On the Performance of Decode-and-Forward Equal-Gain-Combining Relay Systems over Weibull Fading Channels
Abstract
1. Introduction
- The PDF and the CDF of the SNR at the output of EGC receivers are calculated considering Weibull fading channels.
- Novel exact and asymptotic closed-form expressions to evaluate the OP and the ABEP of dual-hop DF-EGC relaying receivers are also derived, which are easy to manipulate and do not rely on functions that are not built-in in common mathematical software.
- Monte Carlo simulations in different scenarios show the accuracy of the derived expressions. Furthermore, the achievable rate of the considered system is also evaluated via simulations. Useful insights regarding the system performance are obtained from these numerical results.
2. Preliminaries
3. System and Channel Models
4. Performance Analysis
4.1. PDF and CDF of the SNR in EGC Systems
4.2. Outage Probability
4.3. Average Bit Error Probability
4.4. Achievable Rate
5. Numerical Results and Discussions
5.1. Outage Probability Results
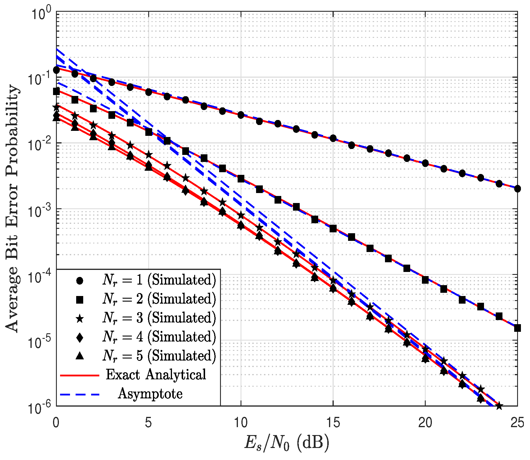
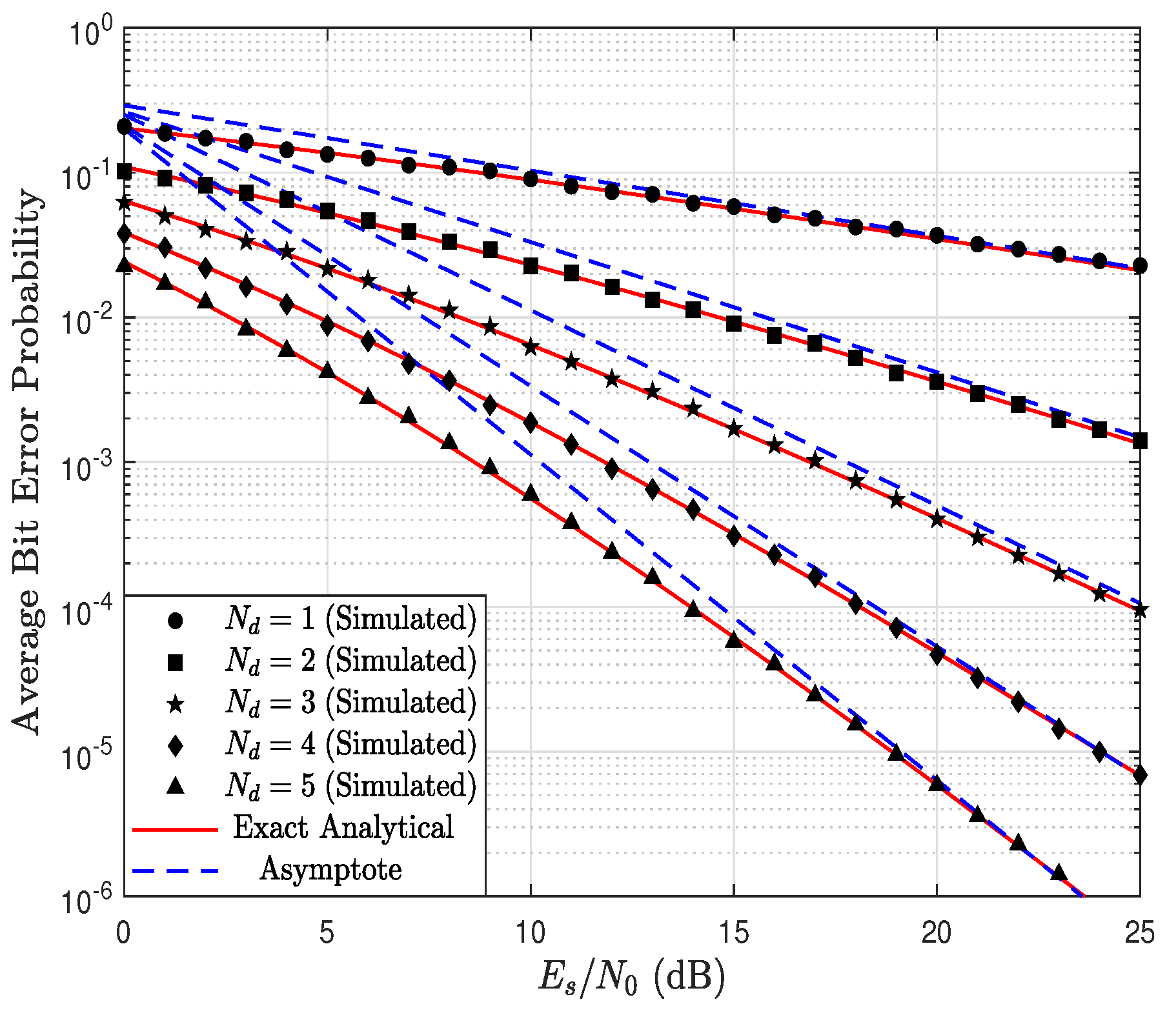
5.2. Average Bit Error Probability Results
5.3. Mean Achievable Rate Results
6. Conclusions
Author Contributions
Funding
Institutional Review Board Statement
Informed Consent Statement
Data Availability Statement
Conflicts of Interest
References
- Proakis, J. Digital Communications, 5th ed.; McGraw: New York, NY, USA, 2007. [Google Scholar]
- Yang, H.; Smulders, P.; Herben, M. Channel characteristics and transmission performance for various channel configurations at 60 GHz. EURASIP J. Wirel. Commun. Netw. 2007, 2007, 43–58. [Google Scholar] [CrossRef]
- Reig, J.; Martínez-Inglés, M.; Rubio, L.; Rodrigo-Penarrocha, V.M.; Molina-García-Pardo, J.M. Fading evaluation in the 60 GHz band in line-of-sight conditions. Int. J. Antennas Propag. 2014, 2014, 984102. [Google Scholar] [CrossRef]
- Soulimani, A.; Benjillali, M.; Chergui, H.; da Costa, D.B. Multihop Weibull-fading communications: Performance analysis framework and applications. J. Frankl. Inst. 2021, 358, 8012–8044. [Google Scholar] [CrossRef]
- You, M.; Sun, H.; Jiang, J.; Zhang, J. Effective Rate Analysis in Weibull Fading Channels. IEEE Wirel. Commun. Lett. 2016, 5, 340–343. [Google Scholar] [CrossRef]
- Salana, O.; Bayara, F.; Ilhan, H. Performance evaluation of RIS-based SSK and SM schemes with perfect and imperfect channel phase estimation over Weibull fading channels. AEU-Int. J. Electron. Commun. 2021, 136, 153713. [Google Scholar] [CrossRef]
- Matolak, D.W.; Frolik, J. Worse-than-Rayleigh fading: Experimental results and theoretical models. IEEE Commun. Mag. 2011, 49, 140–146. [Google Scholar] [CrossRef]
