Q-Learning-Based Pending Zone Adjustment for Proximity Classification
Abstract
1. Introduction
2. System Model
2.1. System Architecture
2.2. Distance Estimation Model
2.2.1. iBeacon Model
2.2.2. Linear Regression Model
2.2.3. Deep Learning Model
3. Design of QPZA
4. Implementation and Performance Evaluation
4.1. Implementation
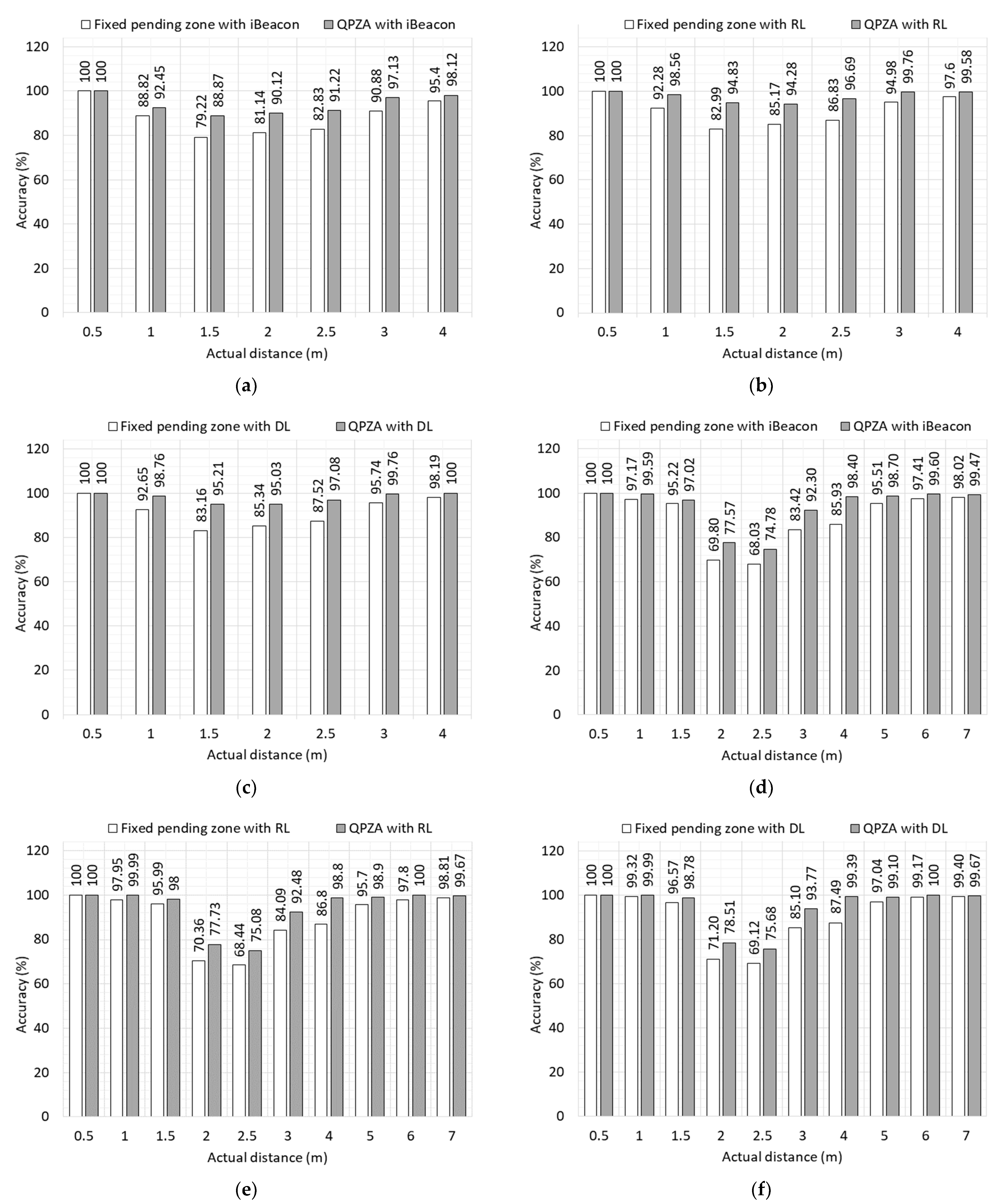
4.2. Performance Evaluation
5. Conclusions
Author Contributions
Funding
Institutional Review Board Statement
Informed Consent Statement
Data Availability Statement
Conflicts of Interest
References
- Mackey, A.; Spachos, P.; Song, L.; Plataniotis, K.N. Improving BLE Beacon Proximity Estimation Accuracy through Bayesian Filtering. IEEE Internet Things J. 2020, 7, 3160–3169. [Google Scholar] [CrossRef]
- Flueratoru, L.; Shubina, V.; Niculescu, D.; Lohan, E.S. On the High Fluctuations of Received Signal Strength Measurements With BLE Signals for Contact Tracing and Proximity Detection. IEEE Sens. J. 2022, 22, 5086–5100. [Google Scholar] [CrossRef]
- Farahsari, P.S.; Farahzadi, A.; Rezazadeh, J.; Bagheri, A. A Survey on Indoor Positioning Systems for IoT-Based Applications. IEEE Internet Things J. 2022, 9, 7680–7699. [Google Scholar] [CrossRef]
- Lohan, E.S.; Shubina, V.; Niculescu, D. Perturbed-Location Mechanism for Increased User-Location Privacy in Proximity Detection and Digital Contact-Tracing Applications. Sensors 2022, 22, 687. [Google Scholar] [CrossRef]
- Lin, Q.; Son, J. Analysis of Bluetooth RSSI for Proximity Detection of Ship Passengers. Appl. Sci. 2022, 12, 517. [Google Scholar] [CrossRef]
- Zafari, F.; Gkelias, A.; Leung, K.K. A Survey of Indoor Localization Systems and Technologies. IEEE Commun. Surv. Tutor. 2019, 21, 2568–2599. [Google Scholar] [CrossRef]
- Su, Z.; Pahlavan, K.; Agu, E. Performance Evaluation of COVID-19 Proximity Detection Using Bluetooth LE Signal. IEEE Access 2021, 9, 38891–38906. [Google Scholar] [CrossRef]
- Shubina, V.; Holcer, S.; Gould, M.; Lohan, E.S. Survey of Decentralized Solutions with Mobile Devices for User Location Tracking, Proximity Detection, and Contact Tracing in the COVID-19 Era. Data 2020, 5, 87. [Google Scholar] [CrossRef]
- Nagah Amr, M.; ELAttar, H.M.; Abd El Azeem, M.H.; El Badawy, H. An Enhanced Indoor Positioning Technique Based on a Novel Received Signal Strength Indicator Distance Prediction and Correction Model. Sensors 2021, 21, 719. [Google Scholar] [CrossRef]
