Regional Pulmonary Ventilation Assessment Method and System Based on Impedance Sensing Information from the Pentapulmonary Lobes
Abstract
1. Introduction
- The design of an impedance-focusing evaluation method for thoracic ROI, deriving and validating the model using different electrode configurations with an interest in evaluating the impedance change in five lung lobes, and proposing an interest-focusing measurement method for five lung lobes accordingly.
- The construction of a 2-D longitudinal simulation model of the thoracic cavity, qualitatively analyzing the most interesting electrode configuration combinations for the five lung lobes. The 3-D simulation model of the lung was reconstructed to quantitatively analyze and verify the feasibility of the quadrant measurement mode, and the mathematical calculation model between air volume and zonal impedance was initially constructed based on the numerical results of the simulation.
- Based on the ADS1292, a biosensor analog front-end developed by Texas Instruments, a multi-channel bio-impedance acquisition system was designed, 389 subjects were selected to carry out lung function parameter testing, and the calculation method was established based on the optimized calculation model of individual influence coefficients. Then, 30 subjects were selected to carry out experimental validation, and the results showed that the calculated values of this method were in good agreement with the standard values, with small errors, and had better accuracy than other impedance measurement methods.
- The regional lung ventilation obstruction evaluation test was conducted by selecting 50 critically ill patients with localized lung ventilation obstruction, and the ventilation obstruction evaluation index was obtained. Ten more critically ill patients were selected to carry out the test validation, and the results showed that the evaluation method was consistent with the evaluation results of CT images and could provide auxiliary guidance for clinical diagnosis.
2. Methods for Evaluating the Region of Interest of the Pentapulmonary Lobes
3. Simulation Studies and Regional Lung Ventilation Assessment Method
3.1. Simulation Theory and Modeling
3.2. Qualitative Study Based on 2-D Longitudinal Thoracic Section Modeling
3.3. Quantitative Study Based on 3-D Thoracic Modeling
3.4. Design of a Methodology for the Assessment of Ventilatory Function in Pentapulmonary Lobes
4. Experimental Design and Discussion of Results
4.1. Pentolung Lobar Ventilation Test System Construction
4.2. Experimental Flow Design
- The subject’s sitting posture was adjusted to ensure that the plane on which his or her upper body rests was perpendicular to the floor to minimize the effect of changes in the volume of air and blood in the lung tissue with changes in body posture. The subject’s clothing was also adjusted to ensure that there was no clothing contact on the surface of the chest and axillary body surface areas, and the position of the arms was controlled so that they did not come into contact with the skin of the chest body surface.
- The intersection of the center of the first rib (labeled No. 8) and the center of the eighth rib (labeled No. 5) on the midclavicular line was found. Electrode positions No. 7 and No. 6 were marked equidistantly on the line between No. 8 and No. 5. The intersections of these four horizontal positions with the right axillary midline were labeled No. 1 through No. 4 from the bottom up, and the intersections with the left axillary midline were labeled No. 9 through No. 12 from the bottom up. Eventually, No. 1, No. 2, No. 3, No. 6, No. 7, No. 8, No. 9, and No. 10 were selected as the electrode placement points.
- Medical alcohol was used to wipe the sweat and surface dirt at the electrode to be affixed, eight silver chloride electrodes were selected with the same specifications, and the electrode positions shown in Figure 16b were followed to ensure that the electrodes were in good contact with the surface of the skin to complete electrode affixation.
- According to the patient category corresponding to the use of the German JAEGER company’s medical lung function tester JAEGER TOENNIES or ventilator at the same time to start the measurement, the switch array was used to complete the impedance of the five lobes of the lungs of the simultaneous measurement, continuous recording of a set of smooth breathing and a set of deep breathing of the subject data, and impedance data were entered into the database to complete the assessment of pulmonary ventilation function.
