The Influence of External Parameters on the Ripeness of Pumpkins
Abstract
:1. Introduction
2. Materials and Methodology
2.1. Experimental Greenhouse Description
2.2. Plant Materials and Growth Conditions
2.3. Environmental Parameters and Sensor Information and Placement
2.4. Evaluation Method for Optimal Sensor Placement
Entropy-Based Method
2.5. Determination of Optimal Sensor Positioning
2.6. Analysis of Environmental Data
3. Results and Discussions
3.1. An Analysis Using Descriptive Statistics for Data on Indoor Environments Gathered over Time
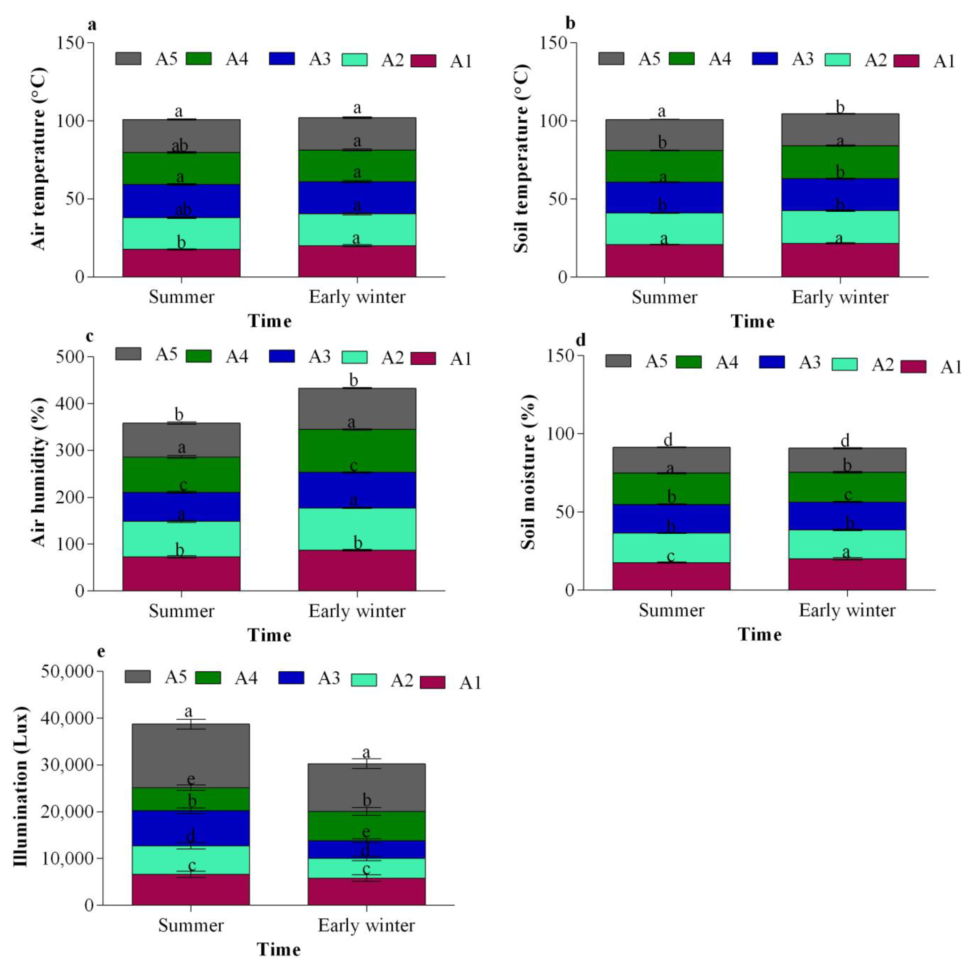
3.2. Descriptive Statistical Evaluation of Sensor A1–A5 Data from Indoor Environments
3.3. Optimal Sensor Placements (A1–A5)
3.4. Evaluation of Optimal Sensor Placement (A1–A5)
3.5. The Influence of Outdoor Environmental Conditions on the Microclimate in Greenhouses
3.6. Plant Physiological Measurements
4. Conclusions
Author Contributions
Funding
Institutional Review Board Statement
Informed Consent Statement
Data Availability Statement
Acknowledgments
Conflicts of Interest
References
- Dhatt, A.S.; Sharma, M.; Kaur, B. Advances in improvement of pumpkin and squashes. In Accelerated Plant Breeding, Volume 2: Vegetable Crops; Springer: Cham, Switzerland, 2020; pp. 301–335. [Google Scholar]
- Abdel-Ghany, A.; Al-Helal, I. Solar energy utilization by a greenhouse: General relations. Renew. Energy 2011, 36, 189–196. [Google Scholar] [CrossRef]
- Yang, L.; An, D. Handbook of Chinese Mythology; Handbooks of World Mythology; Oxford University Press: Oxford, UK, 2008; p. 71. [Google Scholar]
- Langeroodi, A.R.S.; Campiglia, E.; Mancinelli, R.; Radicetti, E. Can biochar improve pumpkin productivity and its physiological characteristics under reduced irrigation regimes? Sci. Hortic. 2019, 247, 195–204. [Google Scholar] [CrossRef]
- Kumar, R.; Reddy, K.M. Impact of climate change on cucurbitaceous vegetables in relation to increasing temperature and drought. In Advances in Research on Vegetable Production under a Changing Climate Vol. 1; Springer: Cham, Switzerland, 2021; pp. 175–195. [Google Scholar]
- Das, D.K.; Mandal, M. Advanced technology of fertilizer uses for crop production. In Fertilizer Technology I Synthesıs; Sinha, S., Pant, K.K., Bajpai, S., Eds.; Studium Press LLC: Houston, TX, USA, 2015; pp. 101–150. [Google Scholar]
- Karunathilake, E.; Le, A.T.; Heo, S.; Chung, Y.S.; Mansoor, S. The path to smart farming: Innovations and opportunities in precision agriculture. Agriculture 2023, 13, 1593. [Google Scholar] [CrossRef]
- Ferrández-Pastor, F.J.; García-Chamizo, J.M.; Nieto-Hidalgo, M.; Mora-Pascual, J.; Mora-Martínez, J. Developing ubiquitous sensor network platform using internet of things: Application in precision agriculture. Sensors 2016, 16, 1141. [Google Scholar] [CrossRef]