- Mahfouz, S.; Mourad-Chehade, F.; Honeine, P.; Farah, J.; Snoussi, H. Non-Parametric and Semi-Parametric RSSI/Distance Modeling for Target Tracking in Wireless Sensor Networks. IEEE Sens. J. 2016, 16, 2115–2126. [Google Scholar] [CrossRef]
- Assayag, Y.; Oliveira, H.; Souto, E.; Barreto, R.; Pazzi, R. Indoor Positioning System Using Dynamic Model Estimation. Sensors 2020, 20, 7003. [Google Scholar] [CrossRef] [PubMed]
- Savić, T.; Vilajosana, X.; Watteyne, T. Constrained Localization: A Survey. IEEE Access 2022, 10, 49297–49321. [Google Scholar] [CrossRef]
- Qureshi, U.M.; Umair, Z.; Hancke, G.P. Evaluating the Implications of Varying Bluetooth Low Energy (BLE) Transmission Power Levels on Wireless Indoor Localization Accuracy and Precision. Sensors 2019, 19, 3282. [Google Scholar] [CrossRef] [PubMed]
- Pinto, B.; Barreto, R.; Souto, E.; Oliveira, H. Robust RSSI-Based Indoor Positioning System Using K-Means Clustering and Bayesian Estimation. IEEE Sens. J. 2021, 21, 24462–24470. [Google Scholar] [CrossRef]
- Booranawong, A.; Sengchuai, K.; Jindapetch, N. Implementation and test of an RSSI-based indoor target localization system: Human movement effects on the accuracy. Measurement 2019, 133, 370–382. [Google Scholar] [CrossRef]
- Alsmadi, L.; Kong, X.; Sandrasegaran, K.; Fang, G. An Improved Indoor Positioning Accuracy Using Filtered RSSI and Beacon Weight. IEEE Sens. J. 2021, 21, 18205–18213. [Google Scholar] [CrossRef]
- Yao, Y.; Xiao, B.; Wu, G.; Liu, X.; Yu, Z.; Zhang, K.; Zhou, X. Multi-Channel Based Sybil Attack Detection in Vehicular Ad Hoc Networks Using RSSI. IEEE. Trans. Mob. Comput. 2019, 18, 362–375. [Google Scholar] [CrossRef]
- Nishida, D.; Tsuzura, K.; Kudoh, S.; Takai, K.; Momodori, T.; Asada, N.; Mori, T.; Suehiro, T.; Tomizawa, T. Development of Intelligent Automatic Door System. In Proceedings of the 2014 IEEE International Conference on Robotics and Automation (ICRA), Hong Kong, China, 31 May–7 June 2014; pp. 6368–6374. [Google Scholar] [CrossRef]
- Yin, L.; Jiang, T.; Deng, Z.; Wang, Z. Improved Fingerprint Localization Algorithm based on Channel State Information. In Proceedings of the 2019 IEEE 1st International Conference on Civil Aviation Safety and Information Technology (ICCASIT), Kunming, China, 17–19 October 2019; pp. 171–175. [Google Scholar] [CrossRef]