4.3. Experimental Validation and Result Analysis
5. Conclusions
Author Contributions
Funding
Institutional Review Board Statement
Informed Consent Statement
Data Availability Statement
Acknowledgments
Conflicts of Interest
Nomenclature
| FVC | Forced ventilation capacity |
| FEV1 | Forced expiratory volume in one second |
| ROI | Region of interest |
| σi | The conductivity of the ith discrete region |
| S | The sensitivity matrix |
| ΔL | The total air changes in the lungs |
| ΔLROI-i | The volume of air change in the ith ROI |
| Zi | The impedance value of the ith ROI region |
| ΔZi | The amount of impedance change in the i-th ROI region |
| A | The coefficient matrix |
| ξ | The ratio of the maximum longitudinal distance of the thoracic cavity to the maximum distance of the transverse cavity |
| FVCi | Forced ventilation volume for the ith ROI |
| FEV1i | One-second ventilation for the ith ROI |
| FVCC | The calculation of forced ventilation capacity |
| FEV1C | The calculation of forced expiratory volume in one second |
| αi | The ratio of ventilation in the ith ROI region to the overall ventilation |
| βi | The ratio of one-second ventilation to forced ventilation for the ith ROI |
References
- Hani, C.; Trieu, N.H.; Saab, I.; Dangeard, S.; Bennani, S.; Chassagnon, G.; Revel, M.-P. COVID-19 Pneumonia: A Review of Typical CT Findings and Differential Diagnosis. Diagn. Interv. Imaging 2020, 101, 263–268. [Google Scholar] [CrossRef] [PubMed]
- Brochard, L.; Slutsky, A.; Pesenti, A. Mechanical Ventilation to Minimize Progression of Lung Injury in Acute Respiratory Failure. Am. J. Respir. Crit. Care Med. 2017, 195, 438–442. [Google Scholar] [CrossRef] [PubMed]
- Tang, Z.; Zhao, W.; Xie, X.; Zhong, Z.; Shi, F.; Ma, T.; Liu, J.; Shen, D. Severity Assessment of COVID-19 Using CT Image Features and Laboratory Indices. Phys. Med. Biol. 2021, 66, 035015. [Google Scholar] [CrossRef] [PubMed]
- Lange, P.; Celli, B.; Agusti, A.; Jensen, G.B.; Divo, M.; Faner, R.; Guerra, S.; Marott, J.L.; Martinez, F.D.; Martinez-Camblor, P.; et al. Lung-Function Trajectories Leading to Chronic Obstructive Pulmonary Disease. N. Engl. J. Med. 2015, 373, 111–122. [Google Scholar] [CrossRef] [PubMed]
- Vestbo, J.; Lange, P. Forced Expiratory Volume in 1 Second (FEV1)—A Respiratory Physiological Measurement of Considerable Prognostic Value. Ugeskr. Laeger 1991, 153, 2292–2295. [Google Scholar] [PubMed]
- Finkelstein, S.; Kujawa, S.; Budd, J.; Warwick, W. An Evaluation of Incentive Inspirometers for Following Pulmonary-Function by Self-Measurement in the Home. IEEE Trans. Biomed. Eng. 1987, 34, 212–216. [Google Scholar] [CrossRef] [PubMed]
