Passive Backscatter Communication Scheme for OFDM-IM with Dynamic Carrier Activation
Abstract
1. Introduction
2. Model of OFDM Backscatter System
3. Backscatter OFDM-IM Scheme
3.1. Backscatter Modulation
3.2. Subcarrier Activation Scheme
3.3. Signal Detection
4. BER Analysis
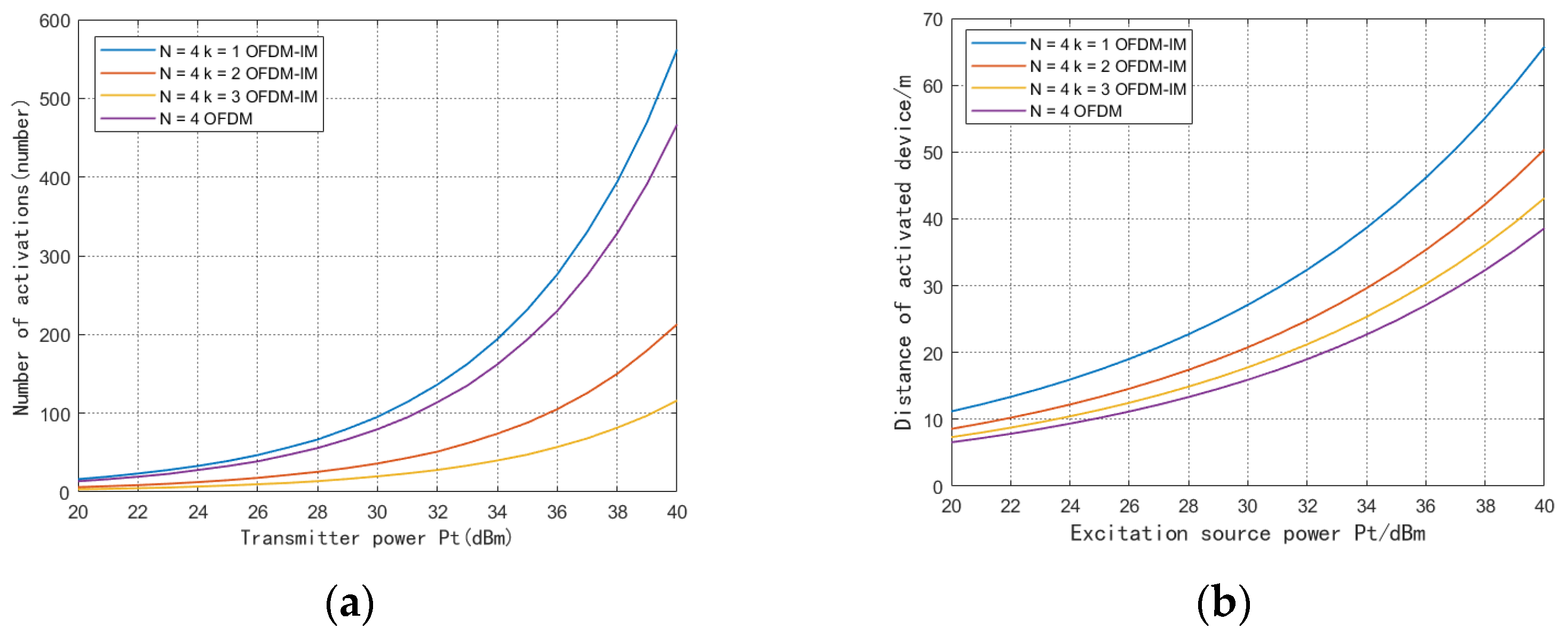
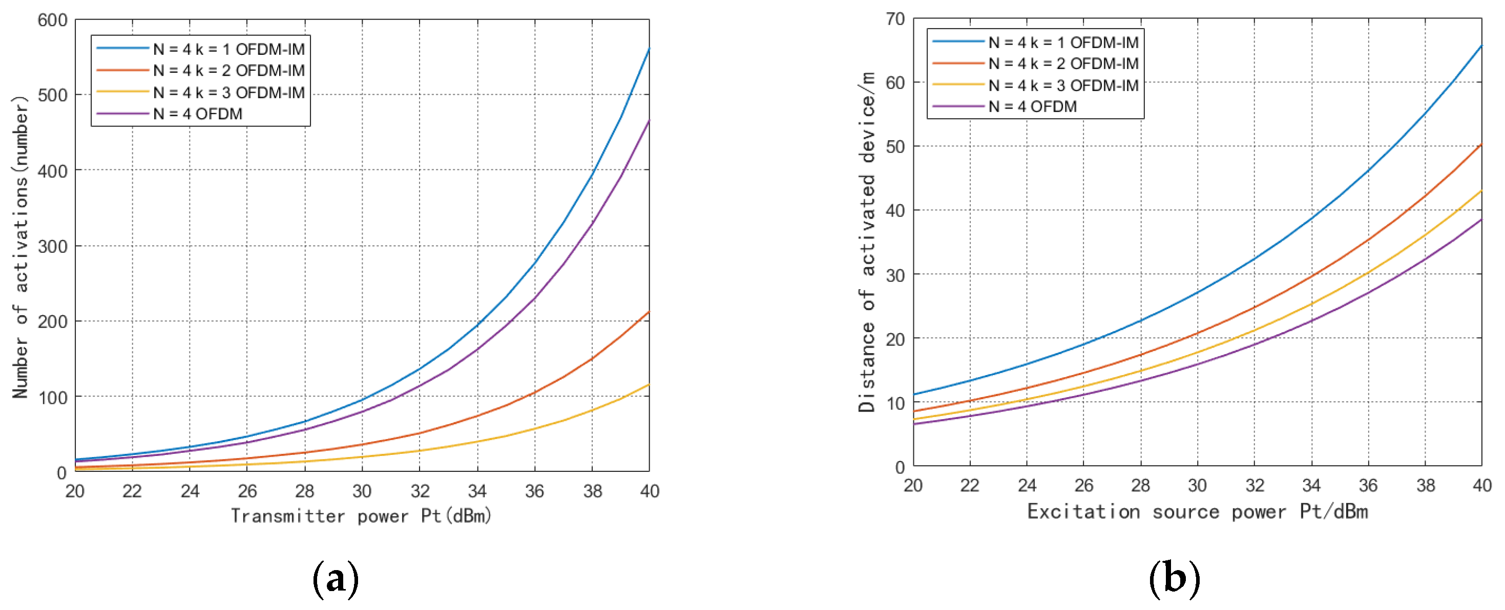
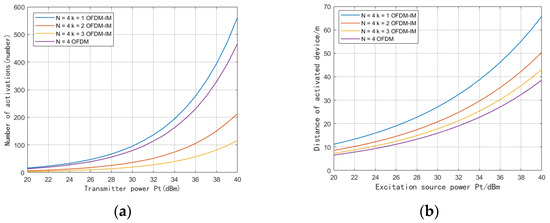
5. Simulation Results
6. Conclusions
Author Contributions
Funding
Institutional Review Board Statement
Informed Consent Statement
Data Availability Statement
Conflicts of Interest
References
- Zaraket, E.; Murad, N.; Yazdani, S.; Rajaoarisoa, L.; Ravelo, B. An Overview on Low Energy Wake-up Radio Technology: Active and Passive Circuits Associated with MAC and Routing Protocols. J. Netw. Comput. Appl. 2021, 190, 103140. [Google Scholar] [CrossRef]
- Toro, U.; ElHalawany, B.; Wong, A.; Wang, L.; Wu, K. Backscatter Communication-Based Wireless Sensing (BBWS): Performance Enhancement and Future Applications. J. Netw. Comput. Appl. 2022, 208, 103518. [Google Scholar] [CrossRef]
- Zhang, P.; Josephson, C.; Bharadia, D.; Katti, S. Assoc Comp Machinery FreeRider: Backscatter Communication Using Commodity Radios. In Proceedings of the 13th International Conference on Emerging Networking Experiments and Technologies, Incheon, Republic of Korea, 12–15 November 2017; pp. 389–401. [Google Scholar]
- Zhao, R.; Zhu, F.; Feng, Y.; Peng, S.; Tian, X.; Yu, H.; Wang, X. Assoc Comp Machinery OFDMA-Enabled Wi-Fi Backscatter. In Proceedings of the 25th Annual International Conference on Mobile Computing and Networking, Los Cabos, Mexico, 5 August 2019. [Google Scholar]
- Rosenthal, J.; Reynolds, M. Hardware-Efficient All-Digital Architectures for OFDM Backscatter Modulators. IEEE Trans. Microw. Theory Tech. 2021, 69, 803–811. [Google Scholar] [CrossRef]