- iBeacon. Available online: https://developer.apple.com/ibeacon/ (accessed on 7 March 2023).
- Bauer, J.; Aschenbruck, N. Towards a Low-cost RSSI-based Crop Monitoring. ACM Trans. Internet Things 2020, 1, 1–26. [Google Scholar] [CrossRef]
- Park, K.-E.; Lee, J.-P.; Kim, Y. Deep Learning-Based Indoor Distance Estimation Scheme Using FMCW Radar. Information 2021, 12, 80. [Google Scholar] [CrossRef]
- Liu, K.; Wang, W.; Wang, J. Pedestrian Detection with Lidar Point Clouds Based on Single Template Matching. Electronics 2019, 8, 780. [Google Scholar] [CrossRef]
- Raspberry Pi Documentation. Available online: https://www.raspberrypi.org/documentation/ (accessed on 7 March 2023).
- BlueZ library-Linux Bluetooth Protocol Stack. Available online: http://www.bluez.org/ (accessed on 7 March 2023).
- sklearn.linear_model.LinearRegression. Available online: https://scikit-learn.org/stable/modules/generated/sklearn.linear_model.LinearRegression.html (accessed on 7 March 2023).
- Park, J.; Aryal, P.; Mandumula, S.R.; Asolkar, R.P. An Optimized DNN Model for Real-Time Inferencing on an Embedded Device. Sensors 2023, 23, 3992. [Google Scholar] [CrossRef]







| Q-Table for Near Boundary | Action | |||
|---|---|---|---|---|
| Decrease | Keep | Increase | ||
| State | ||||
| … | … | … | … | |
| Q-Table for Far Boundary () | Action | |||
|---|---|---|---|---|
| Decrease | Keep | Increase | ||
| State | ||||
| … | … | … | … | |
| Component | Description |
|---|---|
| Operating system | Windows 10 Pro 64 bit |
| Processor | Intel core i7-8700 CPU 3.20 GHz |
| HDD | 500 GB |
| RAM | 8 GB |
| Web server | Apache Tomcat |
| Database | MySQL |
| State | Small Room | Large Room | ||
|---|---|---|---|---|
| Near Boundary (m) | Far Boundary (m) | Near Boundary (m) | Far Boundary (m) | |
| 1 | 1.00 | 1.50 | 1.93 | 2.50 |
| 2 | 1.17 | 1.67 | 2.12 | 2.72 |
| 3 | 1.33 | 1.83 | 2.19 | 2.75 |
| 4 | 1.50 | 2.00 | 2.25 | 2.81 |
| 5 | - | - | 2.28 | 2.88 |
| 6 | - | - | 2.50 | 3.07 |
| Actual Distance (m) | Estimated Distance (m) | RMSE | ||||
|---|---|---|---|---|---|---|
| iBeacon | Linear Regression | Deep Learning | iBeacon | Linear Regression | Deep Learning | |
| 0.5 | 0.76 | 0.86 | 0.48 | 0.30 | 0.37 | 1.14 |
| 1 | 1.64 | 1.21 | 1.03 | 0.76 | 0.26 | 0.92 |
