Adaptive Control for Gravitational Wave Detection Formation Considering Time-Varying Communication Delays
Abstract
1. Introduction
- (1)
- Dual quaternion is employed to describe the 6-DOF relative motion of the spacecraft. The gravitational force and torque, the perturbations due to the Earth’s oblateness, the solar pressure perturbation, and the constant external disturbances are considered;
- (2)
- In the absence of modeling uncertainties and external disturbances, time-delay terms are added to the controller, which guarantees that the controller is effective to solve the cooperative control problem with communication delays;
- (3)
- In the presence of modeling uncertainties and external disturbances, the cooperation controller with communication delays is developed into an adaptive controller, which can estimate the unknown parameters and external disturbances.
2. Material Background and Relative Coupled Dynamics
2.1. Quaternions and Dual Quaternions
2.2. Equations of 6-DOF Relative Motion Based on Dual Quaternions
2.3. Control Objective
3. Control Law Design
3.1. 6-DOF Coordinated Control Law with Communication Delays
3.2. Adaptive 6-DOF Coordinated Control Law with Communication Delays
4. Numerical Simulations
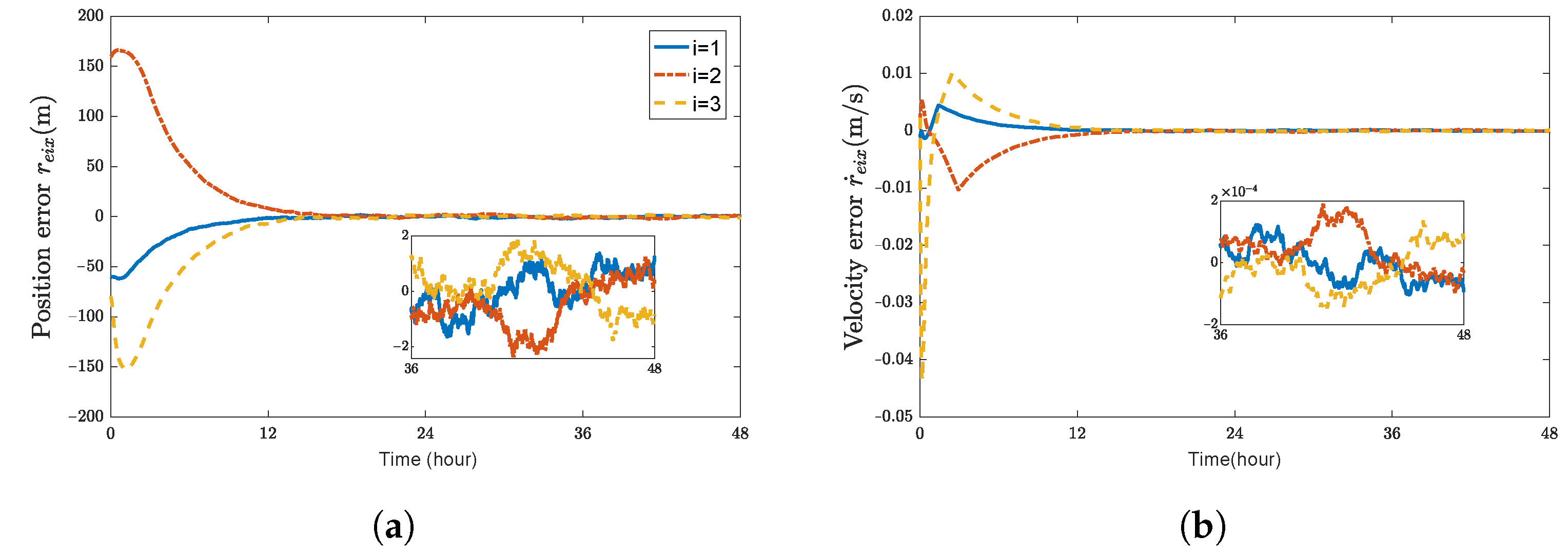
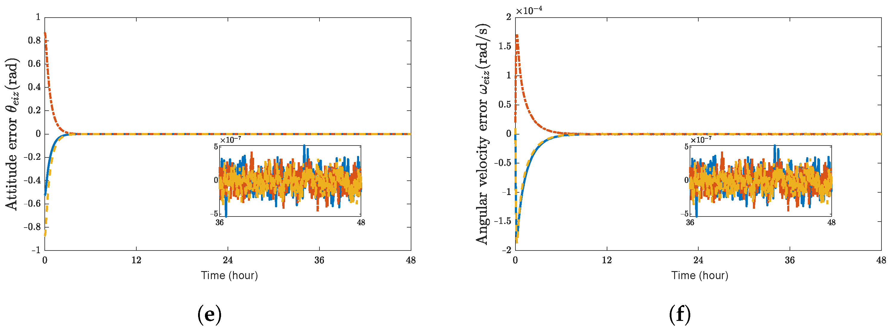
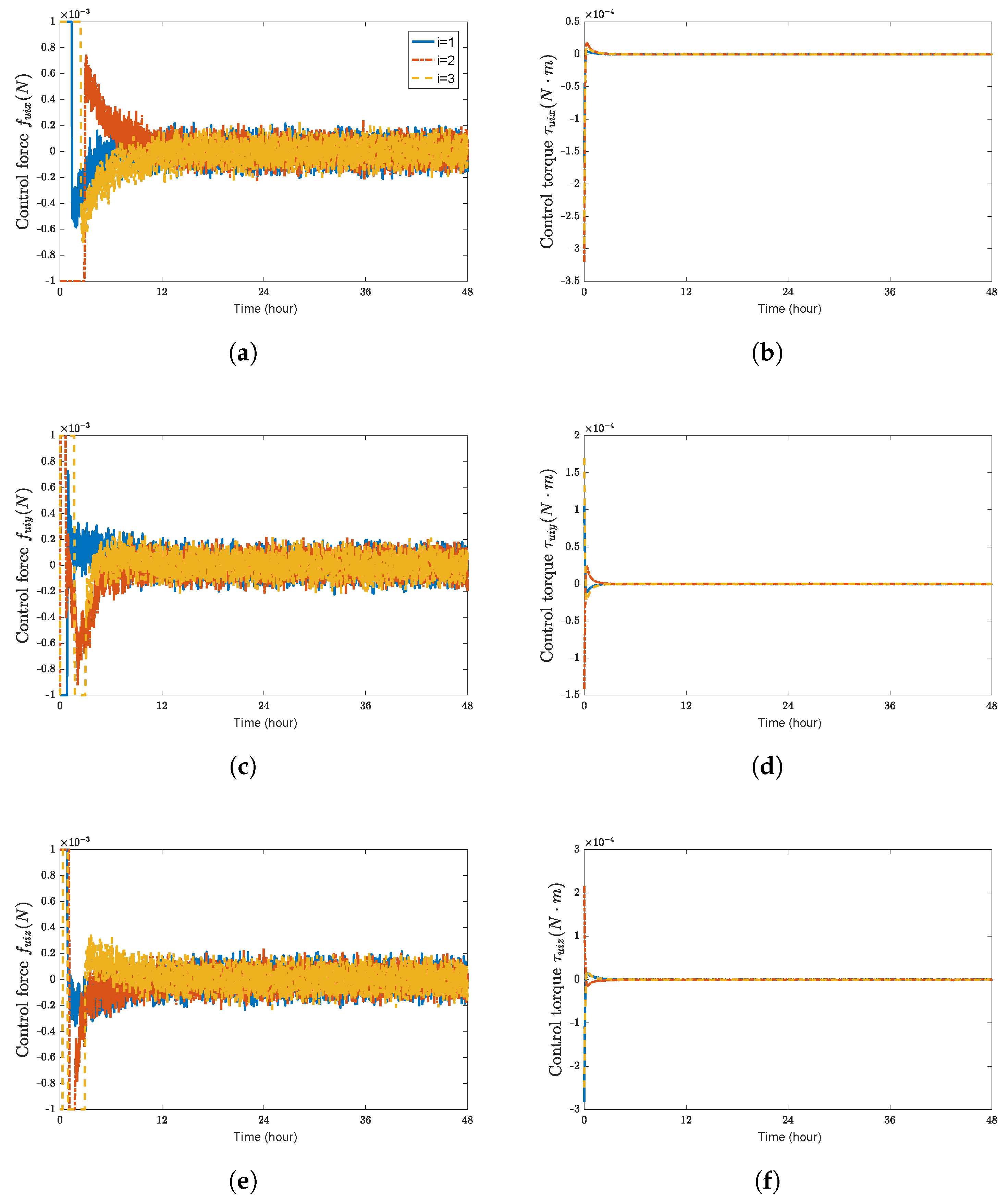
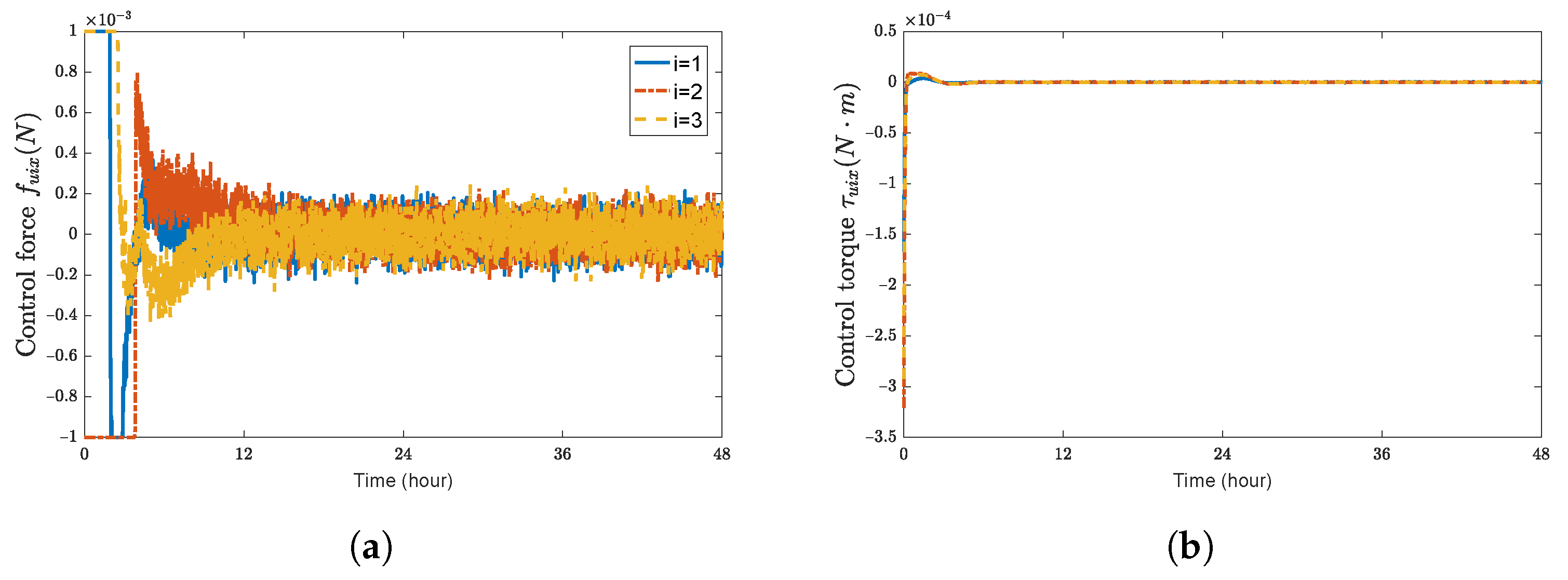
4.1. 6-DOF Coordinated Control Law with Communication Delays
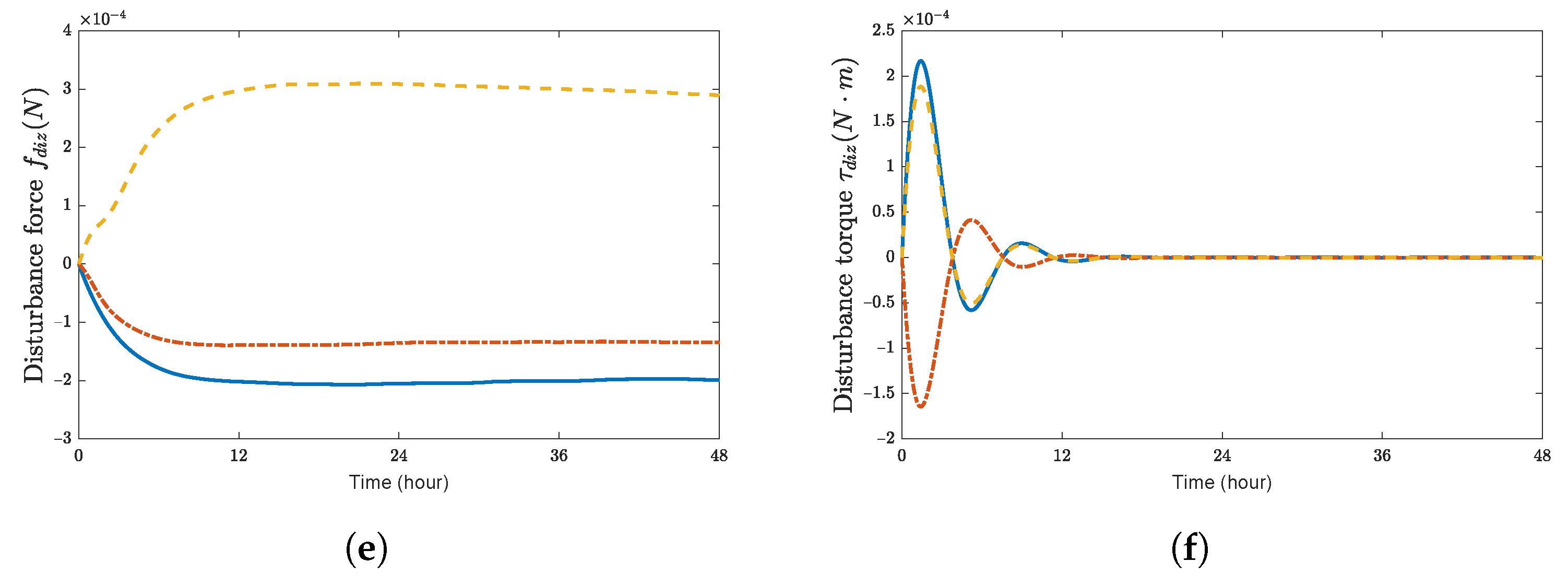
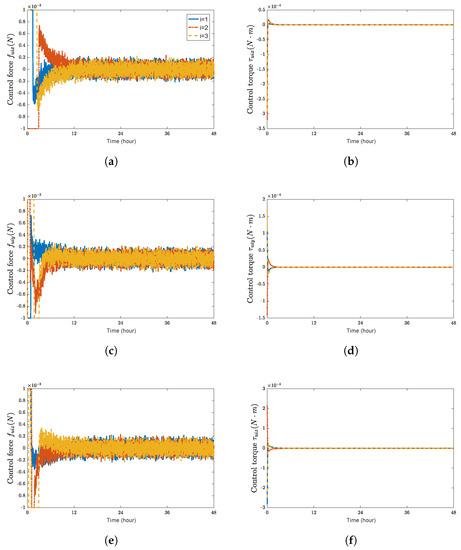
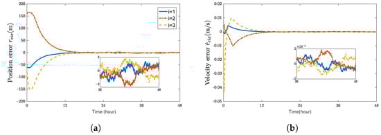
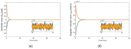
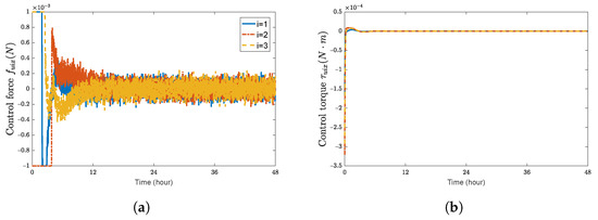
