Cosmo ArduSiPM: An All-in-One Scintillation-Based Particle Detector for Earth and Space Application
Abstract
1. Introduction
2. The Cosmo ArduSiPM Architecture
Microcontroller Selection
3. Overview of the Discrete Analog Functional Blocks of ArduSiPM
3.1. Power Converter
3.2. 1-Wire Thermometer
3.3. Low-Noise Voltage Amplifier
3.4. Fast Discriminator
3.5. Peak Hold
3.6. Communication Interfaces
3.7. LED Indicators
3.8. PC/104 PCB Layout
4. Assessing Cosmo ArduSiPM: Overview of Electronics Performance, SiPM Noise Characterization, and Response to Various Photon Fluxes
4.1. Electrical Test
4.1.1. The Maximum Counting Rate
4.1.2. Gain and Front-End Stage Linearity
4.1.3. ADC Linearity and Offset Compensation
4.2. Optical Test
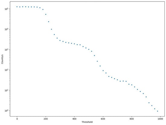
4.2.1. SiPM Dark Count Evaluation and Dependency of the Threshold
4.2.2. The Maximum Counting Rate in the Optical Bench
4.2.3. ADC Signal Amplitude Spectrum
4.2.4. Comparison between Threshold Scan Technique and ADC Measurements for Few Photon Light Signals
5. Preliminary Test of the System as Spectrometer
6. Conclusions
Author Contributions
Funding
Institutional Review Board Statement
Informed Consent Statement
Data Availability Statement
Acknowledgments
Conflicts of Interest
Abbreviations
| ADC | Analog-to-Digital Converter |
| ARM | Advanced RISC Machine |
| CPU | Central Processing Unit |
| DCR | Dark Count Rate |
| DAC | Digital-to-Analog Converter |
| HV | High Voltage |
| IoT | Internet of Things |
| JEM-EUSO | Extreme Universe Space Observatory |
| LHC | Large Hadron Collider |
| LNA | Low-Noise Amplifier |
| MCPS | Mega Counts Per Second |
| MCU | Microcontroller Unit |
| MMCX | Micro-Miniature Coaxial |
| PCB | Printed Circuit Board |
| PMT | Photomultiplier Tubes |
| RT | Radiation Tolerant |
| SEL | Single-Event Latch-up |
| SEU | Single-Event Upset |
| SiPM | Silicon Photomultiplier |
| SNR | Signal-to-Noise Ratio |
| SoC | System on Chip |
| TID | Total Ionizing Dose |
| ToA | Time of Arrival |
| TTL | Transistor–Transistor Logic |
References
- Gundacker, S.; Heering, A. The silicon photomultiplier: Fundamentals and applications of a modern solid-state photon detector. Phys. Med. Biol. 2020, 65, 17TR01. [Google Scholar] [CrossRef] [PubMed]
- Bocci, V.; Chiodi, G.; Iacoangeli, F.; Nuccetelli, M.; Recchia, L. The ArduSiPM a compact transportable Software/Hardware Data Acquisition system for SiPM detector. In Proceedings of the 2014 IEEE Nuclear Science Symposium and Medical Imaging Conference (NSS/MIC), Seattle, WA, USA, 8–15 November 2014; pp. 1–5. [Google Scholar] [CrossRef]
- Yamamoto, K.; Nagano, T.; Yamada, R.; Ito, T.; Ohashi, Y. Recent Development of MPPC at Hamamatsu for Photon Counting Applications. In Proceedings of the 5th International WOrkshop on the New Photon-Detectors (PD18), Tokyo, Japan, 27–29 November 2018. [Google Scholar] [CrossRef]
- Axani, S.N.; Conrad, J.M.; Kirby, C. The desktop muon detector: A simple, physics-motivated machine- and electronics-shop project for university students. Am. J. Phys. 2017, 85, 948–958. [Google Scholar] [CrossRef]
- Lavelle, C.M. Gamma ray spectroscopy with Arduino UNO. Am. J. Phys. 2018, 86, 384–394. [Google Scholar] [CrossRef]
- Topkar, A.; Singh, A.; Aggarwal, B.; Chakraborty, S.; Kumar, A. Development of Silicon Photomultiplier sensors using a 180 nm custom CMOS process technology. J. Instrum. 2020, 15, P03032. [Google Scholar] [CrossRef]
- Buonanno, L.; Vita, D.D.; Carminati, M.; Camera, F.; Fiorini, C. Miniaturized USB-powered multi-channel module for gamma spectroscopy and imaging. Rev. Sci. Instrum. 2021, 92, 063306. [Google Scholar] [CrossRef] [PubMed]
