A Performance Comparison of 3D Survey Instruments for Their Application in the Cultural Heritage Field
Abstract
1. Introduction
2. Materials and Methods
2.1. Samples
2.2. Structured-Light Topography: EinScanPro 2x
2.3. Structured-Light Topography: MICRON3D Color
2.4. Phase-Modulation Technique
2.5. Laser-Scanning Micro-Profilometry
3. Results
3.1. Three-Dimensional Data Quality Comparison
3.2. Profiling
3.2.1. Plaster Statue
3.2.2. Canvas Samples
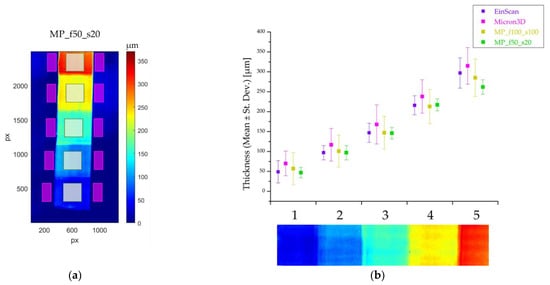
3.2.3. Acrylic Paint Mock-Up
4. Discussion
5. Conclusions
Author Contributions
Funding
Institutional Review Board Statement
Informed Consent Statement
Data Availability Statement
Conflicts of Interest
References
- Helle, R.H.; Lemu, H.G. A Case Study on Use of 3D Scanning for Reverse Engineering and Quality Control. Mater. Today Proc. 2021, 45, 5255–5262. [Google Scholar] [CrossRef]
- Tarolli, P. High-Resolution Topography for Understanding Earth Surface Processes: Opportunities and Challenges. Geomorphology 2014, 216, 295–312. [Google Scholar] [CrossRef]
- Fu, B.; Damer, N. Biometric Recognition in 3D Medical Images: A Survey. IEEE Access 2023, 11, 125601–125615. [Google Scholar] [CrossRef]
- Carew, R.M.; French, J.; Morgan, R.M. 3D Forensic Science: A New Field Integrating 3D Imaging and 3D Printing in Crime Reconstruction. Forensic Sci. Int. Synerg. 2021, 3, 100205. [Google Scholar] [CrossRef] [PubMed]
- Eilola, S.; Jaalama, K.; Kangassalo, P.; Nummi, P.; Staffans, A.; Fagerholm, N. 3D Visualisations for Communicative Urban and Landscape Planning: What Systematic Mapping of Academic Literature Can Tell Us of Their Potential? Landsc. Urban Plan. 2023, 234, 104716. [Google Scholar] [CrossRef]
- Tribhuvan, A.P. Preserving Our Past: A Thorough Examination of Methods and Technologies in Digital Heritage. Preprints 2024, 2024051185. [Google Scholar] [CrossRef]
- Sansoni, G.; Trebeschi, M.; Docchio, F. State-of-The-Art and Applications of 3D Imaging Sensors in Industry, Cultural Heritage, Medicine, and Criminal Investigation. Sensors 2009, 9, 568–601. [Google Scholar] [CrossRef]
- Alshawabkeh, Y.; El-Khalili, M.; Almasri, E.; Bala’awi, F.; Al-Massarweh, A. Heritage Documentation Using Laser Scanner and Photogrammetry. The Case Study of Qasr Al-Abidit, Jordan. Digit. Appl. Archaeol. Cult. Herit. 2020, 16, e00133. [Google Scholar] [CrossRef]
- Remondino, F. Heritage Recording and 3D Modeling with Photogrammetry and 3D Scanning. Remote Sens. 2011, 3, 1104–1138. [Google Scholar] [CrossRef]
- Moons, T.; Van Gool, L.; Vergauwen, M. 3D Reconstruction from Multiple Images Part 1: Principles. Found. Trends® Comput. Graph. Vis. 2008, 4, 287–404. [Google Scholar] [CrossRef]