- Zheng, W.; Ali, A.; González-Prelcic, N.; Heath, R.W.; Klautau, A.; Pari, E.M. 5G V2X communication at millimeter wave: Rate maps and use cases. In Proceedings of the 2020 IEEE 91st Vehicular Technology Conference (VTC2020-Spring), Antwerp, Belgium, 25–28 May 2020; pp. 1–5. [Google Scholar] [CrossRef]
- Piltyay, S.; Bulashenko, A.; Demchenko, I. Wireless Sensor Network Connectivity in Heterogeneous 5G Mobile Systems. In Proceedings of the 2020 IEEE International Conference on Problems of Infocommunications. Science and Technology (PIC S&T), Kharkiv, Ukraine, 6–9 October 2020; pp. 625–630. [Google Scholar] [CrossRef]
- Cheng, W.; Wang, X.; Ma, T.; Wang, G. On the Performance Analysis of Switched Diversity Combining Receivers over Fisher–Snedecor F Composite Fading Channels. Sensors 2021, 21, 3014. [Google Scholar] [CrossRef]
- Md Reba, M.; Rocadenbosch, F.; Sicard, M.; Munoz, C.; Tomas, S. Piece-wise variance method for signal-to-noise ratio estimation in elastic/Raman lidar signals. In Proceedings of the IEEE International Geoscience and Remote Sensing Symposium, Barcelona, Spain, 23–27 July 2007. [Google Scholar] [CrossRef]
- Carvajal, H.M.; Orozco, N.G.; de Almeida, C. Signal Space Diversity in Single and Multiuser Scenarios Employing Sphere Decoder Detector. IEEE Commun. Lett. 2018, 22, 868–871. [Google Scholar] [CrossRef]
- Carvajal, H.; Orozco, N.; de Almeida, C. Performance analysis of MC-CDMA systems employing maximal ratio combining and uniform linear antenna array. In Proceedings of the International Telecommunications Symposium (ITS), Sao Paulo, Brazil, 17–20 August 2014. [Google Scholar] [CrossRef]
- Cui, X.; Zhang, Q.; Feng, Z. Outage probability for maximal ratio combining of arbitrarily correlated faded signals corrupted by multiple Rayleigh interferers. IEEE Trans. Veh. Technol. 2006, 55, 383–386. [Google Scholar] [CrossRef]
- Pandey, O.; Trivedi, A.; Shukla, M. Outage performance of decode-forward and amplify-forward protocols in cooperative wireless communication. In Proceedings of the Tenth International Conference on Wireless and Optical Communications Networks (WOCN), Bhopal, India, 26–28 July 2013. [Google Scholar] [CrossRef]
- Chatzigeorgiou, I. The Impact of 5G Channel Models on the Performance of Intelligent Reflecting Surfaces and Decode-and-Forward Relaying. In Proceedings of the IEEE 31st Annual International Symposium on Personal, Indoor and Mobile Radio Communications, London, UK, 31 August–3 September 2020. [Google Scholar] [CrossRef]
- García, F.D.A.; Mora, H.R.C.; Garzón, N.V.O. Novel Expressions for Ricean Sum Distributions and Densities. IEEE Commun. Lett. 2021, 25, 3513–3517. [Google Scholar] [CrossRef]
- Filho, J.; Yacoub, M. Simple precise approximations to Weibull sums. IEEE Commun. Lett. 2006, 10, 614–616. [Google Scholar] [CrossRef]
