Analysis of E2E Delay and Wiring Harness in In-Vehicle Network with Zonal Architecture
Abstract
1. Introduction
2. Related Research
2.1. Domain-Based In-Vehicle Network Architecture
2.2. Zonal-Based In-Vehicle Network Architecture
3. Methodology for Performance Analysis
3.1. Design of IVN Architecture for E2E Delay
3.2. Abstraction of IVN Architectures for Wiring Harnesses
4. Results for Simulation and Performance Analysis
4.1. End-to-End Delay
4.1.1. Simulation Environment
4.1.2. Simulation Method
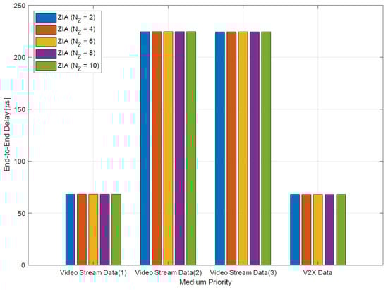
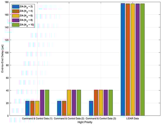
4.1.3. Results
4.2. Total Length and Weight of Wiring Harnesses
4.2.1. Calculation method with Asymptotic Approach
4.2.2. Results
5. Conclusions and Future Works
- E2E delay analysis: this analysis measures the impact of the number of zones within the ZIA on E2E delay to help design ZIAs that efficiently transmit high-priority data.
- Wiring harness analysis: this analysis quantifies how the ZIA can effectively reduce the length and weight of the wiring harness, contributing to the design of more efficient ZIA configurations.
- Comparison analysis with DIA: contributes to the transition from the DIA to ZIA by providing results on the efficiency benefits of the ZIA over traditional DIA.
- Scalability analysis: contributes to the design of scalable vehicle network architectures by analyzing the impact of increasing ECU count on network performance.
Author Contributions
Funding
Institutional Review Board Statement
Informed Consent Statement
Data Availability Statement
Conflicts of Interest
References
- Leigh, B.; Duwe, R. Designing autonomous vehicles for a future of unknowns. ATZelectronics Worldw. 2021, 16, 44–47. [Google Scholar] [CrossRef]
- Delphi: Industry Must Go Digital or Die. Available online: https://www.wardsauto.com/technology/delphi-industry-must-go-digital-or-die (accessed on 2 April 2024).
- Van Rensburg, P.J.; Ferreira, H.C. Automotive power-line communications: Favourable topology for future automotive electronic trends. In Proceedings of the 7th International Symposium on Power-Line Communications and Its Applications (ISPLC’03), Kyoto, Japan, 26–28 March 2003; pp. 103–108. [Google Scholar]
- Rathore, R.S.; Hewage, C.; Kaiwartya, O.; Lloret, J. In-vehicle communication cyber security: Challenges and solutions. Sensors 2022, 22, 6679. [Google Scholar] [CrossRef] [PubMed]
- Askaripoor, H.; Hashemi Farzaneh, M.; Knoll, A. E/E architecture synthesis: Challenges and technologies. Electronics 2022, 11, 518. [Google Scholar] [CrossRef]
- Brunner, S.; Roder, J.; Kucera, M.; Waas, T. Automotive E/E-architecture enhancements by usage of ethernet TSN. In Proceedings of the 2017 13th Workshop on Intelligent Solutions in Embedded Systems (WISES), Hamburg, Germany, 12–13 June 2017; pp. 9–13. [Google Scholar]
- Wang, W.; Yu, S.; Cao, W.; Guo, K. Review of in-vehicle optical fiber communication technology. Automot. Innov. 2022, 5, 272–284. [Google Scholar] [CrossRef]