- Lee, J.; Lee, M.S.; Jang, M.; Lim, J.M. Comparison of Arduino Nano and Due processors for time-based data acquisition for low-cost mobile radiation detection system. J. Instrum. 2022, 17, P03015. [Google Scholar] [CrossRef]
- Nicolae, M.Ş; Nicolae, I.D.; Nicolae, R.C.; Nicolae, P.M. Remote Monitoring of Environment Radiation with Arduino Wemos and Geiger Counter Sensors. In Proceedings of the 2023 Power Quality and Electromagnetic Compatibility at Low Frequency (PQEMC-LF), Craiova, Romania, 28–30 June 2023; pp. 77–80. [Google Scholar] [CrossRef]
- Köhli, M.; Weimar, J.; Schmidt, S.; Schmidt, F.P.; Lambertz, A.; Weber, L.; Kaminski, J.; Schmidt, U. Arduino-Based Readout Electronics for Nuclear and Particle Physics. Sensors 2024, 24, 2935. [Google Scholar] [CrossRef] [PubMed]
- Bocci, V.; Babar, A.; Badoni, D.; Casolino, M.; Chiodi, G.; Iacoangeli, F.; Kubler, D.; Marcelli, L.; Rebustini, G.; Reali, E.; et al. ArduSiPM technology: Compact and light All-in-one detectors for space application. Nucl. Instrum. Methods Phys. Res. Sect. (NIM A) 2023, 1053, 1683331–1683335. [Google Scholar] [CrossRef]
- Gieseler, J.; Oleynik, P.; Hietala, H.; Vainio, R.; Hedman, H.P.; Peltonen, J.; Punkkinen, A.; Punkkinen, R.; Säntti, T.; Hæggström, E.; et al. Radiation monitor RADMON aboard Aalto-1 CubeSat: First results. Adv. Space Res. 2020, 66, 52–65. [Google Scholar] [CrossRef]
- Coronetti, A.; Zimmaro, A.; Slipukhin, I.; Danzeca, R.G.; Masi, A.; Amodio, A.; Dijks, J.; Peronnard, P.; Secondo, R.; Brugger, M.; et al. The CELESTA CubeSat In-Flight Radiation Measurements and their Comparison with Ground Facilities Predictions. IEEE Trans. Nucl. Sci. 2019, 66, 1753–1760. [Google Scholar] [CrossRef]
- piDOSE-DCD—Digital CubeSat Dosimeter. Available online: https://satsearch.co/products/skyfox-labs-pidose-dcd-digital-cubesat-dosimeter (accessed on 20 May 2024).
- Giordano, R.; Tortone, G.; Vincenzi, D.; Loffredo, F.; Quarto, M.; Pestotnik, R.; Lozar, A.; Seljak, A. Neutron-Irradiation Testing of FPGA-Embedded Hadron Fluence Sensors. IEEE Trans. Nucl. Sci. 2023, 70, 774–781. [Google Scholar] [CrossRef]
- Bocci, V.; Chiodi, G.; Iacoangeli, F.; Nuccetelli, M.; Recchia, L. A low cost network of spectrometer radiation detectors based on the ArduSiPM a compact transportable software/hardware data acquisition system with Arduino DUE. In Proceedings of the 2015 4th International Conference on Advancements in Nuclear Instrumentation Measurement Methods and Their Applications (ANIMMA), Lisbon, Portugal, 20–24 April 2015; pp. 1–5. [Google Scholar] [CrossRef]
- Microchip Technology Inc. SAM E70/S70/V70/V71 32-Bit Arm Cortex-M7 MCUs with FPU, Audio and Graphics Interfaces, High-Speed USB, Ethernet, and Advanced Analog; Complete Datasheet; Microchip Technology Inc.: Chandler, AZ, USA, 2023. [Google Scholar]
- Madle, P. SAMV71 Radiation Test Report; KS-DOC-01250-01; 13 May 2021; Open Source Satellite: Farnborough, UK, 2021. [Google Scholar]
- Microchip Technology Inc. SAMV71Q21RT Radiation-Tolerant 32-Bit Arm Cortex-M7 MCUs; Complete Datasheet DS60001555E; Microchip Technology Inc.: Chandler, AZ, USA, 2023. [Google Scholar]
- Microchip Technology Inc. Packaged Part for Aerospace and Defense Applications: Screening and Qualification Monitoring; Manual DS60001546E; Microchip Technology Inc.: Chandler, AZ, USA, 2023. [Google Scholar]
- PicoQuant. Available online: https://www.picoquant.com/products/category/picosecond-pulsed-sources/pls-series-sub-nanosecond-pulsed-leds#description (accessed on 10 April 2024).
