Miniaturizable Chemiluminescence System for ATP Detection in Water
Abstract
1. Introduction
2. Materials and Methods
2.1. SiPM Details
2.2. Setup Description
2.3. Standard Preparation and ATP Bioluminescence Measurements
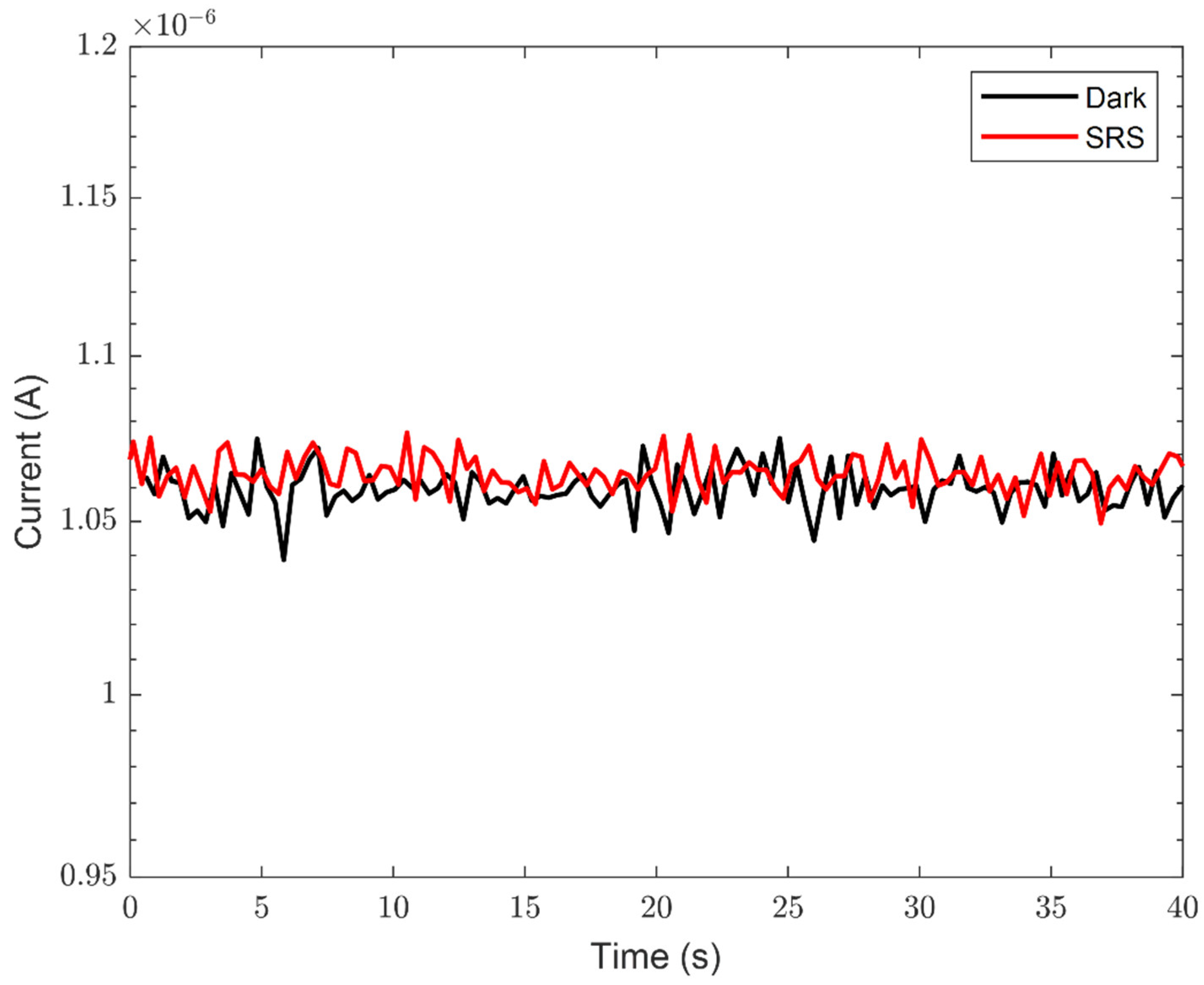
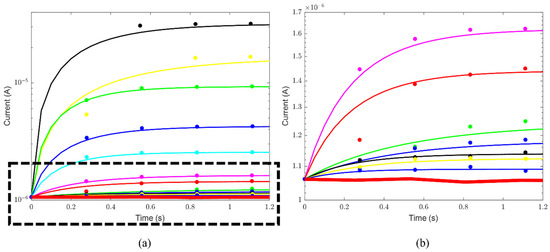
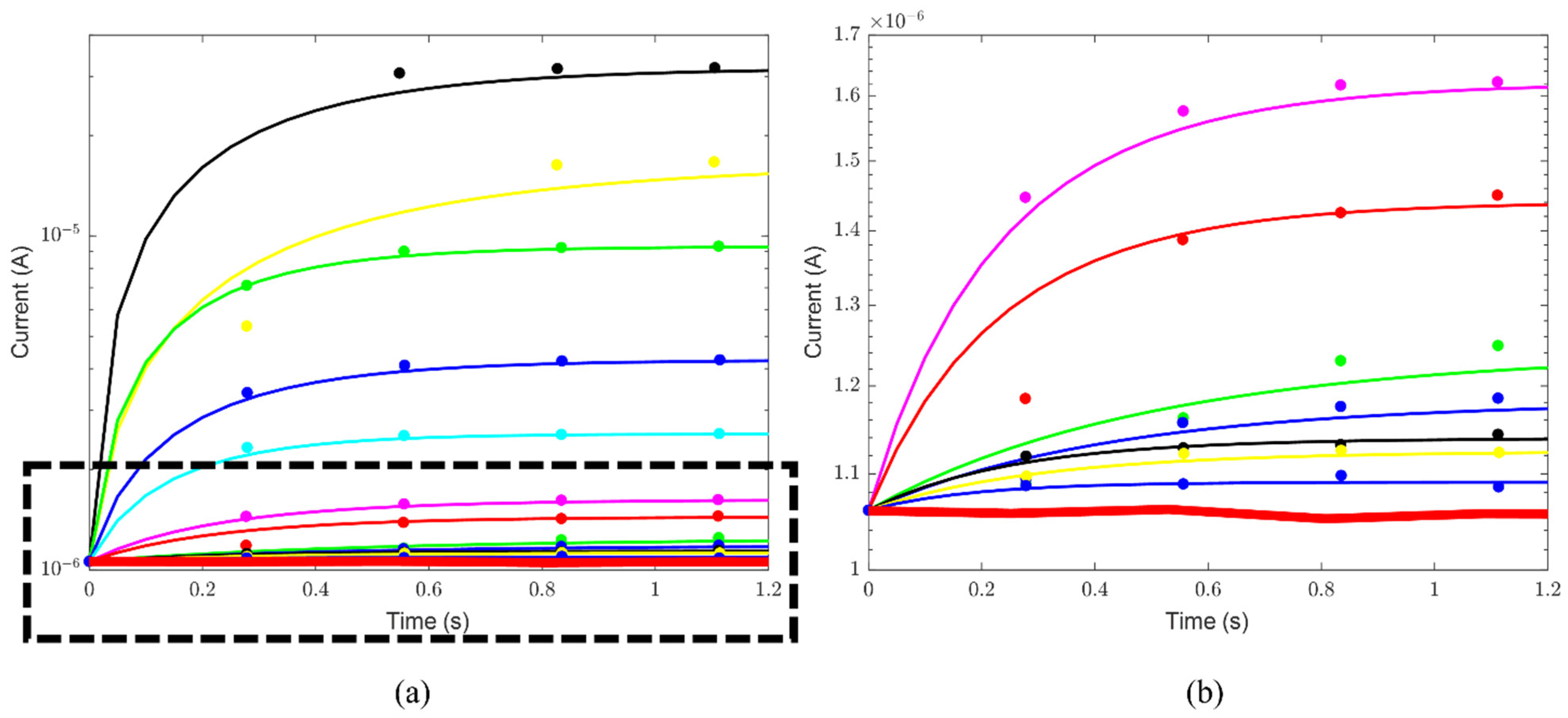
3. Results
4. Conclusions
Author Contributions
Funding
Institutional Review Board Statement
Informed Consent Statement
Data Availability Statement
Acknowledgments
Conflicts of Interest
References
- Champiat, D.; Matas, N.; Monfort, B.; Fraass, H. Applications of biochemiluminescence to HACCP. Luminescence 2001, 16, 193–198. [Google Scholar] [CrossRef]
- Hameed, S.; Xie, L.; Ying, Y. Conventional and emerging detection techniques for pathogenic bacteria in food science: A review. Trends Food Sci. Technol. 2018, 81, 61–73. [Google Scholar] [CrossRef]
- Ferone, M.; Gowen, A.; Fanning, S.; Scannell, A.G.M. Microbial detection and identification methods: Bench top assays to omics approaches. Compr. Rev. Food Sci. Food Saf. 2020, 19, 3106–3129. [Google Scholar] [CrossRef]
- Conn, R.B.; Charache, P.; Chappelle, W.E. Limits of applicability of the firefly luminescence ATP assay for the detection of bacteria in clinical specimens. Am. J. Clin. Pathol. 1975, 63, 493–501. [Google Scholar] [CrossRef]
- Turner, D.E.; Daugherity, E.K.; Altier, C.; Maurer, K.J. Efficacy and limitations of an ATP-based monitoring system. J. Am. Assoc. Lab. Anim. Sci. 2010, 49, 190–195. [Google Scholar]
- Jagrosse, D.; Bommarito, M.; Stahl, J.B. Monitoring the Cleaning of Surgical Instruments with an ATP Detection System. AJIC 2012, 40, 90–91. [Google Scholar] [CrossRef]
- Veiga-Malta, I. Preventing Healthcare-Associated Infections by Monitoring the Cleanliness of Medical Devices and Other Critical Points in a Sterilization Service. BI&T 2016, 50, 45–52. [Google Scholar] [CrossRef][Green Version]
