Clinical Evaluation in Parkinson’s Disease: Is the Golden Standard Shiny Enough?
Abstract
1. Introduction
2. Materials and Methods
2.1. Patients
2.2. Study Process
2.3. Monitoring Device
2.4. Data Analysis Methods
3. Results
3.1. Symptom Evaluation
3.1.1. Bradykinesia
3.1.2. Rigidity
3.1.3. Tremor
3.1.4. Gait and Balance
3.1.5. Total Score of Motor Examination
3.2. Motor Complications
3.2.1. Dyskinesias
3.2.2. OFF Time and Distribution of OFF Severity across Different Stages
3.3. Disease Implication on Patients’ Quality of Life
4. Discussion
5. Conclusions
Author Contributions
Funding
Institutional Review Board Statement
Informed Consent Statement
Data Availability Statement
Conflicts of Interest
References
- Pringsheim, T.; Jette, N.; Frolkis, A.; Steeves, T.D. The prevalence of Parkinson’s disease: A systematic review and meta-analysis. Mov. Disord. 2014, 29, 1583–1590. [Google Scholar] [CrossRef] [PubMed]
- Savica, R.; Grossardt, B.; Bower, J.H.; Ahlskog, J.E.; Rocca, W.A. Incidence and Pathology of Synucleinopathies and Tauopathies Related to Parkinsonism. JAMA Neurol. 2013, 70, 859–866. [Google Scholar] [CrossRef] [PubMed]
- Dorsey, E.R.; Constantinescu, R.; Thompson, J.P.; Biglan, K.M.; Holloway, R.G.; Kieburtz, K.; Marshall, F.J.; Ravina, B.M.; Schifitto, G.; Siderowf, A.; et al. Projected number of people with Parkinson disease in the most populous nations, 2005 through 2030. Neurology 2007, 68, 384–386. [Google Scholar] [CrossRef] [PubMed]
- Dickson, D.W. Neuropathology of Parkinson disease. Parkinsonism. Relat. Disord. 2018, 46, S30–S33. [Google Scholar] [CrossRef]
- Postuma, R.B.; Berg, D.; Stern, M.; Poewe, W.; Olanow, C.W.; Oertel, W.; Obeso, J.; Marek, K.; Litvan, I.; Lang, A.E.; et al. MDS clinical diagnostic criteria for Parkinson’s disease. Mov. Disord. 2015, 30, 1591–1601. [Google Scholar] [CrossRef]
- Jankovic, J. Parkinson’s disease: Clinical features and diagnosis. J. Neurol. Neurosurg. Psychiatry 2008, 79, 368–376. [Google Scholar] [CrossRef]
- Smith, Y.; Wichmann, T.; A Factor, S.; DeLong, M.R. Parkinson’s Disease Therapeutics: New Developments and Challenges Since the Introduction of Levodopa. Neuropsychopharmacology 2011, 37, 213–246. [Google Scholar] [CrossRef]
- Armstrong, M.J.; Okun, M.S. Diagnosis and Treatment of Parkinson Disease: A Review. JAMA 2020, 323, 548–560. [Google Scholar] [CrossRef]
- Pezzoli, G.; Zini, M. Levodopa in Parkinson’s disease: From the past to the future. Expert Opin. Pharmacother. 2010, 11, 627–635. [Google Scholar] [CrossRef]
- Regnault, A.; Boroojerdi, B.; Meunier, J.; Bani, M.; Morel, T.; Cano, S. Does the MDS-UPDRS provide the precision to assess progression in early Parkinson’s disease? Learnings from the Parkinson’s progression marker initiative cohort. J. Neurol. 2019, 266, 1927–1936. [Google Scholar] [CrossRef]
- Evers, L.J.; Krijthe, J.H.; Meinders, M.J.; Bloem, B.R.; Heskes, T.M. Measuring Parkinson’s disease over time: The real-world within-subject reliability of the MDS-UPDRS. Mov. Disord. 2019, 34, 1480–1487. [Google Scholar] [CrossRef] [PubMed]
- García, V.R.; Corral-Bergantiños, Y.; Espinosa, N.; Jacome, M.A.; García-Sancho, C.; Cudeiro, J.; Arias, P. Spatiotemporal Gait Patterns During Overt and Covert Evaluation in Patients with Parkinson’s Disease and Healthy Subjects: Is There a Hawthorne Effect? J. Appl. Biomech. 2015, 31, 189–194. [Google Scholar] [CrossRef] [PubMed]