- García, F.D.A.; Parente, F.R.A.; Fraidenraich, G.; Santos Filho, J.C.S. Light Exact Expressions for the Sum of Weibull Random Variables. IEEE Wirel. Commun. Lett. 2021, 10, 2445–2449. [Google Scholar] [CrossRef]
- García, F.A.; Carvajal Mora, H.; Garzón, N.O. Improved Exact Evaluation of Equal-Gain Diversity Receivers in Rayleigh Fading Channels. IEEE Access 2022, 10, 26974–26984. [Google Scholar] [CrossRef]
- Kumar, A.; Arya, N. A study relation between energy spectral density and probability density function with impulse response first order control system. In Proceedings of the International conference of Electronics, Communication and Aerospace Technology (ICECA), Coimbatore, India, 20–22 April 2017. [Google Scholar] [CrossRef]
- Zhang, J.; Berleant, D. Envelopes around cumulative distribution functions from interval parameters of standard continuous distributions. In Proceedings of the 22nd International Conference of the North American Fuzzy Information Processing Society, NAFIPS, Chicago, IL, USA, 24–26 July 2003. [Google Scholar] [CrossRef]
- Safavi, S.; Khalaj, B.; Saheban, F. Asymptotic analysis of error probability and outage behavior of equal-gain combining. In Proceedings of the Asymptotic Analysis of Error Probability and Outage Behavior of Equal-Gain Combining, Tokyo, Japan, 13–16 September 2009. [Google Scholar] [CrossRef]
- Ko, Y.; Alouini, M.; Simon, M. Outage probability of diversity systems over generalized fading channels. IEEE Trans. Commun. 2000, 48, 1783–1787. [Google Scholar] [CrossRef]
- Karagiannidis, G.K.; Zogas, D.A.; Sagias, N.C.; Kotsopoulos, S.A.; Tombras, G.S. Equal-gain and maximal-ratio combining over nonidentical Weibull fading channels. IEEE Trans. Wirel. Commun. 2005, 4, 841–846. [Google Scholar] [CrossRef]
- Simon, M.; Alouini, M. Digital Communication Over Fading Channels, 1st ed.; Wiley: New York, NY, USA, 2000. [Google Scholar]
- Zhang, Y.; Qian, J.; Gao, F.; Fant, L.; Jin, S.; Zhu, H. Outage Probability of Equal Gain Combining for Backscatter Communication Systems Over Nakagami-m Fading Channels. In Proceedings of the 2018 IEEE 19th Int. Workshop on Signal Processing Advances in Wireless Communications (SPAWC), Kalamata, Greece, 25–28 June 2018; pp. 1–5. [Google Scholar] [CrossRef]
- Rached, N.B.; Kammoun, A.; Alouini, M.S.; Tempone, R. Accurate Outage Probability Evaluation of Equal Gain Combining Receivers. In Proceedings of the 2018 IEEE Global Communications Conference (GLOBECOM), Abu Dhabi, United Arab Emirates, 9–13 December 2018; pp. 1–7. [Google Scholar] [CrossRef]