- Li, D.; Peng, W.; Hu, F. Capacity of Backscatter Communication Systems with Tag Selection. IEEE Trans. Veh. Technol. 2019, 68, 10311–10314. [Google Scholar] [CrossRef]
- Hu, J.; Zhong, L.; Ma, T.; Ding, Z.; Xu, Z. Long-Range FM Backscatter Tag with Tunnel Diode. IEEE Microw. Wirel. Compon. Lett. 2022, 32, 92–95. [Google Scholar] [CrossRef]
- Zhuang, Y.; Li, X.; Ji, H.; Zhang, H. Exploiting Intelligent Reflecting Surface for Energy Efficiency in Ambient Backscatter Communication-Enabled NOMA Networks. IEEE Trans. Green Commun. Netw. 2022, 6, 163–174. [Google Scholar] [CrossRef]
- Valentini, R.; Di Marco, P.; Santucci, F. A NOMA Scheme for IoT Enabled by Selective Powering of Passive Backscattering Nodes. IEEE Commun. Lett. 2022, 26, 2195–2199. [Google Scholar] [CrossRef]
- Hu, P.; Zhang, P.; Ganesan, D. Assoc Comp Machinery Laissez-Faire: Fully Asymmetric Backscatter Communication. ACM SIGCOMM Comput. Commun. Rev. 2015, 45, 255–267. [Google Scholar] [CrossRef] [PubMed]
- Jia, M.; Yao, C.; Liu, W.; Ye, R.; Juhana, T.; Ai, B. Sensitivity and Distance Based Performance Analysis for Batteryless Tags with Transmit Beamforming and Ambient Backscattering. China Commun. 2022, 19, 109–117. [Google Scholar] [CrossRef]
- Zhuang, Y.; Li, X.; Ji, H.; Zhang, H. Exploiting Hybrid SWIPT in Ambient Backscatter Communication-Enabled Relay Networks: Optimize Power Allocation and Time Scheduling. IEEE Internet Things J. 2022, 9, 24655–24668. [Google Scholar] [CrossRef]
- Ma, W.; Wang, W.; Jiang, T. Joint Energy Harvest and Information Transfer for Energy Beamforming in Backscatter Multiuser Networks. IEEE Trans. Commun. 2021, 69, 1317–1328. [Google Scholar] [CrossRef]
- Ramezani, P.; Jamalipour, A. Optimal Resource Allocation in Backscatter Assisted WPCN With Practical Energy Harvesting Model. IEEE Trans. Veh. Technol. 2019, 68, 12406–12410. [Google Scholar] [CrossRef]