- Jiang, Z.-X.; Zheng, H.; Li, F.-M.; Wang, Z.-Y. Preliminary assessment of the potential of biochar technology in mitigating the greenhouse effect in China. Huan Jing Ke Xue Huanjing Kexue 2013, 34, 2486–2492. [Google Scholar]
- Wang, W.-D.; Guo, J.; Fang, L.-G.; Chang, X.-S. A subjective and objective integrated weighting method for landslides susceptibility mapping based on GIS. Environ. Earth Sci. 2012, 65, 1705–1714. [Google Scholar] [CrossRef]
- Barrile, V.; Simonetti, S.; Citroni, R.; Fotia, A.; Bilotta, G. Experimenting agriculture 4.0 with sensors: A data fusion approach between remote sensing, UAVs and self-driving tractors. Sensors 2022, 22, 7910. [Google Scholar] [CrossRef]
- Mall, R. Fundamentals of Software Engineering; PHI Learning Pvt. Ltd.: Delhi, India, 2018. [Google Scholar]
- Wuest, S.E.; Peter, R.; Niklaus, P.A. Ecological and evolutionary approaches to improving crop variety mixtures. Nat. Ecol. Evol. 2021, 5, 1068–1077. [Google Scholar] [CrossRef]
- Khan, N.; Ray, R.L.; Sargani, G.R.; Ihtisham, M.; Khayyam, M.; Ismail, S. Current progress and future prospects of agriculture technology: Gateway to sustainable agriculture. Sustainability 2021, 13, 4883. [Google Scholar] [CrossRef]
- Lee, S.-Y.; Lee, I.-B.; Yeo, U.-H.; Kim, R.-W.; Kim, J.-G. Optimal sensor placement for monitoring and controlling greenhouse internal environments. Biosyst. Eng. 2019, 188, 190–206. [Google Scholar] [CrossRef]
- Hamedalla, A.M.; Ali, M.M.; Ali, W.M.; Ahmed, M.A.; Kaseb, M.O.; Kalaji, H.M.; Gajc-Wolska, J.; Yousef, A.F. Increasing the performance of cucumber (Cucumis sativus L.) seedlings by LED illumination. Sci. Rep. 2022, 12, 852. [Google Scholar] [CrossRef] [PubMed]
- Liu, Y.; Liu, X.; Chai, Y.; Yang, L.; Wei, W.; Gu, J.; Kang, H. Experimental study on indoor environmental factors of double film solar greenhouse and traditional Chinese greenhouse in cold region. Energy Explor. Exploit. 2022, 40, 1760–1787. [Google Scholar] [CrossRef]
- Shamshiri, R.R.; Jones, J.W.; Thorp, K.R.; Ahmad, D.; Man, H.C.; Taheri, S. Review of optimum temperature, humidity, and vapour pressure deficit for microclimate evaluation and control in greenhouse cultivation of tomato: A review. Int. Agrophysics 2018, 32, 287–302. [Google Scholar] [CrossRef]
- Ismail, W.I.W.; Shamshiri, R.; Ahmad, D.; Janius, R. Adaptability factors for open-field tomato production in east and west of Malaysia. In Proceedings of the 2015 ASABE Annual International Meeting, New Orleans, LA, USA, 26–29 July 2015; p. 1. [Google Scholar]
- Rezvani, S.M.-E.; Abyaneh, H.Z.; Shamshiri, R.R.; Balasundram, S.K.; Dworak, V.; Goodarzi, M.; Sultan, M.; Mahns, B. IoT-based sensor data fusion for determining optimality degrees of microclimate parameters in commercial greenhouse production of tomato. Sensors 2020, 20, 6474. [Google Scholar] [CrossRef] [PubMed]