- Coniglio, M.A.; Ferrante, M.; Yassin, M.H. Preventing Health care Associated Legionellosis: Results after 3 Years of Continuous Disinfection of Hot Water with Monochloramine and an Effective Water Safety Plan. Int. J. Environ. Res. Public Health 2018, 15, 1594. [Google Scholar] [CrossRef]
- Sciuto, E.L.; Laganà, P.; Filice, S.; Scalese, S.; Libertino, S.; Corso, D.; Faro, G.; Coniglio, M.A. Environmental management of Legionella in domestic water systems: Consolidated and innovative approaches for disinfection methods and risk assessment. Microorganisms 2021, 9, 577. [Google Scholar] [CrossRef]
- Sciuto, E.L.; Filice, S.; Coniglio, M.A.; Faro, G.; Gradon, L.; Galati, C.; Spinella, N.; Libertino, S.; Scalese, S. Antimicrobials s-PBC coatings for innovative multifunctional water filters. Molecules 2020, 25, 5196. [Google Scholar] [CrossRef] [PubMed]
- Filice, S.; Sciuto, E.L.; Scalese, S.; Faro, G.; Libertino, S.; Corso, D.; Timpanaro, R.M.; Laganà, P.; Coniglio, M.A. Innovative Antibiofilm Smart Surface against Legionella for Water Systems. Microorganims 2022, 10, 870. [Google Scholar] [CrossRef]
- Zeng, L.; Wang, L.; Hu, J. Current and Emerging Technologies for Rapid Detection of Pathogens. In Biosensing Technologies for the Detection of Pathogens—A Prospective Way for Rapid Analysis; InTech: London, UK, 2018. [Google Scholar] [CrossRef]
- Vasilescu, M.N.; Medvedovici, A.V. Pesticides. In Encyclopedia of Analytical Science, 2nd ed.; Worsfold, P., Townshend, A., Poole, C., Eds.; Elsevier: Amsterdam, The Netherlands, 2005; pp. 55–71. [Google Scholar] [CrossRef]
- Dincer, C.; Bruch, R.; Costa-Rama, E.; Fernández-Abedul, M.T.; Merkoçi, A.; Manz, A.; Urban, G.A.; Güder, F. Disposable Sensors in Diagnostics, Food, and Environmental Monitoring. Adv. Mater. 2019, 31, 1806739. [Google Scholar] [CrossRef]
- Ramírez-Castillo, F.; Loera-Muro, A.; Jacques, M.; Garneau, P.; Avelar-González, F.; Harel, J.; Guerrero-Barrera, A. Waterborne Pathogens: Detection Methods and Challenges. Pathogens 2015, 4, 307–334. [Google Scholar] [CrossRef]