- Cheng, Y.-T.; Lin, Y.-F.; Chiang, K.-H.; Tseng, V.S. Mining Sequential Risk Patterns From Large-Scale Clinical Databases for Early Assessment of Chronic Diseases: A Case Study on Chronic Obstructive Pulmonary Disease. IEEE J. Biomed. Health Inform. 2017, 21, 303–311. [Google Scholar] [CrossRef] [PubMed]
- Kanova, M.; Petrekova, K.; Borzenko, N.; Ruskova, K.; Nytra, I.; Dzurnakova, P. Bioelectrical Impedance Analysis to Assess Hydration in Critically Ill Patients: A Practical Guide Demonstrating Its Use on Artificially Ventilated COVID Patients. Neuroendocrinol. Lett. 2023, 44, 271–282. [Google Scholar]
- Radtke-Lysek, A.; Bohdan, M.; Nowak, M.; Borzyszkowska, A.; Raczynska, W.; Rycka, M.; Frankiewicz, A.; Zeglen, S.; Siondalski, P.; Gruchala, M. Phase Angle Assessment and Its Correlation with Biochemical Parameters and Body Composition after Heart or Lung Transplantation. J. Heart Lung Transplant. 2023, 42, S253. [Google Scholar] [CrossRef]
- Sanchez-Perez, J.A.; Berkebile, J.A.; Nevius, B.N.; Ozmen, G.C.; Nichols, C.J.; Ganti, V.G.; Mabrouk, S.A.; Clifford, G.D.; Kamaleswaran, R.; Wright, D.W.; et al. A Wearable Multimodal Sensing System for Tracking Changes in Pulmonary Fluid Status, Lung Sounds, and Respiratory Markers. Sensors 2022, 22, 1130. [Google Scholar] [CrossRef]
- Hauschild, D.B.; Barbosa, E.; Machado Moreira, E.A.; Neto, N.L.; Platt, V.B.; Filho, P.; Wazlawik, E.; Franco Moreno, Y.M. Nutrition Status Parameters and Hydration Status by Bioelectrical Impedance Vector Analysis Were Associated With Lung Function Impairment in Children and Adolescents With Cystic Fibrosis. Nutr. Clin. Pract. 2016, 31, 378–386. [Google Scholar] [CrossRef] [PubMed]
- Zhang, Y.S.; Aleman, J.; Shin, S.R.; Kilic, T.; Kim, D.; Shaegh, S.A.M.; Massa, S.; Riahi, R.; Chae, S.; Hu, N.; et al. Multisensor-Integrated Organs-on-Chips Platform for Automated and Continual in Situ Monitoring of Organoid Behaviors. Proc. Natl. Acad. Sci. USA 2017, 114, E2293–E2302. [Google Scholar] [CrossRef] [PubMed]
- Ward, L.C. Bioelectrical Impedance Analysis for Body Composition Assessment: Reflections on Accuracy, Clinical Utility, and Standardisation. Eur. J. Clin. Nutr. 2019, 73, 194–199. [Google Scholar] [CrossRef] [PubMed]
- Pena-Mercado, E.; Garcia-Lorenzana, M.; Arechaga-Ocampo, E.; Gonzalez-De la Rosa, C.H.; Beltran, N.E. Evaluation of HIF-1α and iNOS in Ischemia/Reperfusion Gastric Model: Bioimpedance, Histological and Immunohistochemical Analyses. Histol. Histopathol. 2018, 33, 815–823. [Google Scholar] [CrossRef] [PubMed]
- Yoshimoto-Haramura, T.; Hara, T.; Soyama, A.; Kugiyama, T.; Matsushima, H.; Matsuguma, K.; Imamura, H.; Tanaka, T.; Adachi, T.; Hidaka, M.; et al. A Simple Rapid Method for Measuring Liver Steatosis Using Bioelectrical Impedance. In Vivo 2022, 36, 570–575. [Google Scholar] [CrossRef] [PubMed]