- Pietroni, E.; Ferdani, D. Virtual Restoration and Virtual Reconstruction in Cultural Heritage: Terminology, Methodologies, Visual Representation Techniques and Cognitive Models. Information 2021, 12, 167. [Google Scholar] [CrossRef]
- Pamart, A.; Abergel, V.; De Luca, L.; Veron, P. Toward a Data Fusion Index for the Assessment and Enhancement of 3D Multimodal Reconstruction of Built Cultural Heritage. Remote Sens. 2023, 15, 2408. [Google Scholar] [CrossRef]
- Wang, Q.; Tan, Y.; Mei, Z. Computational Methods of Acquisition and Processing of 3D Point Cloud Data for Construction Applications. Arch. Comput. Methods Eng. 2020, 27, 479–499. [Google Scholar] [CrossRef]
- San José Alonso, J.I.; Martínez Rubio, J.; Fernández Martín, J.J.; García Fernández, J. Comparing time-of-flight and phase-shift. The survey of the royal pantheon in the basilica of San Isidoro (León). Int. Arch. Photogramm. Remote Sens. Spat. Inf. Sci. 2012, 38, 377–385. [Google Scholar] [CrossRef]
- Galeazzi, F. Towards the Definition of Best 3D Practices in Archaeology: Assessing 3D Documentation Techniques for Intra-Site Data Recording. J. Cult. Herit. 2016, 17, 159–169. [Google Scholar] [CrossRef]
- Kwoczynska, B.; Litwin, U.; Piech, I.; Obirek, P.; Sledz, J. The Use of Terrestrial Laser Scanning in Surveying Historic Buildings. In Proceedings of the 2016 Baltic Geodetic Congress (BGC Geomatics), Gdansk, Poland, 2–4 June 2016; pp. 263–268. [Google Scholar]
- Balloni, E.; Gorgoglione, L.; Paolanti, M.; Mancini, A.; Pierdicca, R. Few shot photogrametry: A comparison between NeRF and MVS-SFM for the documentation of cultural heritage. Int. Arch. Photogramm. Remote Sens. Spat. Inf. Sci. 2023, 48, 155–162. [Google Scholar] [CrossRef]
- Akca, D.; Remondino, F.; Novák, D.; Hanusch, T.; Schrotter, G.; Gruen, A. Performance Evaluation of a Coded Structured Light System for Cultural Heritage Applications. In Videometrics IX, Proceedings of the Electronic Imaging 2007, San Jose, CA, USA, 28 January–1 February 2007; Beraldin, J.-A., Remondino, F., Shortis, M.R., Eds.; SPIE: Bellingham, WA, USA, 2007; p. 64910V. [Google Scholar] [CrossRef]
- Bell, T.; Li, B.; Zhang, S. Structured Light Techniques and Applications. In Wiley Encyclopedia of Electrical and Electronics Engineering; Webster, J.G., Ed.; Wiley: Hoboken, NJ, USA, 2016; pp. 1–24. ISBN 978-0-471-34608-1. [Google Scholar]
- Akca, D.; Grün, A.; Alkis, Z.; Demir, N.; Breuckmann, B.; Erduyan, I.; Nadir, E. 3D Modeling of the Weary Herakles Statue with a Coded Structured Light System. IAPRS 2006, 36, 14–19. [Google Scholar] [CrossRef]
- McPherron, S.P.; Gernat, T.; Hublin, J.-J. Structured Light Scanning for High-Resolution Documentation of In Situ Archaeological Finds. J. Archaeol. Sci. 2009, 36, 19–24. [Google Scholar] [CrossRef]