- De Visser, P.H.; Buck-Sorlin, G.H.; van Der Heijden, G.W. Optimizing illumination in the greenhouse using a 3D model of tomato and a ray tracer. Front. Plant Sci. 2014, 5, 48. [Google Scholar] [CrossRef] [PubMed]
- Hovi-Pekkanen, T.; Tahvonen, R. Effects of interlighting on yield and external fruit quality in year-round cultivated cucumber. Sci. Hortic. 2008, 116, 152–161. [Google Scholar] [CrossRef]
- Trouwborst, G.; Oosterkamp, J.; Hogewoning, S.W.; Harbinson, J.; Van Ieperen, W. The responses of light interception, photosynthesis and fruit yield of cucumber to LED-lighting within the canopy. Physiol. Plant. 2010, 138, 289–300. [Google Scholar] [CrossRef]
- Sarlikioti, V.; de Visser, P.H.; Buck-Sorlin, G.; Marcelis, L. How plant architecture affects light absorption and photosynthesis in tomato: Towards an ideotype for plant architecture using a functional–structural plant model. Ann. Bot. 2011, 108, 1065–1073. [Google Scholar] [CrossRef]
- Kochhar, A.; Kumar, N. Wireless sensor networks for greenhouses: An end-to-end review. Comput. Electron. Agric. 2019, 163, 104877. [Google Scholar] [CrossRef]
- Lee, A.J. U-Statistics: Theory and Practice; Routledge: London, UK, 2019. [Google Scholar]
- Basak, J.K.; Okyere, F.G.; Arulmozhi, E.; Park, J.; Khan, F.; Kim, H.T. Artificial neural networks and multiple linear regression as potential methods for modelling body surface temperature of pig. J. Appl. Anim. Res. 2020, 48, 207–219. [Google Scholar] [CrossRef]
- Abdipour, M.; Ramazani, S.H.R.; Younessi-Hmazekhanlu, M.; Niazian, M. Modeling oil content of sesame (Sesamum indicum L.) using artificial neural network and multiple linear regression approaches. J. Am. Oil Chem. Soc. 2018, 95, 283–297. [Google Scholar] [CrossRef]
- Yan, Z.; Cheng, J.; Wan, Z.; Wang, B.; Lin, D.; Yang, Y. Prediction Model of Pumpkin Rootstock Seedlings Based on Temperature and Light Responses. Agronomy 2023, 13, 516. [Google Scholar] [CrossRef]






| Environmental Parameter | Position of Sensors | |||||
|---|---|---|---|---|---|---|
| A1 | A2 | A3 | A4 | A5 | ||
| Air temperature (°C) | Summer average | 17.71 | 20.35 | 21.10 | 20.72 | 21.10 |
| Standard deviation (SD) | 1.98 | 2.29 | 2.63 | 2.47 | 2.63 | |
| Standard error of mean (±) | 0.36 | 0.41 | 0.47 | 0.44 | 0.47 | |
| Winter average | 20.12 | 20.32 | 20.63 | 20.38 | 20.63 | |
| Standard deviation | 3.94 | 3.41 | 3.20 | 3.12 | 3.19 | |
| Standard error of mean (±) | 0.71 | 0.61 | 0.57 | 0.56 | 0.57 | |
| Air Humidity (%) | Summer average | 72.86 | 75.92 | 62.46 | 74.91 | 72.33 |
| Standard deviation | 12.80 | 12.90 | 10.95 | 15.48 | 13.74 | |
| Standard error of mean (±) | 2.30 | 2.32 | 1.97 | 2.78 | 2.46 | |
| Early winter average | 87.10 | 90.79 | 75.19 | 91.67 | 88.40 | |