- Maglioli, C.C.; Caldwell, D.G.; Mattos, L.S. IEEE A Bioimpedance Sensing System for In-Vivo Cancer Tissue Identification: Design and Preliminary Evaluation. In Proceedings of the 2017 39th Annual International Conference of the IEEE Engineering in Medicine and Biology Society (EMBC), Jeju, Republic of Korea, 11–15 July 2017; pp. 4235–4238. [Google Scholar]
- Inomata, M.; Kawagishi, Y.; Taka, C.; Kambara, K.; Okazawa, S.; Fukushima, Y.; Imanishi, S.; Ichikawa, T.; Suzuki, K.; Yamada, T.; et al. Visceral Adipose Tissue Level, as Estimated by the Bioimpedance Analysis Method, Is Associated with Impaired Lung Function. J. Diabetes Investig. 2012, 3, 331–336. [Google Scholar] [CrossRef] [PubMed]
- Li, H.; Xu, H.; Ma, Y.; Qin, H.; Qin, P.; Ji, X.; Han, T.; Cai, P. IEEE Thoracic Impedance Measurement for Lung Function Evaluation. In Proceedings of the 2017 IEEE International Conference on Imaging Systems and Techniques (IST), Beijing, China, 18–20 October 2017; pp. 494–498. [Google Scholar]
- Sel, K.; Osman, D.; Jafari, R. Non-Invasive Cardiac and Respiratory Activity Assessment From Various Human Body Locations Using Bioimpedance. IEEE OPEN J. Eng. Med. Biol. 2021, 2, 210–217. [Google Scholar] [CrossRef] [PubMed]
- Seppa, V.-P.; Pelkonen, A.S.; Kotaniemi-Syrjanen, A.; Viik, J.; Makela, M.J.; Malmberg, L.P. Tidal Flow Variability Measured by Impedance Pneumography Relates to Childhood Asthma Risk. Eur. Respir. J. 2016, 47, 1687–1696. [Google Scholar] [CrossRef]
- Seppa, V.-P.; Hyttinen, J.I.; Uitto, M.; Chrapek, W.; Viik, J.I. Novel Electrode Configuration for Highly Linear Impedance Pneumography. Biomed. Eng.-Biomed. Tech. 2013, 58, 35–38. [Google Scholar] [CrossRef]
- Yang, J.; Zhong, S.; Liang, F.; Guo, J.; Li, W.; Li, J. A New Method for Measuring Pulmonary Function Parameters. Nan Fang Yi Ke Da Xue Xue Bao 2013, 33, 1352–1356. [Google Scholar]
- Zhao, P.; Wang, J.; Shen, Z.; Yan, X.; Zhang, Y.; Yan, Y. Analysis, Design, and Experiment of FVC Detection Device Using the Cross Four-Electrode Method. IEEE Trans. Instrum. Meas. 2021, 70, 4002811. [Google Scholar] [CrossRef]
- Guermazi, M.; Kanoun, O.; Derbel, N. IOP Reduction of Anisotropy Influence and Contacting Effects in In-Vitro Bioimpedance Measurements. In Proceedings of the XV International Conference on Electrical Bio-Impedance (ICEBI) & XIV Conference on Electrical Impedance Tomography (EIT), Heilbad Heiligenstadt, Germany, 22–25 April 2013; Volume 434. [Google Scholar]
- Islam, N.; Rabbani, K.S.; Wilson, A. The Sensitivity of Focused Electrical Impedance Measurements. Physiol. Meas. 2010, 31, S97–S109. [Google Scholar] [CrossRef] [PubMed]
- Mayer, M.; Brunner, P.; Merwa, R.; Scharfetter, H. Monitoring of Lung Edema Using Focused Impedance Spectroscopy: A Feasibility Study. Physiol. Meas. 2005, 26, 185–192. [Google Scholar] [CrossRef] [PubMed]