| 1.5 | 2.52 | 1.36 | 1.66 | 1.23 | 0.18 | 0.78 |
| 2 | 2.55 | 1.49 | 2.36 | 7.44 | 1.00 | 0.70 |
| 2.5 | 7.91 | 2.59 | 2.52 | 2.69 | 0.53 | 0.66 |
| 3 | 4.75 | 2.03 | 2.59 | 9.95 | 1.15 | 0.66 |
| 4 | 10.22 | 2.93 | 2.69 | 1.43 | 2.19 | 0.71 |
| Average | - | - | - | 3.40 | 0.81 | 0.80 |
| Actual Distance (m) | Estimated Distance (m) | RMSE | ||||
|---|---|---|---|---|---|---|
| iBeacon | Linear Regression | Deep Learning | iBeacon | Linear Regression | Deep Learning | |
| 0.5 | 0.68 | 0.71 | 0.44 | 0.23 | 0.23 | 1.18 |
| 1 | 1.59 | 1.23 | 1.09 | 0.74 | 0.33 | 0.95 |
| 1.5 | 2.40 | 1.61 | 1.54 | 0.46 | 0.13 | 0.79 |
| 2 | 1.91 | 1.40 | 2.14 | 2.84 | 0.86 | 0.69 |
| 2.5 | 4.16 | 2.37 | 3.51 | 5.03 | 1.37 | 0.63 |
| 3 | 5.68 | 2.96 | 2.57 | 5.27 | 1.42 | 0.61 |
| 4 | 6.98 | 3.48 | 3.62 | 1.77 | 1.04 | 0.64 |
| 5 | 5.68 | 3.02 | 4.29 | 2.25 | 2.08 | 0.71 |
| 6 | 5.82 | 3.05 | 6.15 | 14.39 | 2.73 | 0.85 |
| 7 | 18.27 | 7.66 | 6.34 | 4.95 | 3.01 | 0.96 |
| Average | - | - | - | 3.79 | 1.32 | 0.80 |
Disclaimer/Publisher’s Note: The statements, opinions and data contained in all publications are solely those of the individual author(s) and contributor(s) and not of MDPI and/or the editor(s). MDPI and/or the editor(s) disclaim responsibility for any injury to people or property resulting from any ideas, methods, instructions or products referred to in the content. |
© 2023 by the authors. Licensee MDPI, Basel, Switzerland. This article is an open access article distributed under the terms and conditions of the Creative Commons Attribution (CC BY) license (https://creativecommons.org/licenses/by/4.0/).
Share and Cite
Kwon, J.-H.; Lee, S.-B.; Kim, E.-J. Q-Learning-Based Pending Zone Adjustment for Proximity Classification. Sensors 2023, 23, 4352. https://doi.org/10.3390/s23094352
Kwon J-H, Lee S-B, Kim E-J. Q-Learning-Based Pending Zone Adjustment for Proximity Classification. Sensors. 2023; 23(9):4352. https://doi.org/10.3390/s23094352
Chicago/Turabian StyleKwon, Jung-Hyok, Sol-Bee Lee, and Eui-Jik Kim. 2023. "Q-Learning-Based Pending Zone Adjustment for Proximity Classification" Sensors 23, no. 9: 4352. https://doi.org/10.3390/s23094352
APA StyleKwon, J.-H., Lee, S.-B., & Kim, E.-J. (2023). Q-Learning-Based Pending Zone Adjustment for Proximity Classification. Sensors, 23(9), 4352. https://doi.org/10.3390/s23094352