- Oh, S.B.; Do, Y.S.; Jeon, J.W. The Time Synchronization of CAN-FD and Ethernet for Zonal E/E Architecture. In Proceedings of the 2023 International Technical Conference on Circuits/Systems, Computers, and Communications (ITC-CSCC), Jeju, Republic of Korea, 25–28 June 2023; pp. 1–5. [Google Scholar]
- Park, C.; Park, S. Performance evaluation of zone-based in-vehicle network architecture for autonomous vehicles. Sensors 2023, 23, 669. [Google Scholar] [CrossRef] [PubMed]
- Haeberle, M.; Heimgaertner, F.; Loehr, H.; Nayak, N.; Grewe, D.; Schildt, S.; Menth, M. Softwarization of automotive E/E architectures: A software-defined networking approach. In Proceedings of the 2020 IEEE Vehicular Networking Conference (VNC), Virtual, 16–18 December 2020; pp. 1–8. [Google Scholar]
- Frigerio, A.; Vermeulen, B.; Goossens, K.G. Automotive architecture topologies: Analysis for safety-critical autonomous vehicle applications. IEEE Access 2021, 9, 62837–62846. [Google Scholar] [CrossRef]
- Lo Bello, L.; Patti, G.; Leonardi, L. A perspective on ethernet in automotive communications—Current status and future trends. Applied Sciences 2023, 13, 1278. [Google Scholar] [CrossRef]
- Pannell, D.; Chen, L.; Dorr, J.; Lo, W.; Potts, M.; Zinner, H.; Zu, A. Use Cases-IEEE P802.1DG V0. 4. 2022. Available online: https://www.ieee802.org/1/files/public/docs2019/dg-pannell-automotive-use-cases-0919-v04.pdf (accessed on 2 April 2024).
- Bandur, V.; Selim, G.; Pantelic, V.; Lawford, M. Making the case for centralized automotive E/E architectures. IEEE Trans. Veh. Technol. 2021, 70, 1230–1245. [Google Scholar] [CrossRef]
- Zonal Architecture: The Foundation for Next Generation Vehicles; GUARDKNOX: Ramla, Israel, 2020.
- IEEE802. Available online: https://www.ieee802.org/ (accessed on 2 April 2024).
- Guo, H. Automotive Informatics and Communicative Systems: Principles in Vehicular Networks and Data Exchange: Principles in Vehicular Networks and Data Exchange; IGI Global: Hershey, PA, USA, 2009. [Google Scholar]
- Avatefipour, O. Physical-Fingerprinting of Electronic Control Unit (ECU) Based on Machine Learning Algorithm for In-Vehicle Network Communication Protocol “CAN-BUS”. Master’s Thesis, University of Michigan, Ann Arbor, MI, USA, 2017. [Google Scholar]
- Ignatious, H.A.; Khan, M. An overview of sensors in Autonomous Vehicles. Procedia Comput. Sci. 2022, 198, 736–741. [Google Scholar] [CrossRef]
- OMNeT++. Available online: https://omnetpp.org/ (accessed on 2 April 2024).
- Core4INET—Real-Time Ethernet Protocols for INET. Available online: https://omnetpp.org/download-items/Core4INET.html (accessed on 2 April 2024).
- Lee, J.; Park, S. Time-sensitive network (TSN) experiment in sensor-based integrated environment for autonomous driving. Sensors 2019, 19, 1111. [Google Scholar] [CrossRef] [PubMed]
- Zhou, Z.; Lee, J.; Berger, M.S.; Park, S.; Yan, Y. Simulating TSN traffic scheduling and shaping for future automotive Ethernet. J. Commun. Netw. 2021, 23, 53–62. [Google Scholar] [CrossRef]
- Gopal, A. Traffic categories & overall performance goals. In Proceedings of IEEE P802.1DG Interim Meeting. February 2022. Available online: https://www.ieee802.org/1/files/public/docs2022/dg-gopal-TrafficClassification-0222-v01.pdf (accessed on 2 April 2024).