- Olutayo, A.; Cheng, J.; Holzman, J. Asymptotically tight performance bounds for equal-gain combining over a new correlated fading channel. In Proceedings of the 2017 15th Canadian Workshop on Information Theory (CWIT), Quebec City, QC, Canada, 11–14 June 2017; pp. 1–5. [Google Scholar] [CrossRef]
- Laneman, J.; Tse, D.; Wornell, G. Cooperative diversity in wireless networks: Efficient protocols and outage behavior. IEEE Trans. Inf. Theory 2004, 50, 3062–3080. [Google Scholar] [CrossRef]
- Choi, K.; Lee, H.; Ko, Y. Outage probability of decode-and-forward relaying system with Weibull distributed multiple co-channel interferences. In Proceedings of the IEEE Globecom Workshops, Anaheim, CA, USA, 3–7 December 2012. [Google Scholar] [CrossRef]
- Beaulieu, N.; Hu, J. A closed-form expression for the outage probability of decode-and-forward relaying in dissimilar Rayleigh fading channels. IEEE Commun. Lett. 2006, 10, 813–815. [Google Scholar] [CrossRef]
- Hasna, M.; Alouini, M. End-to-end performance of transmission systems with relays over Rayleigh-fading channels. IEEE Trans. Wirel. Commun. 2003, 2, 1126–1131. [Google Scholar] [CrossRef]
- Hu, J.; Beaulieu, N. Performance Analysis of Decode-and-Forward Relaying with Selection Combining. IEEE Commun. Lett. 2007, 11, 489–491. [Google Scholar] [CrossRef]
- Batema, H. Higher Transcendental Functions, 1st ed.; McGraw Hill: California, DC, USA, 1953. [Google Scholar]
- Chaminda, A.; Ha, D.; Nguyen, H. Performance of cognitive decode-and-forward relaying systems over Weibull fading channels. In Proceedings of the International Conference on Computing, Management and Telecommunications (ComManTel), Da Nang, Vietnam, 27–29 April 2014. [Google Scholar] [CrossRef]
- Chaitanya, K.; Muthuchidambaranathan, P. Performance analysis of decode and forward relaying over dual-hop mixed fading channels. AEU-Int. J. Electron. Commun. 2017, 73, 84–88. [Google Scholar] [CrossRef]
- Toka, M.; Kucur, O. Performance of antenna selection schemes in dual hop full-duplex decode-and-forward relaying over Nakagami-m fading channels. AEU-Int. J. Electron. Commun. 2018, 86, 92–102. [Google Scholar] [CrossRef]
- Wu, X.; Tang, L.; Yang, J. Outage Performance of Power Beacon-Assisted Cooperative Hybrid Decode-Amplify-Forward Relaying Wireless Communications. In Proceedings of the 2020 IEEE/CIC International Conference on Communications in China (ICCC), Chongqing, China, 9–11 August 2020; pp. 1330–1335. [Google Scholar] [CrossRef]
- Samir, A.; Elsayed, M.; El-Banna, A.A.A.; Ansari, I.S.; Rabie, K.; ElHalawany, B.M. Performance Analysis of Dual-Hop Hybrid RF-UOWC NOMA Systems. Sensors 2022, 22, 4521. [Google Scholar] [CrossRef] [PubMed]
- Abramowitz, M.; Stegun, I. Handbook of Mathematical Functions with Formulas, Graphs, and Mathematical Tables, 10th ed.; US Department of Commerce; National Bureau of Standard: Washington, DC, USA, 1972.