- Haque, R.; Kadir, M.A.; Rabbani, K.S.-E. Probing for Stomach Using the Focused Impedance Method (FIM). J. Electr. Bioimpedance 2019, 10, 73–82. [Google Scholar] [CrossRef] [PubMed]
- Mobarak, M.; Kadir, M.A.; Siddique-E Rabbani, K. Probing Deep Lung Regions Using a New 6-Electrode Tetrapolar Impedance Method. J. Electr. Bioimpedance 2022, 13, 116–124. [Google Scholar] [CrossRef]
- Nopp, P.; Harris, N.; Zhao, T.; Brown, B. Model for the Dielectric Properties of Human Lung Tissue against Frequency and Air Content. Med. Biol. Eng. Comput. 1997, 35, 695–702. [Google Scholar] [CrossRef]





















| Tissues/Organs | Electrical Conductivity (S/m) |
|---|---|
| Skin and subcutaneous tissues | 0.035 |
| Blood layer | 1.323 |
| Muscle layer | 0.479 |
| Lung tissue | 0.1802/n0.1942 |
| Bioelectrodes | 5.998 × 107 |
| ROI | Max P | Excitation | Measurement |
|---|---|---|---|
| Upper lobe of right lung | 22.712 | Electrode (2,7) | Electrode (3,8) |
| Middle lobe of right lung | 18.733 | Electrode (1,6) | Electrode (2,7) |
| Lower lobe of right lung | 12.472 | Electrode (1,9) | Electrode (2,6) |
| Upper lobe of left lung | 29.542 | Electrode (7,9) | Electrode (8,10) |
| Lower lobe of left lung | 19.675 | Electrode (6,9) | Electrode (7,10) |
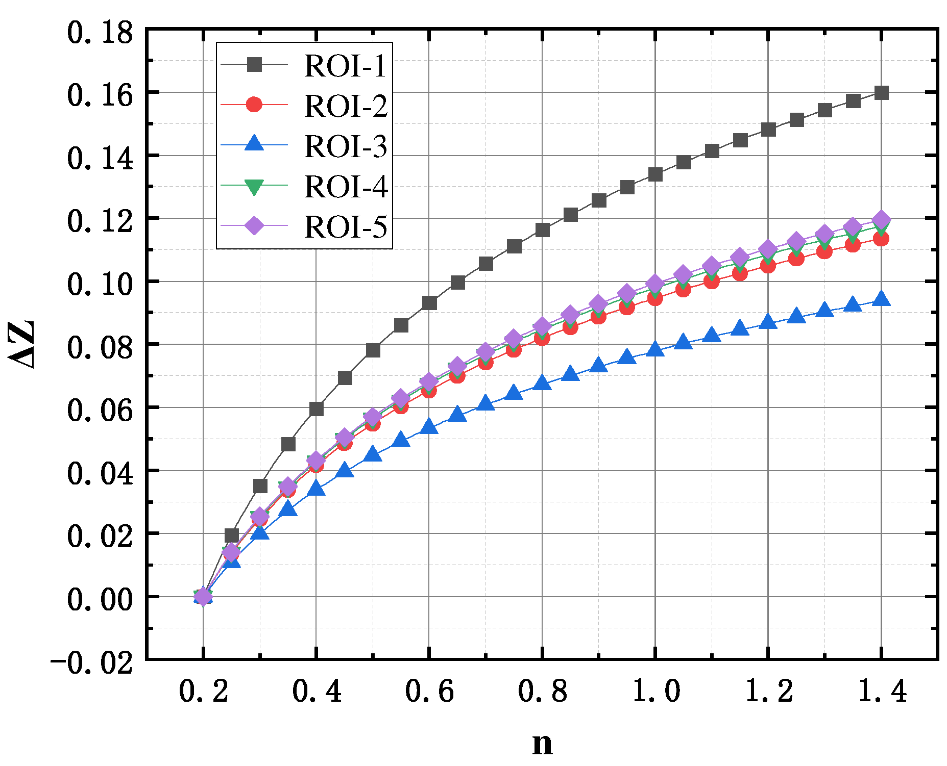
| n | Z1 (Ω) | ΔZ1% | Z2 (Ω) | ΔZ2% | Z3 (Ω) | ΔZ3% | Z4 (Ω) | ΔZ4% | Z5 (Ω) | ΔZ5% |
|---|---|---|---|---|---|---|---|---|---|---|
| 0.2 | 0.6864 | 0 | 0.7427 | 0 | 0.6363 | 0 | 0.8951 | 0 | 0.7427 | 0 |
| 0.25 | 0.7058 | 0.0283 | 0.7563 | 0.0182 | 0.6472 | 0.0171 | 0.9089 | 0.0155 | 0.7567 | 0.0188 |
| 0.3 | 0.7216 | 0.0512 | 0.7673 | 0.0331 | 0.6561 | 0.0311 | 0.9201 | 0.0281 | 0.7681 | 0.0341 |
| 0.35 | 0.7347 | 0.0704 | 0.7765 | 0.0453 | 0.6636 | 0.0429 | 0.9296 | 0.0387 | 0.7777 | 0.0471 |
| 0.4 | 0.7461 | 0.0867 | 0.7844 | 0.0561 | 0.6701 | 0.0531 | 0.9378 | 0.0478 | 0.7860 | 0.0582 |
| 0.45 | 0.7558 | 0.1011 | 0.7913 | 0.0654 | 0.6758 | 0.0620 | 0.9451 | 0.0558 | 0.7932 | 0.0680 |
| 0.5 | 0.7646 | 0.1138 | 0.7975 | 0.0737 | 0.6809 | 0.0701 | 0.9514 | 0.0631 | 0.7997 | 0.0767 |
| 0.55 | 0.7724 | 0.1253 | 0.8031 | 0.0813 | 0.6855 | 0.0773 | 0.9572 | 0.0695 | 0.8056 | 0.0846 |
| 0.6 | 0.7795 | 0.1357 | 0.8081 | 0.0880 | 0.6897 | 0.0839 | 0.9624 | 0.0753 | 0.8109 | 0.0918 |
| 0.65 | 0.7861 | 0.1451 | 0.8128 | 0.0943 | 0.6935 | 0.0899 | 0.9672 | 0.0807 | 0.8159 | 0.0984 |
| 0.7 | 0.7921 | 0.1539 | 0.8170 | 0.1001 | 0.6971 | 0.0955 | 0.9717 | 0.0856 | 0.8204 | 0.1045 |
| 0.75 | 0.7976 | 0.1619 | 0.8210 | 0.1053 | 0.7004 | 0.1007 | 0.9758 | 0.0903 | 0.8246 | 0.1102 |
| 0.8 | 0.8027 | 0.1694 | 0.8247 | 0.1103 | 0.7035 | 0.1056 | 0.9796 | 0.0946 | 0.8285 | 0.1154 |
| 0.85 | 0.8076 | 0.1765 | 0.8282 | 0.1150 | 0.7064 | 0.1101 | 0.9832 | 0.0986 | 0.8322 | 0.1204 |
| 0.9 | 0.8121 | 0.1831 | 0.8314 | 0.1194 | 0.7091 | 0.1144 | 0.9866 | 0.1024 | 0.8357 | 0.1251 |