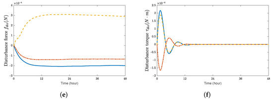
4.2. Adaptive 6-DOF Coordinated Control Law with Communication Delays
5. Conclusions
Author Contributions
Funding
Institutional Review Board Statement
Informed Consent Statement
Data Availability Statement
Acknowledgments
Conflicts of Interest
References
- Abbott, B.P.; Abbott, R.; Abbott, T.; Abernathy, M.; Acernese, F.; Ackley, K.; Adams, C.; Adams, T.; Addesso, P.; Adhikari, R.; et al. Observation of gravitational waves from a binary black hole merger. Phys. Rev. Lett. 2016, 116, 061102. [Google Scholar] [CrossRef] [PubMed]
- Stebbins, R.T. Rightsizing LISA. Class. Quantum Gravity 2009, 26, 094014. [Google Scholar] [CrossRef]
- Luo, J.; Chen, L.S.; Duan, H.Z.; Gong, Y.G.; Hu, S.; Ji, J.; Liu, Q.; Mei, J.; Milyukov, V.; Sazhin, M.; et al. TianQin: A space-borne gravitational wave detector. Class. Quantum Gravity 2016, 33, 035010. [Google Scholar] [CrossRef]
- Hu, W.R.; Wu, Y.L. Taiji program in space for gravitational wave physics and nature of gravity. Natl. Sci. Rev. 2017, 4, 685–686. [Google Scholar] [CrossRef]
- Zhang, F.; Duan, G. Robust adaptive integrated translation and rotation control of a rigid spacecraft with control saturation and actuator misalignment. Acta Astronaut. 2013, 86, 167–187. [Google Scholar] [CrossRef]
- Ye, D.; Zhang, J.; Sun, Z. Extended state observer–based finite-time controller design for coupled spacecraft formation with actuator saturation. Adv. Mech. Eng. 2017, 9, 1–13. [Google Scholar] [CrossRef]
- Nazari, M.; Butcher, E.A.; Yucelen, T.; Sanyal, A.K. Decentralized consensus control of a rigid-body spacecraft formation with communication delay. J. Guid. Control. Dyn. 2016, 39, 838–851. [Google Scholar] [CrossRef]