- Löhle, M.; Bremer, A.; Gandor, F.; Timpka, J.; Odin, P.; Ebersbach, G.; Storch, A. Validation of the PD home diary for assessment of motor fluctuations in advanced Parkinson’s disease. Npj Park. Dis. 2022, 8, 69. [Google Scholar] [CrossRef]
- Levit, A.V.; Zebendon, C.; Walter, L.; O’Donnell, P.; Marras, C. Communication gaps about OFF periods between physicians and patients with Parkinson’s disease: A patient–physician dialogue analysis. Res. Rev. Park. 2019, 9, 3–8. [Google Scholar] [CrossRef]
- Dorsey, E.R.; Bloem, B.R. The Parkinson Pandemic—A Call to Action. JAMA Neurol. 2018, 75, 9–10. [Google Scholar] [CrossRef]
- Sica, M.; Tedesco, S.; Crowe, C.; Kenny, L.; Moore, K.; Timmons, S.; Barton, J.; O’Flynn, B.; Komaris, D.-S. Continuous home monitoring of Parkinson’s disease using inertial sensors: A systematic review. PLoS ONE 2021, 16, e0246528. [Google Scholar] [CrossRef]
- Caballol, N.; Bayés, À.; Prats, A.; Martín-Baranera, M.; Quispe, P. Feasibility of a wearable inertial sensor to assess motor complications and treatment in Parkinson’s disease. PLoS ONE 2023, 18, e0279910. [Google Scholar] [CrossRef]
- Lones, M.A.; Alty, J.; Cosgrove, J.; Duggan-Carter, P.; Jamieson, S.; Naylor, R.F.; Turner, A.J.; Smith, S.L. A New Evolutionary Algorithm-Based Home Monitoring Device for Parkinson’s Dyskinesia. J. Med. Syst. 2017, 41, 176. [Google Scholar] [CrossRef] [PubMed]
- Teshuva, I.; Hillel, I.; Gazit, E.; Giladi, N.; Mirelman, A.; Hausdorff, J.M. Using wearables to assess bradykinesia and rigidity in patients with Parkinson’s disease: A focused, narrative review of the literature. J. Neural Transm. 2019, 126, 699–710. [Google Scholar] [CrossRef]
- Odin, P.; Chaudhuri, K.R.; Volkmann, J.; Antonini, A.; Storch, A.; Dietrichs, E.; Pirtošek, Z.; Henriksen, T.; Horne, M.; Devos, D.; et al. Viewpoint and practical recommendations from a movement disorder specialist panel on objective measurement in the clinical management of Parkinson’s disease. npj Park. Dis. 2018, 4, 14. [Google Scholar] [CrossRef]
- García, D.S.; Ariztegui, N.L.; Cubo, E.; Aragón, A.V.; García-Ramos, R.; Borrué, C.; Fernández-Pajarín, G.; Caballol, N.; Cabo, I.; Barrios-López, J.; et al. Clinical utility of a personalized and long-term monitoring device for Parkinson’s disease in a real clinical practice setting: An expert opinion survey on STAT-ON™. Neurologia 2020. [Google Scholar] [CrossRef]
- Pulliam, C.L.; Heldman, D.A.; Brokaw, E.B.; Mera, T.O.; Mari, Z.K.; Burack, M.A. Continuous Assessment of Levodopa Response in Parkinson’s Disease Using Wearable Motion Sensors. IEEE Trans. Biomed. Eng. 2017, 65, 159–164. [Google Scholar] [CrossRef] [PubMed]
- Braybrook, M.; O’Connor, S.; Churchward, P.; Perera, T.; Farzanehfar, P.; Horne, M. An Ambulatory Tremor Score for Parkinson’s Disease. J. Park. Dis. 2016, 6, 723–731. [Google Scholar] [CrossRef] [PubMed]
- Tsamis, K.I.; Rigas, G.; Nikolaos, K.; Fotiadis, D.I.; Konitsiotis, S. Accurate Monitoring of Parkinson’s Disease Symptoms with a Wearable Device During COVID-19 Pandemic. In Vivo 2021, 35, 2327–2330. [Google Scholar] [CrossRef] [PubMed]