- Sharma, P.; Kumar, A.; Bansal, M. On Performance of Downlink NOMA with Equal Gain Combining over κ-μ Fading Channel for limiting value of κ. In Proceedings of the 2020 IEEE 4th Conference on Information & Communication Technology (CICT), Chennai, India, 3–5 December 2020; pp. 1–6. [Google Scholar] [CrossRef]
- Yacoub, M.; da Costa, D.B.; Silva, U.; Fraidenraich, G. Joint statistics for two correlated Weibull variates. IEEE Antennas Wirel. Propag. Lett. 2005, 4, 129–132. [Google Scholar] [CrossRef]
- Papoulis, A.; Pillai, S. Probability, Random Variables and Stochastic Processes, 4th ed.; McGraw Hill: New York, NY, USA, 2002. [Google Scholar]
- Ng, E.W.; Geller, M. A Table of Integrals of the Error Functions. J. Res. Natl. Bur. Stand. 1968, 73B, 1–20. [Google Scholar] [CrossRef]
- Shannon, C.E. A Mathematical Theory of Communication. Bell Syst. Tech. J. 1948, 27, 379–423. [Google Scholar] [CrossRef]











| Key Contributions | Previous Works | [P] | |||||||
|---|---|---|---|---|---|---|---|---|---|
| [2,3,4] | [5,6] | [21,22] | [27,28,29] | [30,31] | [32,33] | [38,39] | [40] | ||
| Performance evaluation in Rayleigh fading | X | X | X | X | X | ||||
| Performance evaluation in generalized fading | X | X | X | X | X | X | |||
| Exact and asymptotic closed-form expressions for different KPIs | X | X | X | X | X | X | X | ||
| Diversity techniques | X | X | X | X | |||||
| Cooperative communications | X | X | X | X | X | ||||
Disclaimer/Publisher’s Note: The statements, opinions and data contained in all publications are solely those of the individual author(s) and contributor(s) and not of MDPI and/or the editor(s). MDPI and/or the editor(s) disclaim responsibility for any injury to people or property resulting from any ideas, methods, instructions or products referred to in the content. |
© 2023 by the authors. Licensee MDPI, Basel, Switzerland. This article is an open access article distributed under the terms and conditions of the Creative Commons Attribution (CC BY) license (https://creativecommons.org/licenses/by/4.0/).
Share and Cite
Tilleria Lucero, P.; Carvajal Mora, H.; Orozco Garzón, N.; Almeida García, F. On the Performance of Decode-and-Forward Equal-Gain-Combining Relay Systems over Weibull Fading Channels. Sensors 2023, 23, 3174. https://doi.org/10.3390/s23063174
Tilleria Lucero P, Carvajal Mora H, Orozco Garzón N, Almeida García F. On the Performance of Decode-and-Forward Equal-Gain-Combining Relay Systems over Weibull Fading Channels. Sensors. 2023; 23(6):3174. https://doi.org/10.3390/s23063174
Chicago/Turabian StyleTilleria Lucero, Paula, Henry Carvajal Mora, Nathaly Orozco Garzón, and Fernando Almeida García. 2023. "On the Performance of Decode-and-Forward Equal-Gain-Combining Relay Systems over Weibull Fading Channels" Sensors 23, no. 6: 3174. https://doi.org/10.3390/s23063174
APA StyleTilleria Lucero, P., Carvajal Mora, H., Orozco Garzón, N., & Almeida García, F. (2023). On the Performance of Decode-and-Forward Equal-Gain-Combining Relay Systems over Weibull Fading Channels. Sensors, 23(6), 3174. https://doi.org/10.3390/s23063174