| Standard deviation | 8.26 | 7.58 | 7.08 | 6.38 | 8.06 | |
| Standard error of mean (±) | 1.48 | 1.36 | 1.27 | 1.14 | 1.45 | |
| Soil Temperature (°C) | Summer average | 20.85 | 20.27 | 19.80 | 20.27 | 19.79 |
| Standard deviation | 1.35 | 1.32 | 1.30 | 1.33 | 1.30 | |
| Standard error of mean (±) | 0.24 | 0.24 | 0.23 | 0.24 | 0.23 | |
| Winter average | 21.73 | 20.89 | 20.42 | 21.15 | 20.42 | |
| Standard deviation | 2.15 | 2.20 | 1.99 | 1.93 | 1.99 | |
| Standard error of mean (±) | 0.39 | 0.40 | 0.36 | 0.34 | 0.36 | |
| Soil humidity (%) | Summer average | 17.71 | 18.89 | 18.36 | 19.79 | 16.58 |
| Standard deviation | 1.98 | 1.43 | 1.75 | 1.64 | 1.64 | |
| Standard error of mean (±) | 0.36 | 0.26 | 0.32 | 0.30 | 0.30 | |
| Early winter average | 20.13 | 18.44 | 17.86 | 18.93 | 15.39 | |
| Standard deviation | 3.94 | 3.05 | 2.10 | 3.09 | 1.74 | |
| Standard error of mean (±) | 0.70 | 0.55 | 0.38 | 0.55 | 0.31 | |
| Illumination (Lux) | Summer average | 6621.90 | 6166.12 | 7423.21 | 4951.15 | 13,605.80 |
| Standard deviation | 3711.63 | 3719.95 | 3597.51 | 3083.38 | 5763.83 | |
| Standard error of mean (±) | 666.63 | 668.12 | 646.13 | 553.79 | 1035.21 | |
| Early winter average | 5825.96 | 4221.70 | 3798.98 | 6229.10 | 10,201.64 | |
| Standard deviation | 3938.61 | 2720.18 | 2476.91 | 4494.80 | 5838.62 | |
| Standard error of mean (±) | 707.40 | 488.56 | 444.87 | 807.29 | 1048.65 | |
| Environmental Parameter | Position of Sensors | |||||
|---|---|---|---|---|---|---|
| Air temperature (°C) | Summer | A1 | A2 | A3 | A4 | A5 |
| MSE | 1.06 | 1.27 | 0.24 | 0.48 | 0.34 | |
| RMSE | 1.03 | 1.13 | 0.49 | 0.69 | 0.58 | |
| MAPE (%) | 3.21 | 4.71 | 1.92 | 2.53 | 2.08 | |
| Early winter | ||||||
| MSE | 3.27 | 2.50 | 0.61 | 1.02 | 0.84 | |
| RMSE | 1.81 | 1.58 | 0.78 | 1.01 | 0.92 | |
| MAPE (%) | 6.51 | 7.14 | 3.28 | 3.74 | 3.53 | |
| Soil temperature (°C) | Summer | |||||
| MSE | 0.34 | 0.53 | 0.43 | 1.23 | 0.34 | |
| RMSE | 0.58 | 0.73 | 0.66 | 1.11 | 0.58 | |
| MAPE | 2.28 | 2.95 | 2.07 | 4.22 | 2.17 | |
| Early winter | ||||||
| MSE | 1.29 | 0.97 | 0.44 | 1.31 | 0.48 | |
| RMSE | 1.13 | 0.98 | 0.67 | 1.14 | 0.69 | |
| MAPE | 4.78 | 3.62 | 2.27 | 4.39 | 2.61 | |
| Air humidity (%) | Summer | |||||
| MSE | 5.16 | 4.97 | 0.33 | 1.55 | 1.08 | |
| RMSE | 2.26 | 2.22 | 0.58 | 1.24 | 1.04 | |
| MAPE | 2.32 | 2.21 | 0.81 | 1.50 | 1.29 | |
| Early winter | ||||||
| MSE | 5.01 | 9.8 | 0.72 | 3.33 | 1.57 | |
| RMSE | 2.25 | 3.13 | 0.85 | 1.83 | 1.25 | |
| MAPE | 2.12 | 2.92 | 0.89 | 1.83 | 1.27 | |
| Soil humidity (%) | Summer | |||||
| MSE | 1.04 | 0.59 | 0.31 | 4.58 | 0.30 | |
| RMSE | 1.02 | 0.77 | 0.56 | 2.14 | 0.54 | |
| MAPE | 5.18 | 3.52 | 2.57 | 8.70 | 2.71 | |
| Early winter | ||||||
| MSE | 2.63 | 1.90 | 0.25 | 3.76 | 0.40 | |