- Rodríguez-Molinero, A.; Samà, A.; Pérez-López, C.; Rodríguez-Martín, D.; Alcaine, S.; Mestre, B.; Quispe, P.; Giuliani, B.; Vainstein, G.; Browne, P.; et al. Analysis of Correlation between an Accelerometer-Based Algorithm for Detecting Parkinsonian Gait and UPDRS Subscales. Front. Neurol. 2017, 8, 431. [Google Scholar] [CrossRef] [PubMed]
- Antonini, A.; Reichmann, H.; Gentile, G.; Garon, M.; Tedesco, C.; Frank, A.; Falkenburger, B.; Konitsiotis, S.; Tsamis, K.; Rigas, G.; et al. Towards Objective Monitoring of Parkinson’s Disease Motor Symptoms Using a Wearable Device: Wearability and Performance Evaluation of PDMonitor®. Front. Neurol. 2023, 14, 455. [Google Scholar]
- Moore, S.T.; A Yungher, D.; Morris, T.R.; Dilda, V.; MacDougall, H.G.; Shine, J.M.; Naismith, S.L.; Lewis, S.J. Autonomous identification of freezing of gait in Parkinson’s disease from lower-body segmental accelerometry. J. Neuroeng. Rehabil. 2013, 10, 19. [Google Scholar] [CrossRef]
- Kira, K.; Rendell, L.A. A Practical Approach to Feature Selection. In Machine Learning Proceedings 1992; Sleeman, D., Edwards, P., Eds.; Morgan Kaufmann: San Francisco, CA, USA, 1992; pp. 249–256. [Google Scholar] [CrossRef]
- Bendig, J.; Wolf, A.-S.; Mark, T.; Frank, A.; Mathiebe, J.; Scheibe, M.; Müller, G.; Stahr, M.; Schmitt, J.; Reichmann, H.; et al. Feasibility of a Multimodal Telemedical Intervention for Patients with Parkinson’s Disease—A Pilot Study. J. Clin. Med. 2022, 11, 1074. [Google Scholar] [CrossRef]
- Abstracts. Mov. Disord. Clin. Pr. 2020, 7, S6–S44. [CrossRef]
- Schober, P.; Boer, C.; Schwarte, L.A. Correlation Coefficients: Appropriate Use and Interpretation. Anesth. Analg. 2018, 126, 1763–1768. [Google Scholar] [CrossRef]
- Gatsios, D.; Antonini, A.; Gentile, G.; Marcante, A.; Pellicano, C.; Macchiusi, L.; Assogna, F.; Spalletta, G.; Gage, H.; Touray, M.; et al. Feasibility and Utility of mHealth for the Remote Monitoring of Parkinson Disease: Ancillary Study of the PD_manager Randomized Controlled Trial. JMIR mHealth uHealth 2020, 8, e16414. [Google Scholar] [CrossRef] [PubMed]
- Pérez-López, C.; Hernández-Vara, J.; Caballol, N.; Bayes, À.; Buongiorno, M.; Lopez-Ariztegui, N.; Gironell, A.; López-Sánchez, J.; Martínez-Castrillo, J.C.; López-Manzanares, L.; et al. Comparison of the Results of a Parkinson’s Holter Monitor with Patient Diaries, in Real Conditions of Use: A Sub-analysis of the MoMoPa-EC Clinical Trial. Front. Neurol. 2022, 13, 835249. [Google Scholar] [CrossRef] [PubMed]
- Chen, L.; Cai, G.; Weng, H.; Yu, J.; Yang, Y.; Huang, X.; Chen, X.; Ye, Q. More Sensitive Identification for Bradykinesia Compared to Tremors in Parkinson’s Disease Based on Parkinson’s KinetiGraph (PKG). Front. Aging Neurosci. 2020, 12, 594701. [Google Scholar] [CrossRef]
- Bogdanova-Mihaylova, P.; Kavanagh, N.; Walsh, R.A. Automated Assessment of Advanced Motor Parkinson’s Disease; a Pilot Study of the Parkinson’s KinetiGraph as an Objective Tool for Measurement of Motor Fluctuations. MDS Abstracts. Available online: https://www.mdsabstracts.org/abstract/automated-assessment-of-advanced-motor-parkinsons-disease-a-pilot-study-of-the-parkinsons-kinetigraph-as-an-objective-tool-for-measurement-of-motor-fluctuations/ (accessed on 23 February 2023).