- Zhang, J.; Ye, D.; Liu, M.; Sun, Z. Adaptive fuzzy finite-time control for spacecraft formation with communication delays and changing topologies. J. Frankl. Inst. 2017, 354, 4377–4403. [Google Scholar] [CrossRef]
- Liu, R.; Cao, X.; Liu, M.; Zhu, Y. 6-DOF fixed-time adaptive tracking control for spacecraft formation flying with input quantization. Inf. Sci. 2019, 475, 82–99. [Google Scholar] [CrossRef]
- Filipe, N.; Tsiotras, P. Adaptive position and attitude-tracking controller for satellite proximity operations using dual quaternions. J. Guid. Control. Dyn. 2015, 38, 566–577. [Google Scholar] [CrossRef]
- Gui, H.; Vukovich, G. Dual-quaternion-based adaptive motion tracking of spacecraft with reduced control effort. Nonlinear Dyn. 2016, 83, 597–614. [Google Scholar] [CrossRef]
- Adorno, B.V. Two-Arm Manipulation: From Manipulators to Enhanced Human-Robot Collaboration. Ph.D. Thesis, Université Montpellier II-Sciences et Techniques du Languedoc, Montpellier, France, 2011. [Google Scholar]
- Wang, Y.; Yuan, Y.; Liu, J. Finite-time leader-following output consensus for multi-agent systems via extended state observer. Automatica 2021, 124, 109133. [Google Scholar] [CrossRef]
- Lu, M.; Liu, L. Leader-following attitude consensus of multiple rigid spacecraft systems under switching networks. IEEE Trans. Autom. Control 2019, 65, 839–845. [Google Scholar] [CrossRef]
- Mesbahi, M.; Hadaegh, F.Y. Formation flying control of multiple spacecraft via graphs, matrix inequalities, and switching. In Proceedings of the 1999 IEEE International Conference on Control Applications (Cat. No. 99CH36328), Kohala Coast, HI, USA, 22–27 August 1999; Volume 2, pp. 1211–1216. [Google Scholar]