- Saiki, R.K.; Scharf, S.; Faloona, F.; Mullis, K.B.; Horn, G.T.; Erlich, H.A.; Arnheim, N. Enzymatic amplification of beta-globin genomic sequences and restriction site analysis for diagnosis of sickle cell anemia. Science 1985, 230, 1350–1354. [Google Scholar] [CrossRef]
- Saiki, S.K.; Gelfand, D.H.; Stoffel, S.; Scharf, S.J.; Higuchi, R.; Horn, G.T.; Mullis, K.B.; Erlich, H.A. Primer-directed enzymatic amplification of DNA with a thermostable DNA polymerase. Science 1988, 239, 487–491. [Google Scholar] [CrossRef]
- Holland, P.M.; Abramson, R.D.; Watson, R.; Gelfand, D.H. Detection of specific polymerase chain reaction product by utilizing the 5′----3′ exonuclease activity of Thermus aquaticus DNA polymerase. Proc. Natl. Acad. Sci. USA 1991, 88, 7276–7280. [Google Scholar] [CrossRef] [PubMed]
- Higuchi, R.; Dollinger, G.; Walsh, P.S.; Griffith, R. Simultaneous amplification and detection of specific DNA sequences. Bio/Technology 1992, 10, 413–417. [Google Scholar] [CrossRef]
- Notomi, T.; Okayama, H.; Masubuchi, H.; Yonekawa, T.; Watanabe, K.; Amino, N.; Hase, T. Loop-mediated isothermal amplification of DNA. Nucleic Acids Res. 2000, 28, 63e. [Google Scholar] [CrossRef]
- Alonso-Padilla, J.; Cortés-Serra, N.; Pinazo, M.J.; Bottazzi, M.E.; Abril, M.; Barreira, F.; Sosa-Estani, S.; Hotez, P.J.; Gascón, J. Strategies to enhance access to diagnosis and treatment for Chagas disease patients in Latin America. Expert Rev. Anti-Infect. Ther. 2019, 17, 145–157. [Google Scholar] [CrossRef]
- Caruso, G.; Coniglio, M.A.; Laganà, P.; Fasciana, T.; Arcoleo, G.; Arrigo, I.; Di Carlo, P.; Palermo, M.; Giammanco, A. Validation of a Loop-Mediated Isothermal Amplification-Based Kit for the Detection of Legionella pneumophila in Environmental Samples according to ISO/TS 12869:2012. Microorganisms 2024, 12, 961. [Google Scholar] [CrossRef]
- Karami, A.; Gill, P.; Motamedi, M.H.K.; Saghafinia, M. A review of the current isothermal amplification techniques: Applications, advantages and disadvantages. J. Glob. Infect. Dis. 2011, 3, 293. [Google Scholar] [CrossRef]
