectric Resonator Antenna for Capsule Endoscopy System. IEEE Access 2021, 9, 14779–14786. [Google Scholar] [CrossRef]
- Janapala, D.; Moses, N.; Orugu, R. Compacted conformal antenna at lower-UWB for wireless capsule endoscope system. Ambient. Intell. Human Comput. 2023, 14, 12617–12633. [Google Scholar] [CrossRef]
- C95.1-1999; IEEE Standard for Safety Levels with Respect to Human Exposure to Radio Frequency Electromagnetic Fields, 3 KHz to 300 GHz. IEEE: New York, NY, USA, 1999.
- Gabriel, S.; Lau, R.; Gabriel, C. The dielectric properties of biological tissues. Phys. Med. Biol. 1996, 41, 2231–2293. [Google Scholar] [CrossRef]
- Jing, D.; Li, H.; Ding, X.; Shao, W.; Xiao, S. Compact and Broadband Circularly Polarized Implantable Antenna for Wireless Implantable Medical Devices. IEEE Antennas Wirel. Propag. Lett. 2023, 22, 1236–1240. [Google Scholar] [CrossRef]













| Parameter | Value | Parameter | Value | Parameter | Value |
|---|---|---|---|---|---|
| W1 | 2.1 | W2 | 2.9 | W3 | 3 |
| W4 | 0.3 | W5 | 0.2 | W6 | 0.2 |
| W7 | 0.6 | L1 | 3 | L2 | 0.5 |
| L3 | 2 | L4 | 0.4 | L5 | 7.0 |
| R1 | 0.3 | R2 | 0.3 | R3 | 0.4 |
| S | 1.2 | T | 2.4 | H1 | 0.635 |
| H2 | 0.254 |
| Tissue/Frequency | 2.45 GHz | |
|---|---|---|
| εr | σ (S/m) | |
| Skin | 41.3 | 1.464 |
| Fat | 5.28 | 0.104 |
| Muscle | 52.729 | 1.73 |
| Small Intestine | 54.43 | 3.17 |
| Large Intestine | 53.88 | 2.04 |
| Stomach | 62.16 | 2.21 |
| Case | (1) | (2) | (3) | (4) |
|---|---|---|---|---|
| Top View | ![]() | ![]() | ![]() | ![]() |
| Bottom View | ![]() | ![]() | ![]() | ![]() |
| Ref. | Capsule Size (mm) | Freq. (GHz) | Bandwidth (MHz) | Gain (dBi) | SAR (1-g) | CP |
|---|---|---|---|---|---|---|
| [6] | 27 × 11 | 0.433 | 795 | −35 | 225.4 | No |
| [8] | 24 × 11 | 0.433 | 260 | - | - | No |
| [10] | 26 × 11 | 2.45 | 320 | −29.1 | 368.7 | Yes |
| [15] | 26 × 11 | 2.45 | 960 | - | 180.7 | Yes |
| [18] | 12 × 5 | 2.45 | 50 | −9.7 | 596.3 | No |
| [19] | 11 × 10 | 2.45 | 520 | −26.4 | 712.1 | No |
| This Work | 17 × 9 | 2.45 | 120 | −26.7 | 216 | Yes |
Disclaimer/Publisher’s Note: The statements, opinions and data contained in all publications are solely those of the individual author(s) and contributor(s) and not of MDPI and/or the editor(s). MDPI and/or the editor(s) disclaim responsibility for any injury to people or property resulting from any ideas, methods, instructions or products referred to in the content. |
© 2024 by the authors. Licensee MDPI, Basel, Switzerland. This article is an open access article distributed under the terms and conditions of the Creative Commons Attribution (CC BY) license (https://creativecommons.org/licenses/by/4.0/).
Share and Cite
Song, Z.; Xu, X.; Shi, Y.; Wang, L. Design of a Compact Circularly Polarized Implantable Antenna for Capsule Endoscopy Systems. Sensors 2024, 24, 3960. https://doi.org/10.3390/s24123960
Song Z, Xu X, Shi Y, Wang L. Design of a Compact Circularly Polarized Implantable Antenna for Capsule Endoscopy Systems. Sensors. 2024; 24(12):3960. https://doi.org/10.3390/s24123960
Chicago/Turabian StyleSong, Zhiwei, Xiaoming Xu, Youwei Shi, and Lu Wang. 2024. "Design of a Compact Circularly Polarized Implantable Antenna for Capsule Endoscopy Systems" Sensors 24, no. 12: 3960. https://doi.org/10.3390/s24123960
APA StyleSong, Z., Xu, X., Shi, Y., & Wang, L. (2024). Design of a Compact Circularly Polarized Implantable Antenna for Capsule Endoscopy Systems. Sensors, 24(12), 3960. https://doi.org/10.3390/s24123960