- Zhang, Y.; Yang, L.; Zhu, Y.; Huang, H.; Cai, W. Nonlinear 6-DOF control of spacecraft docking with inter-satellite electromagnetic force. Acta Astronaut. 2012, 77, 97–108. [Google Scholar] [CrossRef]
- PARI, H.M.; Bolandi, H. Discrete time multiple spacecraft formation flying attitude optimal control in the presence of relative state constraints. Chin. J. Aeronaut. 2021, 34, 293–305. [Google Scholar] [CrossRef]
- Bennet, D.J.; McInnes, C.R. Pattern transition in spacecraft formation flying using bifurcating potential fields. Aerosp. Sci. Technol. 2012, 23, 250–262. [Google Scholar] [CrossRef]
- Hong, H.; Yu, C.; Yu, W. Adaptive fixed-time control for attitude consensus of disturbed multi-spacecraft systems with directed topologies. IEEE Trans. Netw. Sci. Eng. 2022, 9, 1451–1461. [Google Scholar] [CrossRef]
- Shahbazi, B.; Malekzadeh, M.; Koofigar, H.R. Robust constrained attitude control of spacecraft formation flying in the presence of disturbances. IEEE Trans. Aerosp. Electron. Syst. 2017, 53, 2534–2543. [Google Scholar] [CrossRef]
- De Queiroz, M.S.; Kapila, V.; Yan, Q. Adaptive nonlinear control of multiple spacecraft formation flying. J. Guid. Control. Dyn. 2000, 23, 385–390. [Google Scholar] [CrossRef]
- Lee, K.W.; Singh, S.N. Variable-structure model reference adaptive formation control of spacecraft. J. Guid. Control. Dyn. 2012, 35, 104–115. [Google Scholar] [CrossRef]
- Sankaranarayanan, V.N.; Satpute, S.; Nikolakopoulos, G. Adaptive Robust Control for Quadrotors with Unknown Time-Varying Delays and Uncertainties in Dynamics. Drones 2022, 6, 220. [Google Scholar] [CrossRef]