- Khadka, G.; Nemati, M.; Zhou, X.; Choi, J. Index Modulation in Backscatter Communication for IoT-Sensor-Based Applications: A Review. IEEE Sens. J. 2022, 22, 21445–21461. [Google Scholar] [CrossRef]
- Niu, Z.; Wang, W.; Jiang, T. Spatial Modulation for Ambient Backscatter Communications: Modeling and Analysis. In Proceedings of the 2019 IEEE Global Communications Conference (GLOBECOM), Waikoloa, HI, USA, 9–13 December 2019. [Google Scholar]
- Goudeli, E.; Psomas, C.; Krikidis, I. Spatial-Modulation-Based Techniques for Backscatter Communication Systems. IEEE Internet Things J. 2020, 7, 10623–10634. [Google Scholar] [CrossRef]
- Zhang, P.; Bharadia, D.; Joshi, K.; Katti, S. HitchHike: Practical backscatter using commodity WiFi. In Proceedings of the 14th ACM Conference on Embedded Network Sensor Systems CD-ROM, Stanford, CA, USA, 14–16 November 2016. [Google Scholar]
- Xie, Y.; Xu, Z.; Gong, S.; Xu, J.; Hoang, D.; Niyato, D. Backscatter-Assisted Hybrid Relaying Strategy for Wireless Powered IoT Communications. In Proceedings of the 2019 IEEE Global Communications Conference (GLOBECOM), Waikoloa, HI, USA, 9–13 December 2019. [Google Scholar]
- Ma, W.; Wang, W.; Jiang, T. Energy Beamforming for Wireless Information and Power Transfer in Backscatter Multiuser Networks. In Proceedings of the 2019 IEEE Global Communications Conference (GLOBECOM), Waikoloa, HI, USA, 9–13 December 2019. [Google Scholar]
- Zou, Y.; Xu, J.; Gong, S.; Guo, Y.; Niyato, D.; Cheng, W. Backscatter-Aided Hybrid Data Offloading for Wireless Powered Edge Sensor Networks. In Proceedings of the 2019 IEEE Global Communications Conference (GLOBECOM), Waikoloa, HI, USA, 9–13 December 2019. [Google Scholar]