- Castillo-Henríquez, L.; Brenes-Acuña, M.; Castro-Rojas, A.; Cordero-Salmerón, R.; Lopretti-Correa, M.; Vega-Baudrit, J.R. Biosensors for the Detection of Bacterial and Viral Clinical Pathogens. Sensors 2020, 20, 6926. [Google Scholar] [CrossRef]
- Liu, S.; Zhao, J.; Guo, Y.; Ma, X.; Sun, C.; Cai, M.; Chib, Y.; Xu, K. Application of ATP-based bioluminescence technology in bacterial detection: A review. Analyst 2023, 148, 3452. [Google Scholar] [CrossRef]
- Brolin, S.E.; Wettermark, G. Bioluminescence Analysis; VCH: New York, NY, USA, 1992. [Google Scholar]
- Ahn, J.M.; Kim, B.C.; Gu, M.B. Characterization of gltA: luxCDABE fusion in Escherichia coli as a toxicity biosensor. Biotechnol. Bioprocess Eng. 2006, 11, 516–521. [Google Scholar] [CrossRef]
- Morciano, G.; Sarti, A.C.; Marchi, S.; Missiroli, S.; Falzoni, S.; Raffaghello, L.; Pistoia, V.; Giorgi, C.; Di Virgilio, F.; Pinton, P. Use of luciferase probes to measure ATP in living cells and animals. Nat. Protoc. 2017, 12, 1542–1562. [Google Scholar] [CrossRef]
- Min, J. 17β-Estradiol-stimulated eNOS gene transcriptional activation is regulated through the estrogen-responsive element in eNOS promoter. Biotechnol. Bioprocess Eng. 2007, 12, 446–449. [Google Scholar] [CrossRef]
- Tanii, T.; Goto, T.; Iida, T.; Koh-Masahara, M.; Ohdomari, I. Fabrication of adenosine triphosphate-molecule recognition chip by means of bioluminous enzyme luciferase. Jpn. J. Appl. Phys. 2001, 40, 1135–1137. [Google Scholar] [CrossRef]
- Santangelo, M.F.; Libertino, S.; Turner, A.P.F.; Filippini, D.; Mak, W.C. Integrating printed microfluidics with silicon photomultipliers for miniaturised and highly sensitive ATP bioluminescence detection. Biosens. Bioelectron. 2018, 99, 464–470. [Google Scholar] [CrossRef]
- Comina, G.; Suska, A.; Filippini, D. Low-cost lab-on-a-chip prototyping with a consumer grade 3D printer. Lab. Chip. 2014, 14, 2978–2982. [Google Scholar] [CrossRef] [PubMed]