- Wang, H.; Ma, K.; Wu, S.; Li, M.; Lian, X.; Zhang, J. Robust tracking control of unknown models for space in-cabin robots with a pneumatic continuum arm. Complex Intell. Syst. 2023, 1–17. [Google Scholar] [CrossRef]
- Zhang, C.; Wang, J.; Zhang, D.; Shao, X. Fault-tolerant adaptive finite-time attitude synchronization and tracking control for multi-spacecraft formation. Aerosp. Sci. Technol. 2018, 73, 197–209. [Google Scholar] [CrossRef]
- Xing, L.; Zhang, J.; Liu, C.; Zhang, X. Fuzzy-logic-based adaptive event-triggered sliding mode control for spacecraft attitude tracking. Aerosp. Sci. Technol. 2021, 108, 106394. [Google Scholar] [CrossRef]
- Lin, X.; Shi, X.; Li, S. Adaptive tracking control for spacecraft formation flying system via modified fast integral terminal sliding mode surface. IEEE Access 2020, 8, 198357–198367. [Google Scholar] [CrossRef]
- Zhu, X.; Chen, J.; Zhu, Z.H. Adaptive sliding mode disturbance observer-based control for rendezvous with non-cooperative spacecraft. Acta Astronaut. 2021, 183, 59–74. [Google Scholar] [CrossRef]
- Yang, J.; Stoll, E. Adaptive sliding mode control for spacecraft proximity operations based on dual quaternions. J. Guid. Control. Dyn. 2019, 42, 2356–2368. [Google Scholar] [CrossRef]
- Wu, J.; Liu, K.; Han, D. Adaptive sliding mode control for six-DOF relative motion of spacecraft with input constraint. Acta Astronaut. 2013, 87, 64–76. [Google Scholar] [CrossRef]
- Huang, Y.; Jia, Y. Adaptive finite time distributed 6-DOF synchronization control for spacecraft formation without velocity measurement. Nonlinear Dyn. 2019, 95, 2275–2291. [Google Scholar] [CrossRef]