- Palma, G.; Pingi, P.; Siotto, E.; Bellucci, R.; Guidi, G.; Scopigno, R. Deformation Analysis of Leonardo Da Vinci’s “Adorazione Dei Magi” through Temporal Unrelated 3D Digitization. J. Cult. Herit. 2019, 38, 174–185. [Google Scholar] [CrossRef]
- Mazzocato, S.; Daffara, C. Experiencing the Untouchable: A Method for Scientific Exploration and Haptic Fruition of Artworks Microsurface Based on Optical Scanning Profilometry. Sensors 2021, 21, 4311. [Google Scholar] [CrossRef]
- Dal Fovo, A.; Striova, J.; Pampaloni, E.; Fontana, R. Unveiling the Invisible in Uffizi Gallery’s Drawing 8P by Leonardo with Non-Invasive Optical Techniques. Appl. Sci. 2021, 11, 7995. [Google Scholar] [CrossRef]
- Mazzocato, S.; Cimino, D.; Daffara, C. Integrated Microprofilometry and Multispectral Imaging for Full-Field Analysis of Ancient Manuscripts. J. Cult. Herit. 2024, 66, 110–116. [Google Scholar] [CrossRef]
- Dal Fovo, A.; Martínez-Weinbaum, M.; Oujja, M.; Castillejo, M.; Fontana, R. Reflectance Spectroscopy as a Novel Tool for Thickness Measurements of Paint Layers. Molecules 2023, 28, 4683. [Google Scholar] [CrossRef] [PubMed]
- Vasiljević, I.; Obradović, R.; Đurić, I.; Popkonstantinović, B.; Budak, I.; Kulić, L.; Milojević, Z. Copyright Protection of 3D Digitized Artistic Sculptures by Adding Unique Local Inconspicuous Errors by Sculptors. Appl. Sci. 2021, 11, 7481. [Google Scholar] [CrossRef]
- Morena, S.; Barba, S.; Álvaro-Tordesillas, A. Shining 3D Einscan-Pro, application and validation in the field of cultural heritage, from the Chillida-Leku Museum to the Archaeological Museum of Sarno. Int. Arch. Photogramm. Remote Sens. Spat. Inf. Sci. 2019, 42, 135–142. [Google Scholar] [CrossRef]
- Einscan.com. Available online: https://www.einscan.com/wp-content/uploads/2020/05/EinScan-Pro-2X-Quick-Guide-1112.pdf (accessed on 27 March 2024).
- Lewandowski, M.; Kubik, H.; Gębarski, K. 3D Scanning of the Painting for the Purpose of Performing a Measurement of Deformations of the Wooden Panel Painting Support. Adv. Technol. Mech. 2017, 3, 26. [Google Scholar] [CrossRef] [PubMed]
- Smarttech3dscanner.com. Available online: https://smarttech3dscanner.com/wp-content/uploads/2021/03/MICRON3D_color_katalog_ang_v1.pdf (accessed on 27 July 2023).
- Pulcrano, M.; Scandurra, S.; Minin, G.; Di Luggo, A. 3D cameras acquisitions for the documentation of cultural heritage. Int. Arch. Photogramm. Remote Sens. Spat. Inf. Sci. 2019, 42, 639–646. [Google Scholar] [CrossRef]
- Adamopoulos, E.; Rinaudo, F.; Ardissono, L. A Critical Comparison of 3D Digitization Techniques for Heritage Objects. ISPRS Int. J. Geo-Inf. 2020, 10, 10. [Google Scholar] [CrossRef]
- Media.faro.com. Available online: https://media.faro.com/-/media/Project/FARO/FARO/FARO/Resources/1_BROCHURE/2022/FARO-Sphere/AEC_Focus-Premium/3154_Brochure_FocusPremium_AEC_ITA_A4.pdf?rev=85dfa574707b4100994fff2644294562 (accessed on 27 March 2024).