- Comina, G.; Suska, A.; Filippini, D. 3D printed unibody lab-on-a-chip: Features survey and check-valves integration. Micromachines 2015, 6, 437–451. [Google Scholar] [CrossRef]
- Comina, G.; Suska, A.; Filippini, D. Autonomous chemical sensing interface for universal cell phone readout. Angew. Chem. 2015, 54, 8708–8712. [Google Scholar] [CrossRef]
- Sciacca, E.; Giudice, A.C.; Sanfilippo, D.; Zappa, F.; Lombardo, S.; Consentino, R.; Di Franco, C.; Ghioni, M.; Fallica, G.; Bonanno, G.; et al. Silicon planar technology for single-photon optical detectors. IEEE Trans. Electron Devices 2003, 50, 918–925. [Google Scholar] [CrossRef]
- Mazzillo, M.; Condorelli, G.; Piazza, A.; Sanfilippo, D.; Valvo, G.; Carbone, B.; Fallica, G.; Billotta, S.; Belluso, M.; Bonanno, G.; et al. Single-photon avalanche photodiodes with integrated quenching resistor. Nucl. Instrum. Methods Phys. Res. Sect. A 2008, 591, 367–373. [Google Scholar] [CrossRef]
- Mazzillo, M.; Condorelli, G.; Sanfilippo, D.; Valvo, G.; Carbone, B.; Fallica, G.; Billotta, S.; Belluso, M.; Bonanno, G.; Cosentino, L.; et al. Silicon photomultiplier technology at stmicroelectronics. IEEE Trans. Nucl. Sci. 2009, 56, 2434. [Google Scholar] [CrossRef]
- Pagano, R.; Valvo, G.; Sanfilippo, D.; Libertino, S.; Corso, D.; Fallica, P.G.; Lombardo, S. Silicon photomultiplier device architecture with dark current improved to the ultimate physical limit. Appl. Phys. Lett. 2013, 102, 183502. [Google Scholar] [CrossRef]
- Hu, Z.; Zhang, D.; Lin, H.; Ni, H.; Li, H.; Guan, Y.; Jin, Q.; Wu, Y.; Guo, Z. Low-cost portable bioluminescence detector based on silicon photomultiplier for on-site colony detection. Anal. Chim. Acta 2021, 1185, 339080. [Google Scholar] [CrossRef]
- ATP Kit SL. Available online: https://biothema.com/shop/kits/atp-kit-sl/ (accessed on 20 May 2024).
- 2nd Generation ATP® Testing. Available online: https://www.luminultra.com/tech/2nd-generation-atp (accessed on 29 April 2024).