| 0.95 | 0.8164 | 0.1893 | 0.8345 | 0.1235 | 0.7117 | 0.1185 | 0.9898 | 0.1059 | 0.8390 | 0.1295 |
| 1 | 0.8204 | 0.1951 | 0.8374 | 0.1274 | 0.7142 | 0.1223 | 0.9928 | 0.1093 | 0.8421 | 0.1336 |
| 1.05 | 0.8242 | 0.2007 | 0.8401 | 0.1311 | 0.7165 | 0.1261 | 0.9957 | 0.1125 | 0.8450 | 0.1376 |
| 1.1 | 0.8278 | 0.2060 | 0.8428 | 0.1346 | 0.7187 | 0.1295 | 0.9984 | 0.1156 | 0.8478 | 0.1414 |
| 1.15 | 0.8313 | 0.2110 | 0.8453 | 0.1380 | 0.7208 | 0.1329 | 1.0010 | 0.1184 | 0.8505 | 0.1450 |
| 1.2 | 0.8345 | 0.2158 | 0.8476 | 0.1412 | 0.7229 | 0.1361 | 1.0034 | 0.1212 | 0.8531 | 0.1484 |
| 1.25 | 0.8377 | 0.2204 | 0.8499 | 0.1443 | 0.7248 | 0.1391 | 1.0061 | 0.1240 | 0.8555 | 0.1518 |
| 1.3 | 0.8407 | 0.2247 | 0.8521 | 0.1473 | 0.7266 | 0.1420 | 1.0081 | 0.1264 | 0.8578 | 0.1549 |
| 1.35 | 0.8436 | 0.2289 | 0.8542 | 0.1501 | 0.7285 | 0.1448 | 1.0103 | 0.1288 | 0.8601 | 0.1580 |
| 1.4 | 0.8464 | 0.2330 | 0.8563 | 0.1528 | 0.7302 | 0.1475 | 1.0125 | 0.1313 | 0.8623 | 0.1609 |
| ROI | a | SE-a | b | SE-b | c | SE-c | R2 |
|---|---|---|---|---|---|---|---|
| ROI-1 | 1.216 × 105 | 2.795 × 103 | 7.127 | 0.192 | 218 | 7.194 | 0.99738 |
| ROI-2 | 5.396 × 104 | 9.173 × 102 | 6.343 | 0.027 | 104 | 3.016 | 0.99653 |
| ROI-3 | 7.145 × 104 | 1.512 × 103 | 6.563 | 0.126 | 153 | 3.273 | 0.99564 |
| ROI-4 | 7.364 × 104 | 8.823 × 102 | 6.728 | 0.105 | 172 | 3.027 | 0.99523 |
| ROI-5 | 9.143 × 104 | 1.737 × 103 | 6.943 | 0.217 | 192 | 2.936 | 0.99842 |
| ξ | ROI | a | b | c | R2 |
|---|---|---|---|---|---|
| 1.6 | 1 | 1.216 × 105 | 7.127 | 218.317 | 0.9993 |
| 2 | 5.396 × 105 | 6.343 | 104.579 | 0.9982 | |
| 3 | 7.145 × 105 | 6.563 | 153.781 | 0.9965 | |
| 4 | 7.364 × 104 | 6.728 | 172.361 | 0.9979 | |
| 5 | 9.143 × 104 | 6.943 | 192.748 | 0.9986 | |
| 1.7 | 1 | 7.828 × 104 | 7.062 | 207.133 | 0.9988 |
| 2 | 4.287 × 105 | 6.283 | 98.218 | 0.9964 | |
| 3 | 5.015 × 104 | 6.502 | 145.903 | 0.9977 | |
| 4 | 5.156 × 104 | 6.665 | 163.592 | 0.9991 | |
| 5 | 5.784 × 104 | 6.881 | 183.057 | 0.9993 | |
| 1.8 | 1 | 5.715 × 104 | 7.011 | 202.575 | 0.9973 |
| 2 | 3.732 × 105 | 6.232 | 95.107 | 0.9981 | |
| 3 | 3.945 × 104 | 6.453 | 142.692 | 0.9965 | |
| 4 | 4.183 × 104 | 6.614 | 159.347 | 0.9963 | |
| 5 | 4.105 × 104 | 6.827 | 178.849 | 0.9971 | |
| 1.9 | 1 | 4.656 × 104 | 6.976 | 199.623 | 0.9987 |
| 2 | 3.453 × 105 | 6.195 | 93.016 | 0.9983 | |
| 3 | 3.231 × 104 | 6.422 | 140.613 | 0.9972 | |
| 4 | 3.437 × 104 | 6.578 | 156.278 | 0.9974 | |
| 5 | 2.984 × 104 | 6.792 | 176.243 | 0.9974 | |
| 2.0 | 1 | 4.029 × 104 | 6.951 | 198.174 | 0.9976 |
| 2 | 3.312 × 105 | 6.174 | 92.213 | 0.9987 | |
| 3 | 2.883 × 104 | 6.401 | 139.592 | 0.9980 | |
| 4 | 3.158 × 104 | 6.557 | 155.034 | 0.9971 | |
| 5 | 2.426 × 104 | 6.768 | 174.964 | 0.9969 |