- Fontana, R.; Gambino, M.C.; Greco, M.; Marras, L.; Materazzi, M.; Pampaloni, E.; Pezzati, L. High-Precision Surface Analysis of the Roughness of Michelangelo’s David. In Proceedings of the Optical Metrology for Arts and Multimedia; SPIE: Bellingham, WA, USA, 2003; Volume 5146, pp. 236–243. [Google Scholar] [CrossRef]
- Carcagni, P.; Daffara, C.; Fontana, R.; Gambino, M.C.; Mastroianni, M.; Mazzotta, C.; Pampaloni, E.; Pezzati, L. Optical Micro-Profilometry for Archaeology. In Proceedings of the Optical Methods for Arts and Archaeology; SPIE: Bellingham, WA, USA, 2005; Volume 5857, pp. 118–128. [Google Scholar] [CrossRef]
- Moyano, J.; Nieto-Julián, J.E.; Bienvenido-Huertas, D.; Marín-García, D. Validation of Close-Range Photogrammetry for Architectural and Archaeological Heritage: Analysis of Point Density and 3D Mesh Geometry. Remote Sens. 2020, 12, 3571. [Google Scholar] [CrossRef]
- Karami, A.; Menna, F.; Remondino, F. Combining Photogrammetry and Photometric Stereo to Achieve Precise and Complete 3D Reconstruction. Sensors 2022, 22, 8172. [Google Scholar] [CrossRef]
- Malowany, K.; Tymińska-Widmer, L.; Malesa, M.; Kujawińska, M.; Targowski, P.; Rouba, B.J. Application of 3D Digital Image Correlation to Track Displacements and Strains of Canvas Paintings Exposed to Relative Humidity Changes. Appl. Opt. 2014, 53, 1739. [Google Scholar] [CrossRef] [PubMed]












| EinScan Pro 2x | MICRON3D Color | FARO Focus Premium | ConoPoint-10 | |||
|---|---|---|---|---|---|---|
![]() | ![]() | ![]() | ![]() | |||
| Focal length | / | / | / | 50 mm | 100 mm | 200 mm |
| Spot diameter * | / | / | / | 37 µm | 63 µm | 105 µm |
| Field of view | / | 30 cm × 40 cm | 300° vertical/ 360° horizontal (0.009° sampling step) | / | / | / |
| Working distance | 510 mm | 70 cm | / | 44 mm | 95 mm | 200 mm |
| Depth of field | 200 mm | 20 cm | 0.5–350 m | 8 mm | 35 mm | 125 mm |
| Reproducibility (dynamic) | / | / | / | 1 µm | 4 µm | 25 µm |
| Accuracy | 0.04 mm | 60 µm | 2 mm | 6 µm | 15 µm | 70 µm |
| Distance between points | 0.16 mm | 80 µm | 1.5 mm (scanning dist. 10 m) | =sampling step | ||
| Point density | / | 150 pp/mm2 | / | / | / | / |
| Scan efficiency | Better than 0.5 s | / | / | / | / | / |
| Sample | Focal Length (mm) | Sampling Step (µm) | Scanned Area (mm2) | Acquisition Time (min) |
|---|---|---|---|---|
| Acrylic paint mock-up | 50 | 20 | 53 × 50 | 75 |
| 50 | 125 × 260 | 184 | ||
| 100 | 53 × 50 | 15 | ||
| 100 | 50 | 53 × 50 | 30 | |
| 100 | 15 | |||
| 200 | 7 | |||
| 200 | 100 | 53 × 50 | 15 | |
| Canvases 1 and 3 | 50 | 20 | 55 × 108 | 120 |
| 50 | 51 | |||
| 100 | 25 | |||
| 100 | 50 | 51 | ||
| 100 | 25 | |||
| 200 | 12 | |||
| 200 | 100 | 25 | ||
| Canvas 2 | 50 | 20 | 60 × 60 | 90 |
| 50 | 36 | |||
| 100 | 18 | |||
| 100 | 50 | 36 | ||
| 100 | 18 | |||
| 200 | 10 | |||
| 200 | 100 | 18 | ||
| Plaster statue | 100 | 50 | 75 × 130 | 80 |
| 200 | 20 | |||
| 200 | 100 | 41 |
| Micro-Profilometer | MICRON3D | EinScan | FARO Focus | |||||
|---|---|---|---|---|---|---|---|---|
| f50 | f100 | |||||||
| s20 | s50 | s100 | s200 | |||||