| RMSE | 1.62 | 1.38 | 0.50 | 1.94 | 0.63 | |
| MAPE | 4.49 | 5.59 | 2.39 | 7.85 | 2.70 | |
| Illumination (Lux) | Summer | |||||
| MSE | 311,412.90 | 122,500 | 3219.43 | 276,781.21 | 3252.42 | |
| RMSE | 558.04 | 350 | 56.74 | 526.1 | 57.03 | |
| MAPE | 6.82 | 11.95 | 1.26 | 19.59 | 0.56 | |
| Early winter | ||||||
| MSE | 250,000 | 67,600 | 3995.50 | 202,815.12 | 64,526.16 | |
| RMSE | 500 | 260 | 63.21 | 450.35 | 254.02 | |
| MAPE | 14.24 | 10.79 | 3.04 | 16.42 | 3.97 | |
| Error-Based Method | Entropy-Based Method | ||||||||||||
|---|---|---|---|---|---|---|---|---|---|---|---|---|---|
| Air Temperature (°C) | Air Temperature (°C) | ||||||||||||
| Sensor Location | Sensor Location | ||||||||||||
| Number of sensors | 1 | 2 | 3 | 4 | 5 | Number of sensors | 1 | 2 | 3 | 4 | 5 | ||
| 1 | 1 | ||||||||||||
| 2 | 2 | ||||||||||||
| 3 | 3 | ||||||||||||
| 4 | 4 | ||||||||||||
| 5 | 5 | ||||||||||||
| Soil temperature (°C) | Soil temperature (°C) | ||||||||||||
| 1 | 2 | 3 | 4 | 5 | 1 | 2 | 3 | 4 | 5 | ||||
| Number of sensors | 1 | Number of sensors | 1 | ||||||||||
| 2 | 2 | ||||||||||||
| 3 | 3 | ||||||||||||
| 4 | 4 | ||||||||||||
| 5 | 5 | ||||||||||||
| Air humidity (%) | Air humidity (%) | ||||||||||||
| 1 | 2 | 3 | 4 | 5 | 1 | 2 | 3 | 4 | 5 | ||||
| Number of sensors | 1 | Number of sensors | 1 | ||||||||||
| 2 | 2 | ||||||||||||
| 3 | 3 | ||||||||||||
| 4 | 4 | ||||||||||||
| 5 | 5 | ||||||||||||
| Soil humidity (%) | Soil humidity (%) | ||||||||||||
| 1 | 2 | 3 | 4 | 5 | 1 | 2 | 3 | 4 | 5 | ||||
| Number of sensors | 1 | Number of sensors | 1 | ||||||||||
| 2 | 2 | ||||||||||||
| 3 | 3 | ||||||||||||
| 4 | 4 | ||||||||||||
| 5 | 5 | ||||||||||||
| Illumination (Lux) | Illumination (Lux) | ||||||||||||
| 1 | 2 | 3 | 4 | 5 | 1 | 2 | 3 | 4 | 5 | ||||
| Number of sensors | 1 | Number of sensors | 1 | ||||||||||
| 2 | 2 | ||||||||||||
| 3 | 3 | ||||||||||||
| 4 | 4 | ||||||||||||
| 5 | 5 | ||||||||||||
| Error-Based Method | Entropy-Based Method | ||||||||||||
|---|---|---|---|---|---|---|---|---|---|---|---|---|---|
| Air Temperature (°C) | Air Temperature (°C) | ||||||||||||
| Position of Sensor | Position of Sensor | ||||||||||||
| Number of sensors | 1 | 2 | 3 | 4 | 5 | Number of sensors | 1 | 2 | 3 | 4 | 5 | ||
| 1 | 1 | ||||||||||||
| 2 | 2 | ||||||||||||
| 3 | 3 | ||||||||||||
| 4 | 4 | ||||||||||||
| 5 | 5 | ||||||||||||
| Soil temperature (°C) | Soil temperature (°C) | ||||||||||||
| 1 | 2 | 3 | 4 | 5 | 1 | 2 | 3 | 4 | 5 | ||||
| Number of sensors | 1 | Number of sensors | 1 | ||||||||||
| 2 | 2 | ||||||||||||
| 3 | 3 | ||||||||||||
| 4 | 4 | ||||||||||||
| 5 | 5 | ||||||||||||
| Air humidity (%) | Air humidity (%) | ||||||||||||
| 1 | 2 | 3 | 4 | 5 | 1 | 2 | 3 | 4 | 5 | ||||
| Number of sensors | 1 | Number of sensors | 1 | ||||||||||