| ξ | ΔZ1 (Ω) | ΔZ2 (Ω) | ΔZ3 (Ω) | ΔZ4 (Ω) | ΔZ5 (Ω) | |||||
|---|---|---|---|---|---|---|---|---|---|---|
| ΔZ1FVC | ΔZ1FEV1 | ΔZ2FVC | ΔZ2FEV1 | ΔZ3FVC | ΔZ3FEV1 | ΔZ4FVC | ΔZ4FEV1 | ΔZ5FVC | ΔZ5FEV1 | |
| 1.7 | 0.51542 | 0.50224 | 0.45696 | 0.44353 | 0.50108 | 0.48751 | 0.5147 | 0.5010 | 0.52705 | 0.51355 |
| 1.6 | 0.49771 | 0.48538 | 0.45417 | 0.44123 | 0.48894 | 0.47608 | 0.50287 | 0.4899 | 0.50754 | 0.49491 |
| 1.7 | 0.52187 | 0.50988 | 0.46354 | 0.45132 | 0.50777 | 0.49537 | 0.52142 | 0.5089 | 0.53369 | 0.52137 |
| 1.8 | 0.56098 | 0.54176 | 0.48845 | 0.46937 | 0.54387 | 0.52401 | 0.55622 | 0.5363 | 0.57899 | 0.55899 |
| 1.7 | 0.53277 | 0.51765 | 0.47465 | 0.45924 | 0.51907 | 0.5034 | 0.53279 | 0.5170 | 0.54492 | 0.52935 |
| 1.8 | 0.54785 | 0.53428 | 0.47541 | 0.46194 | 0.53029 | 0.51631 | 0.54263 | 0.5286 | 0.56531 | 0.55122 |
| 1.6 | 0.48058 | 0.46792 | 0.43618 | 0.42286 | 0.47109 | 0.45799 | 0.48487 | 0.4716 | 0.49001 | 0.47713 |
| 1.9 | 0.58102 | 0.56367 | 0.4971 | 0.48021 | 0.5624 | 0.54448 | 0.57276 | 0.5549 | 0.60732 | 0.58901 |
| 1.9 | 0.55491 | 0.53964 | 0.47169 | 0.45684 | 0.53547 | 0.51983 | 0.54592 | 0.5303 | 0.57979 | 0.56377 |
| 1.8 | 0.52059 | 0.5111 | 0.44836 | 0.43894 | 0.5023 | 0.49263 | 0.51456 | 0.5048 | 0.53707 | 0.5273 |
| 1.6 | 0.51245 | 0.50424 | 0.46965 | 0.46102 | 0.50441 | 0.49578 | 0.51844 | 0.5097 | 0.5227 | 0.51424 |
| 2.0 | 0.57874 | 0.56801 | 0.48779 | 0.47748 | 0.55955 | 0.54849 | 0.56805 | 0.5571 | 0.61257 | 0.60111 |
| 1.8 | 0.55287 | 0.53354 | 0.48039 | 0.46121 | 0.53547 | 0.51556 | 0.54782 | 0.5278 | 0.57053 | 0.55046 |
| 2.0 | 0.56001 | 0.54193 | 0.4698 | 0.45245 | 0.54027 | 0.52179 | 0.5489 | 0.5305 | 0.5926 | 0.57341 |
| 1.6 | 0.47506 | 0.46643 | 0.43038 | 0.4213 | 0.46537 | 0.45646 | 0.47909 | 0.4701 | 0.48439 | 0.47562 |
| 1.9 | 0.55801 | 0.53918 | 0.4747 | 0.45639 | 0.53865 | 0.51936 | 0.5491 | 0.5298 | 0.58305 | 0.56329 |
| 1.6 | 0.50927 | 0.49708 | 0.46631 | 0.45351 | 0.50106 | 0.48828 | 0.51507 | 0.5022 | 0.51942 | 0.50689 |
| 1.8 | 0.53193 | 0.51335 | 0.45961 | 0.44118 | 0.5139 | 0.49492 | 0.5262 | 0.5072 | 0.54879 | 0.52962 |
| 2.0 | 0.58318 | 0.56422 | 0.49205 | 0.47384 | 0.56414 | 0.54459 | 0.5726 | 0.5532 | 0.61732 | 0.59708 |
| 1.7 | 0.50535 | 0.4862 | 0.4467 | 0.42715 | 0.49071 | 0.47109 | 0.50425 | 0.4845 | 0.51673 | 0.4972 |
| Testers | FVC | FEV1 | FVCC | FEV1C | E1% | E2% |
|---|---|---|---|---|---|---|
| 1 | 4512 | 4106 | 4519 | 4115 | 0.17 | 0.23 |
| 2 | 4121 | 3586 | 4109 | 3568 | −0.29 | −0.48 |
| 3 | 3692 | 3064 | 3711 | 3089 | 0.52 | 0.83 |
| 4 | 3921 | 3294 | 3898 | 3272 | −0.57 | −0.66 |
| 5 | 4338 | 3601 | 4333 | 3595 | −0.11 | −0.17 |
| 6 | 4007 | 3487 | 4040 | 3521 | 0.82 | 0.98 |
| 7 | 4871 | 4384 | 4883 | 4402 | 0.26 | 0.42 |
| 8 | 3827 | 3138 | 3812 | 3120 | −0.39 | −0.57 |