| Acrylic paint mock-up | Sampled area (mm2) | 53 × 50 | ||||||
| N. points | 6,593,830 | 1,208,797 | 263,375 | 65,076 | 341,174 | 80,174 | 91,783 | |
| Density (pp/mm2) | 2539 ± 88 | 441 ± 14 | 110 ± 4 | 25 ± 1 | 127 ± 8 | 27 ± 2 | 25 ± 5 | |
| Canvases 1 and 3 | Sampled area (mm2) | 55 × 108 | ||||||
| N. points | 14,848,389 | 2,376,866 | 595,395 | 149,302 | 771,558 | 152,992 | 206,430 | |
| Density (pp/mm2) | 2368 ± 212 | 381 ± 34 | 95 ± 9 | 24 ± 3 | 125 ± 11 | 26 ± 2 | 27 ± 5 | |
| Canvas 2 | Sampled area (mm2) | 60 × 60 | ||||||
| N. points | 9,005,771 | 1,442,398 | 361,162 | 90,592 | 535,987 | 101,398 | 121,415 | |
| Density (pp/mm2) | 2448 ± 178 | 375 ± 25 | 95 ± 7 | 24 ± 2 | 145 ± 10 | 27 ± 1 | 30 ± 3 | |
| Plaster statue | Sampled area (mm2) | 30 × 30 | ||||||
| N. points | N.A. | N.A. | N.A. | 25,939 | 187,209 | 35,199 | 58,362 | |
| Density (pp/mm2) | N.A. | N.A. | N.A. | 19 ± 6 | 134 ± 16 | 27 ± 6 | 35 ± 11 | |
| Thickness (Mean ± St. Dev.) [µm] | ||||||
|---|---|---|---|---|---|---|
| Pigment’s Region | 1 | 2 | 3 | 4 | 5 | |
| Instrument/ Theoretical Value | ||||||
| MP_f50_s20 | 47 ± 13 | 97 ± 18 | 146 ± 14 | 217 ± 15 | 262 ± 18 | |
| EinScan | 49 ± 28 | 97 ± 28 | 147 ± 24 | 216 ± 24 | 297 ± 38 | |
| MICRON3D | 70 ± 31 | 117 ± 41 | 168 ± 49 | 238 ± 42 | 315 ± 46 | |
| MP_f100_s100 | 57 ± 40 | 101 ± 40 | 147 ± 41 | 213 ± 43 | 285 ± 47 | |
| Theoretical value | 50 | 100 | 150 | 200 | 250 | |
Disclaimer/Publisher’s Note: The statements, opinions and data contained in all publications are solely those of the individual author(s) and contributor(s) and not of MDPI and/or the editor(s). MDPI and/or the editor(s) disclaim responsibility for any injury to people or property resulting from any ideas, methods, instructions or products referred to in the content. |
© 2024 by the authors. Licensee MDPI, Basel, Switzerland. This article is an open access article distributed under the terms and conditions of the Creative Commons Attribution (CC BY) license (https://creativecommons.org/licenses/by/4.0/).
Share and Cite
Lunghi, I.; Vannini, E.; Dal Fovo, A.; Di Sarno, V.; Rocco, A.; Fontana, R. A Performance Comparison of 3D Survey Instruments for Their Application in the Cultural Heritage Field. Sensors 2024, 24, 3876. https://doi.org/10.3390/s24123876
Lunghi I, Vannini E, Dal Fovo A, Di Sarno V, Rocco A, Fontana R. A Performance Comparison of 3D Survey Instruments for Their Application in the Cultural Heritage Field. Sensors. 2024; 24(12):3876. https://doi.org/10.3390/s24123876
Chicago/Turabian StyleLunghi, Irene, Emma Vannini, Alice Dal Fovo, Valentina Di Sarno, Alessandra Rocco, and Raffaella Fontana. 2024. "A Performance Comparison of 3D Survey Instruments for Their Application in the Cultural Heritage Field" Sensors 24, no. 12: 3876. https://doi.org/10.3390/s24123876
APA StyleLunghi, I., Vannini, E., Dal Fovo, A., Di Sarno, V., Rocco, A., & Fontana, R. (2024). A Performance Comparison of 3D Survey Instruments for Their Application in the Cultural Heritage Field. Sensors, 24(12), 3876. https://doi.org/10.3390/s24123876