- Louis, E.D.; Tang, M.X.; Cote, L.; Alfaro, B.; Mejia, H.; Marder, K. Progression of Parkinsonian Signs in Parkinson Disease. Arch. Neurol. 1999, 56, 334–337. [Google Scholar] [CrossRef]
- Martínez-Martín, P.; Rodríguez-Blázquez, C.; Forjaz, M.J.; Álvarez-Sánchez, M.; Arakaki, T.; Bergareche-Yarza, A.; Chade, A.; Garretto, N.; Gershanik, O.; Kurtis, M.M.; et al. Relationship between the MDS-UPDRS domains and the health-related quality of life of Parkinson’s disease patients. Eur. J. Neurol. 2014, 21, 519–524. [Google Scholar] [CrossRef] [PubMed]
- Safarpour, D.; Dale, M.L.; Shah, V.V.; Talman, L.; Carlson-Kuhta, P.; Horak, F.B.; Mancini, M. Surrogates for rigidity and PIGD MDS-UPDRS subscores using wearable sensors. Gait Posture 2021, 91, 186–191. [Google Scholar] [CrossRef] [PubMed]
- Deb, R.; An, S.; Bhat, G.; Shill, H.; Ogras, U.Y. A Systematic Survey of Research Trends in Technology Usage for Parkinson’s Disease. Sensors 2022, 22, 5491. [Google Scholar] [CrossRef]












| Domains | Data ** | Values * |
|---|---|---|
| Demographics | Patients (M/F) | 20 (9/11) |
| Age (yrs) | 68.8 ± 7.7 | |
| Disease duration (yrs) | 6.1 ± 5.7 | |
| Years with levodopa | 4.0 ± 3.9 | |
| H&Y stage | 1–3 | |
| MoCA | 22.4 ± 3.8 | |
| MDS-UPDRS | Part I | 11.6 ± 6.1 |
| Part II (M-EDL) | 10.2 ± 8.5 | |
| Part III | 25.3 ± 14.7 | |
| Part IV | 3.6 ± 4.6 | |
| Bradykinesia (item 3.4–3.6) | 1.22 ± 0.70 | |
| Resting tremor (item 3.17) | 0.27 ± 0.38 | |
| Gait (item 3.10) | 0.95 ± 0.67 | |
| Rigidity (item 3.3) | 0.84 ± 0.45 | |
| PDMonitor® | BRAD | 1.42 ± 0.73 |
| TREMOR | 0.11 ± 0.13 | |
| GAIT | 1.17 ± 0.50 | |
| %OFF | 31% | |
| %DYS | 6% | |
| dUPDRS part III | 22.5 ± 12.6 |
| PDMonitor® Outcome | Measurement Scale/Method |
|---|---|
| Bradykinesia (right and left arm) | Average of UPDRS items 23–25 |
| Wrist tremor (right and left) | Wrist tremor amplitude estimation using a fuzzy linear function to correlate to the score of UPDRS item 20 (arms) |
| Leg tremor (right and left) | Activity detection method, where the activity classified as tremor is correlated to the UPDRS item 20 (legs) score |
| Gait impairment | The estimation is based on gait analysis, where the range of motion is calculated and translated into the UPDRS item 29 score |
| Freezing of gait | Evaluation of FoG events by applying the freezing index introduced by Moore et al. during pausing phases [27] |