- Adenosine-5′-triphosphate. Available online: https://pubchem.ncbi.nlm.nih.gov/compound/Adenosine-5_-triphosphate (accessed on 29 April 2024).
- Welcometo Smarter ATP Hygiene Monitoring. Available online: https://www.hygiena.com/documents/64121/implementation-guide-for-ensure-touch.pdf (accessed on 20 May 2024).
- Silicon Photomultipliers (SiPM), High PDE and Timing Resolution Sensors in a TSV Package. Available online: https://www.onsemi.com/pdf/datasheet/microj-series-d.pdf (accessed on 29 April 2024).
- Lundin, A. Use of firefly luciferase in ATP-related assays of biomass, enzymes, and metabolites. Methods Enzymol. 2000, 305, 346–370. [Google Scholar] [CrossRef]
- Molecular Probes. ATP Determination Kit (A22066). Product Information. 2005. Available online: https://assets.thermofisher.com/TFS-Assets%2FLSG%2Fmanuals%2Fmp22066.pdf (accessed on 29 April 2024).
- Conti, E.; Franks, N.P.; Brick, P. Crystal structure of firefly luciferase throws light on a superfamily of adenylate-forming enzymes. Structure 1996, 4, 287–298. [Google Scholar] [CrossRef]
- Viscosity of Water. Available online: https://wiki.anton-paar.com/be-en/water/ (accessed on 13 May 2024).
- Erickson, H.P. Size and Shape of Protein Molecules at the Nanometer Level Determined by Sedimentation, Gel Filtration, and Electron Microscopy. Biol. Proced. Online 2009, 11, 32. [Google Scholar] [CrossRef]
- Cruickshank, M.C. The Stokes-Einstein law for diffusion in solution. Proc. R. Soc. London. Ser. A 1924, 106, 724–749. [Google Scholar] [CrossRef]
- Armbruster, D.A.; Tillman, M.D.; Hubbs, L.M. Limit of detection (LQD)/limit of quantitation (LOQ): Comparison of the empirical and the statistical methods. Clin. Chem. 1994, 40 Pt 1, 1233–1238. [Google Scholar] [CrossRef] [PubMed]
- Test Kit Instructions. Available online: https://biotechnologysolutions.com/wp-content/uploads/2016/11/LuminUltra-Test-Kit-Instructions-QGA.pdf (accessed on 29 April 2024).







Disclaimer/Publisher’s Note: The statements, opinions and data contained in all publications are solely those of the individual author(s) and contributor(s) and not of MDPI and/or the editor(s). MDPI and/or the editor(s) disclaim responsibility for any injury to people or property resulting from any ideas, methods, instructions or products referred to in the content. |
© 2024 by the authors. Licensee MDPI, Basel, Switzerland. This article is an open access article distributed under the terms and conditions of the Creative Commons Attribution (CC BY) license (https://creativecommons.org/licenses/by/4.0/).
Share and Cite
Capuano, G.E.; Corso, D.; Farina, R.; Pezzotti Escobar, G.; Screpis, G.A.; Coniglio, M.A.; Libertino, S. Miniaturizable Chemiluminescence System for ATP Detection in Water. Sensors 2024, 24, 3921. https://doi.org/10.3390/s24123921
Capuano GE, Corso D, Farina R, Pezzotti Escobar G, Screpis GA, Coniglio MA, Libertino S. Miniaturizable Chemiluminescence System for ATP Detection in Water. Sensors. 2024; 24(12):3921. https://doi.org/10.3390/s24123921
Chicago/Turabian StyleCapuano, Giuseppe E., Domenico Corso, Roberta Farina, Gianni Pezzotti Escobar, Giuseppe A. Screpis, Maria Anna Coniglio, and Sebania Libertino. 2024. "Miniaturizable Chemiluminescence System for ATP Detection in Water" Sensors 24, no. 12: 3921. https://doi.org/10.3390/s24123921
APA StyleCapuano, G. E., Corso, D., Farina, R., Pezzotti Escobar, G., Screpis, G. A., Coniglio, M. A., & Libertino, S. (2024). Miniaturizable Chemiluminescence System for ATP Detection in Water. Sensors, 24(12), 3921. https://doi.org/10.3390/s24123921