- Thangamuthu, S.; Concer, N.; Cuijpers, P.J.; Lukkien, J.J. Analysis of ethernet-switch traffic shapers for in-vehicle networking applications. In Proceedings of the 2015 Design, Automation & Test in Europe Conference & Exhibition (DATE), Grenoble, France, 9–13 March 2015; pp. 55–60. [Google Scholar]
- Thangamuthu, S. Analysis of Automotive Traffic Shapers in Ethernet In-Vehicular Networks. Master’s Thesis, Eindhoven University of Technology, Eindhoven, The Netherlands, 2014; pp. 1–89. [Google Scholar]
- Kurose, J.F.; Ross, K.W.; Anand, B. Computer Networking: A Top-Down Approach; Pearson: London, UK, 2008. [Google Scholar]
- Stillig, J.; Parspour, N. Novel infrastructure platform for a flexible and convertible manufacturing. Adv. Sci. Technol. Eng. Syst. J. 2021, 6, 356–368. [Google Scholar] [CrossRef]















| IVN Traffic Types | Priority | Payload Size [Byte] | Traffic Interval [μs] | Transmission Path |
|---|---|---|---|---|
| Command and control data (1) | High (ST) | 64 | 500 | Cruise control → Steering and breaking |
| Command and control data (2) | High (ST) | 64 | 500 | Cruise control → Suspension |
| Command and control data (3) | High (ST) | 64 | 500 | Cruise control → Engine |
| LiDAR data | High (ST) | 512 | 500 | Long range LiDAR (5) → Cruise control |
| Video stream (1) | Medium (SR class A) | 1500 | 125 | Forward camera → Cruise control |
| Video stream (2) | Medium (SR class A) | 1500 | 125 | Rear camera → Center and HUD display |
| Video stream (3) | Medium (SR class A) | 1250 | 125 | Mirrorless camera (2) → Center and HUD display |
| V2X data | Medium (SR class A) | 64 | 125 | Integrated antenna → Cruise control |
| Entertainment data | Low (BE) | 1500 | 1000 | Integrated antenna → Seat monitor |
| Upload data | Low (BE) | 100 | 1000 | Tire pressure monitoring (2) → Integrated antenna |
| Parameter | Values |
|---|---|
| Number of zones ( | 2, 4, 6, 8, 10 |
| Number of domains ( | 5 |
| Number of ECUs ( | 20, 40, 60, 80, 100, 120 |
| Wiring harness weight per meter | 0.0375 kg |
Disclaimer/Publisher’s Note: The statements, opinions and data contained in all publications are solely those of the individual author(s) and contributor(s) and not of MDPI and/or the editor(s). MDPI and/or the editor(s) disclaim responsibility for any injury to people or property resulting from any ideas, methods, instructions or products referred to in the content. |
© 2024 by the authors. Licensee MDPI, Basel, Switzerland. This article is an open access article distributed under the terms and conditions of the Creative Commons Attribution (CC BY) license (https://creativecommons.org/licenses/by/4.0/).
Share and Cite
Park, C.; Cui, C.; Park, S. Analysis of E2E Delay and Wiring Harness in In-Vehicle Network with Zonal Architecture. Sensors 2024, 24, 3248. https://doi.org/10.3390/s24103248
Park C, Cui C, Park S. Analysis of E2E Delay and Wiring Harness in In-Vehicle Network with Zonal Architecture. Sensors. 2024; 24(10):3248. https://doi.org/10.3390/s24103248
Chicago/Turabian StylePark, Chulsun, Chengyu Cui, and Sungkwon Park. 2024. "Analysis of E2E Delay and Wiring Harness in In-Vehicle Network with Zonal Architecture" Sensors 24, no. 10: 3248. https://doi.org/10.3390/s24103248
APA StylePark, C., Cui, C., & Park, S. (2024). Analysis of E2E Delay and Wiring Harness in In-Vehicle Network with Zonal Architecture. Sensors, 24(10), 3248. https://doi.org/10.3390/s24103248