| Postural instability | Device estimate of the swing time variability of the lower extremities. The possibility of an instability event occurring is presented on a scale ranging from 0 to 1 |
| Time spent with dyskinesia (%) | The percent of time with dyskinesia over a threshold determined by expert annotation based on the AIMS scale |
| Time spent in OFF state (%) | OFF time estimation is based on the relief method which, after combining each symptom and measure individually, estimates the importance of each symptom [28] |
| PDM-dUPDRS part III | PDM estimation of the part III score based on a regression model of the individual symptoms of bradykinesia, tremor, gait, FoG, and instability converted to a UPDRS sum score |
| MDS-UPDRS Item vs. PDM-BRAD | Coefficient (r) | p-Value |
|---|---|---|
| Aggregated bradykinesia (3.4–3.6) | 0.62 | <0.001 |
| Finger taps (3.4) | 0.63 | <0.001 |
| Hand movement (3.5) | 0.52 | <0.001 |
| Pronation supination (3.6) | 0.51 | <0.001 |
| MDS-UPDRS Item 3.3 Avg. vs. PDM | Coefficient (r) | p-Value |
|---|---|---|
| PDMonitor® BRAD | 0.54 | <0.05 |
| PDMonitor® TREMOR | 0.74 | <0.001 |
| PDMonitor® Gait | 0.51 | <0.05 |
| PDMonitor® %OFF | 0.61 | <0.01 |
| MDS-UPDRS Item vs. PDMonitor® Tremor | Body Part | Coefficient (r) | p-Value |
|---|---|---|---|
| Resting tremor severity (3.17) | Both arms | 0.79 | <0.001 |
| Left arm | 0.78 | <0.001 | |
| Right arm | 0.84 | <0.001 | |
| Both legs | 0.33 | <0.05 | |
| Left leg | 0.58 | <0.01 | |
| Right leg | 0.23 | >0.05 | |
| Resting tremor constancy (3.18) | Both arms | 0.76 | <0.001 |
| Left arm | 0.65 | <0.001 | |
| Right arm | 0.87 | <0.001 |
| MDS-UPDRS Item | vs. PDMonitor® | Coefficient (r) | p-Value |
|---|---|---|---|
| Bradykinesia (3.4–3.6) | vs. PDM-BRAD | 0.62 | <0.001 |
| Rigidity (3.3) | vs. PDM-BRAD | 0.54 | <0.05 |
| vs. PDM TREMOR | 0.74 | <0.001 | |
| vs. PDM Gait | 0.51 | <0.05 | |
| vs. PDM OFF% | 0.61 | <0.01 | |
| Arms resting tremor (3.17) | vs. PDM arms tremor | 0.79 | <0.001 |
| Arms resting tremor constancy (3.18) | vs. PDM tremor constancy | 0.76 | <0.001 |
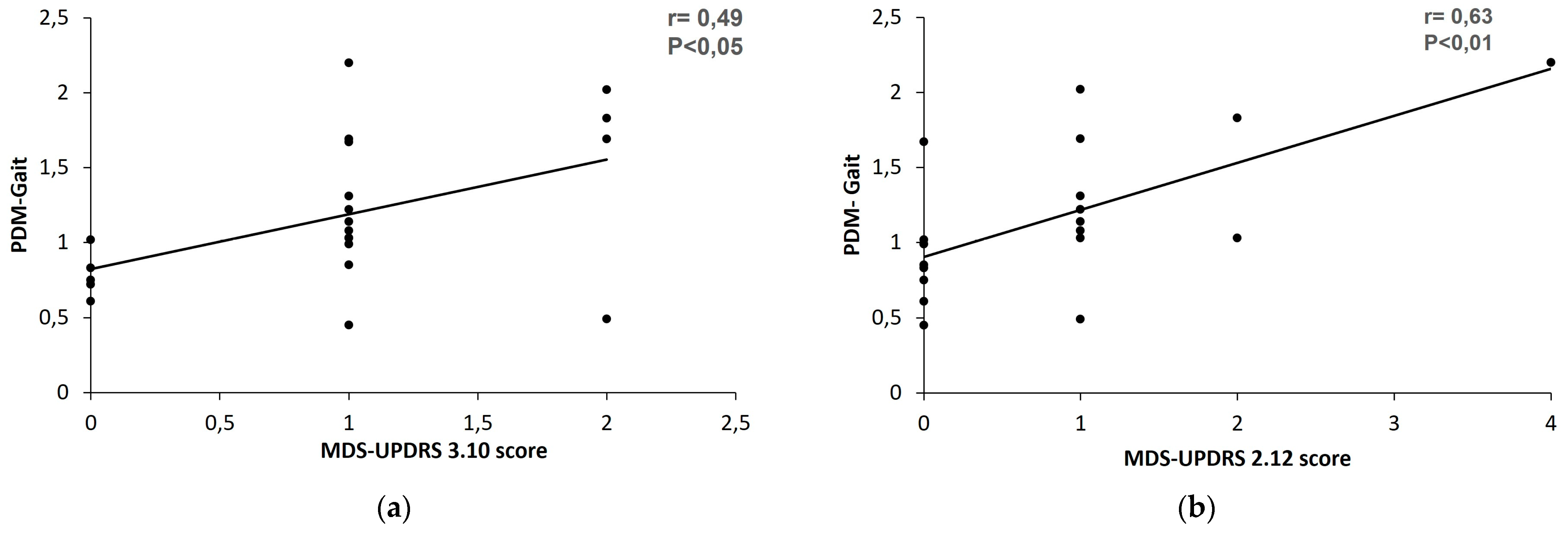
| Gait (3.10) | vs. PDM gait | 0.49 | <0.05 |
| Gait—patient rated (2.12) | vs. PDM gait | 0.63 | <0.01 |
| FoG presence (3.11) | vs. PDM FoG event | 1 | - |