- Zhang, J.; Qinglei, H.; Danwei, W.; Wenbo, X. Robust attitude coordinated control for spacecraft formation with communication delays. Chin. J. Aeronaut. 2017, 30, 1071–1085. [Google Scholar] [CrossRef]
- Yuan, Y.; Wang, Y.; Guo, L. Sliding-mode-observer-based time-varying formation tracking for multispacecrafts subjected to switching topologies and time-delays. IEEE Trans. Autom. Control 2020, 66, 3848–3855. [Google Scholar] [CrossRef]
- Zhang, J.; Hu, Q.; Xie, W. Integral sliding mode-based attitude coordinated tracking for spacecraft formation with communication delays. Int. J. Syst. Sci. 2017, 48, 3254–3266. [Google Scholar] [CrossRef]
- Brodsky, V.; Shoham, M. Dual numbers representation of rigid body dynamics. Mech. Mach. Theory 1999, 34, 693–718. [Google Scholar] [CrossRef]
- Wang, J.; Sun, Z. 6-DOF robust adaptive terminal sliding mode control for spacecraft formation flying. Acta Astronaut. 2012, 73, 76–87. [Google Scholar] [CrossRef]
- Ye, B.B.; Zhang, X.; Zhou, M.Y.; Wang, Y.; Yuan, H.M.; Gu, D.; Ding, Y.; Zhang, J.; Mei, J.; Luo, J. Optimizing orbits for TianQin. Int. J. Mod. Phys. D 2019, 28, 1950121. [Google Scholar] [CrossRef]













| Parameter | Value | Unit |
|---|---|---|
| Perigee altitude | m | |
| Eccentricity | 0.00043 | - |
| Inclination | 74.5362 | deg |
| Argument of perigee | 346.5528 | deg |
| RAAN | 211.6003 | deg |
| True anomaly (SC1) | 61.3296 | deg |
| True anomaly (SC2) | 181.3296 | deg |
| True anomaly (SC3) | 301.3296 | deg |
| Initial Position Error (m) | Initial Velocity Error () | Initial Angular Velocity Error () | Initial Attitude Error () | |
|---|---|---|---|---|
| SC1 | [−60 80 −100] | [1.2 −0.22 0.57] | [0.8 −2 1] | [0.8727 −0.5236 0.3491] |