- Bocci, V. A simple model for multiple coincidence SiPM dark noise. arXiv 2024, arXiv:2402.16605. [Google Scholar] [CrossRef]
- Calabretta, M.M.; Montali, L.; Lopreside, A.; Fragapane, F.; Iacoangeli, F.; Roda, A.; Bocci, V.; D’Elia, M.; Michelini, E. Ultrasensitive On-Field Luminescence Detection Using a Low-Cost Silicon Photomultiplier Device. Anal. Chem. 2021, 93, 7388–7393. [Google Scholar] [CrossRef] [PubMed]
- Martínez-Pérez-Cejuela, H.; Calabretta, M.M.; Bocci, V.; D’Elia, M.; Michelini, E. Super-Stable Metal–Organic Framework (MOF)/Luciferase Paper-Sensing Platform for Rapid ATP Detection. Biosensors 2023, 13, 451. [Google Scholar] [CrossRef]
- Saint-Gobain Crystals. Lanthanum Bromide Scintillators Performance Summary; Scintillation Products Technical Note; Saint-Gobain Crystals: Hiram, OH, USA, 2021. [Google Scholar]
- Masi, L. Characterization of a Particle Detector for Space Applications Based on ArduSiPM Technology. Master’s Thesis, Sapienza Università di Roma, Rome, Italy, 2024. Prof. Bocci, V. (Supervisor); Dr. Iacoangeli, F. (Co-supervisor). [Google Scholar]



















Disclaimer/Publisher’s Note: The statements, opinions and data contained in all publications are solely those of the individual author(s) and contributor(s) and not of MDPI and/or the editor(s). MDPI and/or the editor(s) disclaim responsibility for any injury to people or property resulting from any ideas, methods, instructions or products referred to in the content. |
© 2024 by the authors. Licensee MDPI, Basel, Switzerland. This article is an open access article distributed under the terms and conditions of the Creative Commons Attribution (CC BY) license (https://creativecommons.org/licenses/by/4.0/).
Share and Cite
Bocci, V.; Ali, B.; Chiodi, G.; Kubler, D.; Iacoangeli, F.; Masi, L.; Recchia, L. Cosmo ArduSiPM: An All-in-One Scintillation-Based Particle Detector for Earth and Space Application. Sensors 2024, 24, 3836. https://doi.org/10.3390/s24123836
Bocci V, Ali B, Chiodi G, Kubler D, Iacoangeli F, Masi L, Recchia L. Cosmo ArduSiPM: An All-in-One Scintillation-Based Particle Detector for Earth and Space Application. Sensors. 2024; 24(12):3836. https://doi.org/10.3390/s24123836
Chicago/Turabian StyleBocci, Valerio, Babar Ali, Giacomo Chiodi, Dario Kubler, Francesco Iacoangeli, Lorenza Masi, and Luigi Recchia. 2024. "Cosmo ArduSiPM: An All-in-One Scintillation-Based Particle Detector for Earth and Space Application" Sensors 24, no. 12: 3836. https://doi.org/10.3390/s24123836
APA StyleBocci, V., Ali, B., Chiodi, G., Kubler, D., Iacoangeli, F., Masi, L., & Recchia, L. (2024). Cosmo ArduSiPM: An All-in-One Scintillation-Based Particle Detector for Earth and Space Application. Sensors, 24(12), 3836. https://doi.org/10.3390/s24123836