| 2 | 2 | ||||||||||||
| 3 | 3 | ||||||||||||
| 4 | 4 | ||||||||||||
| 5 | 5 | ||||||||||||
| Soil humidity (%) | Soil humidity (%) | ||||||||||||
| 1 | 2 | 3 | 4 | 5 | 1 | 2 | 3 | 4 | 5 | ||||
| Number of sensors | 1 | Number of sensors | 1 | ||||||||||
| 2 | 2 | ||||||||||||
| 3 | 3 | ||||||||||||
| 4 | 4 | ||||||||||||
| 5 | 5 | ||||||||||||
| Illumination (Lux) | Illumination (Lux) | ||||||||||||
| 1 | 2 | 3 | 4 | 5 | 1 | 2 | 3 | 4 | 5 | ||||
| Number of sensors | 1 | Number of sensors | 1 | ||||||||||
| 2 | 2 | ||||||||||||
| 3 | 3 | ||||||||||||
| 4 | 4 | ||||||||||||
| 5 | 5 | ||||||||||||
| A3 Sensor | 1 | 2 | 3 | 4 | 5 | 6 | 7 | 8 |
|---|---|---|---|---|---|---|---|---|
| Outside soil humidity | 1 | |||||||
| Inside soil humidity | −0.107 | 1 | ||||||
| Outside air humidity | −0.743 | −0.129 | 1 | |||||
| Inside air humidity | 0.919 ** | 0.109 | −0.917 * | 1 | ||||
| Outside air temperature | −0.847 * | 0.082 | 0.930 ** | −0.897 * | 1 | |||
| Inside air temperature | −0.910 * | −0.046 | 0.476 | −0.779 | −0.887 * | 1 | ||
| Outside soil temperature | 0.099 | −0.104 | −0.071 | 0.188 | 0.148 | −0.149 | 1 | |
| Inside soil temperature | −0.004 | −0.153 | 0.118 | −0.077 | −0.115 | −0.054 | −0.649 | 1 |
Disclaimer/Publisher’s Note: The statements, opinions and data contained in all publications are solely those of the individual author(s) and contributor(s) and not of MDPI and/or the editor(s). MDPI and/or the editor(s) disclaim responsibility for any injury to people or property resulting from any ideas, methods, instructions or products referred to in the content. |
© 2023 by the authors. Licensee MDPI, Basel, Switzerland. This article is an open access article distributed under the terms and conditions of the Creative Commons Attribution (CC BY) license (https://creativecommons.org/licenses/by/4.0/).
Share and Cite
Emah, K.; Hu, L.; Boamah, S.; Chukwuka, S.; Tiika, R.J.; Zhang, K.; Tie, J.; Tang, Z.; Yu, J. The Influence of External Parameters on the Ripeness of Pumpkins. Sensors 2024, 24, 143. https://doi.org/10.3390/s24010143
Emah K, Hu L, Boamah S, Chukwuka S, Tiika RJ, Zhang K, Tie J, Tang Z, Yu J. The Influence of External Parameters on the Ripeness of Pumpkins. Sensors. 2024; 24(1):143. https://doi.org/10.3390/s24010143
Chicago/Turabian StyleEmah, Kubiat, Linli Hu, Solomon Boamah, Sylvester Chukwuka, Richard John Tiika, Kai Zhang, Jianzhong Tie, Zhongqi Tang, and Jihua Yu. 2024. "The Influence of External Parameters on the Ripeness of Pumpkins" Sensors 24, no. 1: 143. https://doi.org/10.3390/s24010143
APA StyleEmah, K., Hu, L., Boamah, S., Chukwuka, S., Tiika, R. J., Zhang, K., Tie, J., Tang, Z., & Yu, J. (2024). The Influence of External Parameters on the Ripeness of Pumpkins. Sensors, 24(1), 143. https://doi.org/10.3390/s24010143