| SC2 | [160 100 −40] | [1.2 −3.5 −3.9] | [0.7 −2 2] | [−0.3491 0.8727 1.0472] |
| SC3 | [−80 120 100] | [2.2 1.7 −0.29] | [0.9 −1 1] | [0.5236 −0.8727 0.8727] |
Disclaimer/Publisher’s Note: The statements, opinions and data contained in all publications are solely those of the individual author(s) and contributor(s) and not of MDPI and/or the editor(s). MDPI and/or the editor(s) disclaim responsibility for any injury to people or property resulting from any ideas, methods, instructions or products referred to in the content. |
© 2023 by the authors. Licensee MDPI, Basel, Switzerland. This article is an open access article distributed under the terms and conditions of the Creative Commons Attribution (CC BY) license (https://creativecommons.org/licenses/by/4.0/).
Share and Cite
Zhang, Y.; Liu, Y.; Zhang, J.; Lu, Z.; Yang, J. Adaptive Control for Gravitational Wave Detection Formation Considering Time-Varying Communication Delays. Sensors 2023, 23, 3003. https://doi.org/10.3390/s23063003
Zhang Y, Liu Y, Zhang J, Lu Z, Yang J. Adaptive Control for Gravitational Wave Detection Formation Considering Time-Varying Communication Delays. Sensors. 2023; 23(6):3003. https://doi.org/10.3390/s23063003
Chicago/Turabian StyleZhang, Yu, Yuan Liu, Juzheng Zhang, Zhenkun Lu, and Jikun Yang. 2023. "Adaptive Control for Gravitational Wave Detection Formation Considering Time-Varying Communication Delays" Sensors 23, no. 6: 3003. https://doi.org/10.3390/s23063003
APA StyleZhang, Y., Liu, Y., Zhang, J., Lu, Z., & Yang, J. (2023). Adaptive Control for Gravitational Wave Detection Formation Considering Time-Varying Communication Delays. Sensors, 23(6), 3003. https://doi.org/10.3390/s23063003