| 9 | 4633 | 3892 | 4643 | 3905 | 0.21 | 0.33 |
| 10 | 4418 | 4021 | 4449 | 4055 | 0.72 | 0.85 |
| No. | CT | Text | α1 | α2 | α3 | α4 | α5 | β1 | β2 | β3 | β4 | β5 |
|---|---|---|---|---|---|---|---|---|---|---|---|---|
| 1 | ROI-2 | ROI-2 | 103% | 27% | 100% | 86% | 33% | 0.86 | 0.33 | 0.79 | 0.82 | 0.85 |
| 2 | ROI-3 | ROI-3 | 105% | 106% | 41% | 103% | 106% | 0.92 | 0.72 | 0.56 | 0.91 | 0.82 |
| 3 | ROI-5 | ROI-5 | 103% | 102% | 108% | 109% | 52% | 0.91 | 0.85 | 0.82 | 0.76 | 0.31 |
| 4 | ROI-2 | ROI-2 | 106% | 43% | 105% | 102% | 104% | 0.88 | 0.42 | 0.83 | 0.87 | 0.86 |
| 5 | ROI-1 | ROI-1 | 38% | 104% | 107% | 109% | 103% | 0.46 | 0.75 | 0.82 | 0.79 | 0.81 |
| 6 | ROI-4 | ROI-4 | 107% | 105% | 106% | 50% | 99% | 0.93 | 0.87 | 0.79 | 0.45 | 0.75 |
| 7 | ROI-5 | ROI-5 | 107% | 101% | 106% | 104% | 0.49 | 0.93 | 0.89 | 0.86 | 0.81 | 0.49 |
| 8 | ROI-1 | ROI-1 | 55% | 105% | 102% | 104% | 1.01 | 0.62 | 0.9 | 0.91 | 0.93 | 0.91 |
| 9 | ROI-4 | ROI-4 | 101% | 105% | 103% | 43% | 1.07 | 0.88 | 0.83 | 0.77 | 0.42 | 0.72 |
| 10 | ROI-3 | ROI-3 | 104% | 110% | 58% | 101% | 0.98 | 0.78 | 0.8 | 0.4 | 0.86 | 0.93 |
Disclaimer/Publisher’s Note: The statements, opinions and data contained in all publications are solely those of the individual author(s) and contributor(s) and not of MDPI and/or the editor(s). MDPI and/or the editor(s) disclaim responsibility for any injury to people or property resulting from any ideas, methods, instructions or products referred to in the content. |
© 2024 by the authors. Licensee MDPI, Basel, Switzerland. This article is an open access article distributed under the terms and conditions of the Creative Commons Attribution (CC BY) license (https://creativecommons.org/licenses/by/4.0/).
Share and Cite
Zhang, Y.; Song, C.; He, W.; Zhang, Q.; Zhao, P.; Wang, J. Regional Pulmonary Ventilation Assessment Method and System Based on Impedance Sensing Information from the Pentapulmonary Lobes. Sensors 2024, 24, 3202. https://doi.org/10.3390/s24103202
Zhang Y, Song C, He W, Zhang Q, Zhao P, Wang J. Regional Pulmonary Ventilation Assessment Method and System Based on Impedance Sensing Information from the Pentapulmonary Lobes. Sensors. 2024; 24(10):3202. https://doi.org/10.3390/s24103202
Chicago/Turabian StyleZhang, Yapeng, Chengxin Song, Wei He, Qian Zhang, Pengcheng Zhao, and Jingang Wang. 2024. "Regional Pulmonary Ventilation Assessment Method and System Based on Impedance Sensing Information from the Pentapulmonary Lobes" Sensors 24, no. 10: 3202. https://doi.org/10.3390/s24103202
APA StyleZhang, Y., Song, C., He, W., Zhang, Q., Zhao, P., & Wang, J. (2024). Regional Pulmonary Ventilation Assessment Method and System Based on Impedance Sensing Information from the Pentapulmonary Lobes. Sensors, 24(10), 3202. https://doi.org/10.3390/s24103202