| FoG severity (3.11) | vs. PDM FoG severity | 0.78 | <0.001 |
| FoG—patient rated (2.13) | vs. PDM FoG severity | 0.74 | <0.001 |
| Instability presence (3.12) | vs. PDM instability event | 0.46 | <0.05 |
| Dyskinesia (4.1) | vs. PDM dyskinesia% | 0.75 | <0.001 |
| %OFF (4.3) | vs. PDM OFF% | 0.65 | <0.01 |
| Functional impact of OFF (4.4) | vs. PDM OFF severity | 0.77 | <0.001 |
| Total part III | vs. PDM dUPDRS part III | 0.48 | <0.05 |
| Total part II | vs. PDM OFF% | 0.49 | <0.05 |
Disclaimer/Publisher’s Note: The statements, opinions and data contained in all publications are solely those of the individual author(s) and contributor(s) and not of MDPI and/or the editor(s). MDPI and/or the editor(s) disclaim responsibility for any injury to people or property resulting from any ideas, methods, instructions or products referred to in the content. |
© 2023 by the authors. Licensee MDPI, Basel, Switzerland. This article is an open access article distributed under the terms and conditions of the Creative Commons Attribution (CC BY) license (https://creativecommons.org/licenses/by/4.0/).
Share and Cite
Kanellos, F.S.; Tsamis, K.I.; Rigas, G.; Simos, Y.V.; Katsenos, A.P.; Kartsakalis, G.; Fotiadis, D.I.; Vezyraki, P.; Peschos, D.; Konitsiotis, S. Clinical Evaluation in Parkinson’s Disease: Is the Golden Standard Shiny Enough? Sensors 2023, 23, 3807. https://doi.org/10.3390/s23083807
Kanellos FS, Tsamis KI, Rigas G, Simos YV, Katsenos AP, Kartsakalis G, Fotiadis DI, Vezyraki P, Peschos D, Konitsiotis S. Clinical Evaluation in Parkinson’s Disease: Is the Golden Standard Shiny Enough? Sensors. 2023; 23(8):3807. https://doi.org/10.3390/s23083807
Chicago/Turabian StyleKanellos, Foivos S., Konstantinos I. Tsamis, Georgios Rigas, Yannis V. Simos, Andreas P. Katsenos, Gerasimos Kartsakalis, Dimitrios I. Fotiadis, Patra Vezyraki, Dimitrios Peschos, and Spyridon Konitsiotis. 2023. "Clinical Evaluation in Parkinson’s Disease: Is the Golden Standard Shiny Enough?" Sensors 23, no. 8: 3807. https://doi.org/10.3390/s23083807
APA StyleKanellos, F. S., Tsamis, K. I., Rigas, G., Simos, Y. V., Katsenos, A. P., Kartsakalis, G., Fotiadis, D. I., Vezyraki, P., Peschos, D., & Konitsiotis, S. (2023). Clinical Evaluation in Parkinson’s Disease: Is the Golden Standard Shiny Enough? Sensors, 23(8), 3807. https://doi.org/10.3390/s23083807