- Cao, A.; Xiao, L.; Xiao, P.; He, C.; Tafazolli, R. A Tight Upper Bound for Enhanced DCT-OFDM With Index Modulation. IEEE Trans. Veh. Technol. 2020, 69, 16213–16217. [Google Scholar] [CrossRef]








| Data Bit | Subcarrier Combination | Subcarrier Block |
|---|---|---|
| [0, 0] | {1, 2} | |
| [0, 1] | {2, 3} | |
| [1, 0] | {2, 4} | |
| [1, 1] | {1, 4} |
| Parameter | Value |
|---|---|
| density of device | |
| number of subcarriers | 4 |
| path-loss-exponent | 2.6 |
| Energy conversion efficiency | 0.8 |
| Transmit power | 20–40 dBm |
| noise power | −90 dBm |
Disclaimer/Publisher’s Note: The statements, opinions and data contained in all publications are solely those of the individual author(s) and contributor(s) and not of MDPI and/or the editor(s). MDPI and/or the editor(s) disclaim responsibility for any injury to people or property resulting from any ideas, methods, instructions or products referred to in the content. |
© 2023 by the authors. Licensee MDPI, Basel, Switzerland. This article is an open access article distributed under the terms and conditions of the Creative Commons Attribution (CC BY) license (https://creativecommons.org/licenses/by/4.0/).
Share and Cite
Li, S.; Lu, R. Passive Backscatter Communication Scheme for OFDM-IM with Dynamic Carrier Activation. Sensors 2023, 23, 3841. https://doi.org/10.3390/s23083841
Li S, Lu R. Passive Backscatter Communication Scheme for OFDM-IM with Dynamic Carrier Activation. Sensors. 2023; 23(8):3841. https://doi.org/10.3390/s23083841
Chicago/Turabian StyleLi, Shibao, and Rui Lu. 2023. "Passive Backscatter Communication Scheme for OFDM-IM with Dynamic Carrier Activation" Sensors 23, no. 8: 3841. https://doi.org/10.3390/s23083841
APA StyleLi, S., & Lu, R. (2023). Passive Backscatter Communication Scheme for OFDM-IM with Dynamic Carrier Activation. Sensors, 23(8), 3841. https://doi.org/10.3390/s23083841

