Retrieving Soil Physical Properties by Assimilating SMAP Brightness Temperature Observations into the Community Land Model
Abstract
1. Introduction
2. Materials and Methods
2.1. Maqu Site Observations
2.2. DA System
2.2.1. Community Land Model
2.2.2. Tor Vergata (TVG) Model
2.2.3. The Local Ensemble Transform Kalman Filter (LETKF)
2.2.4. Observations
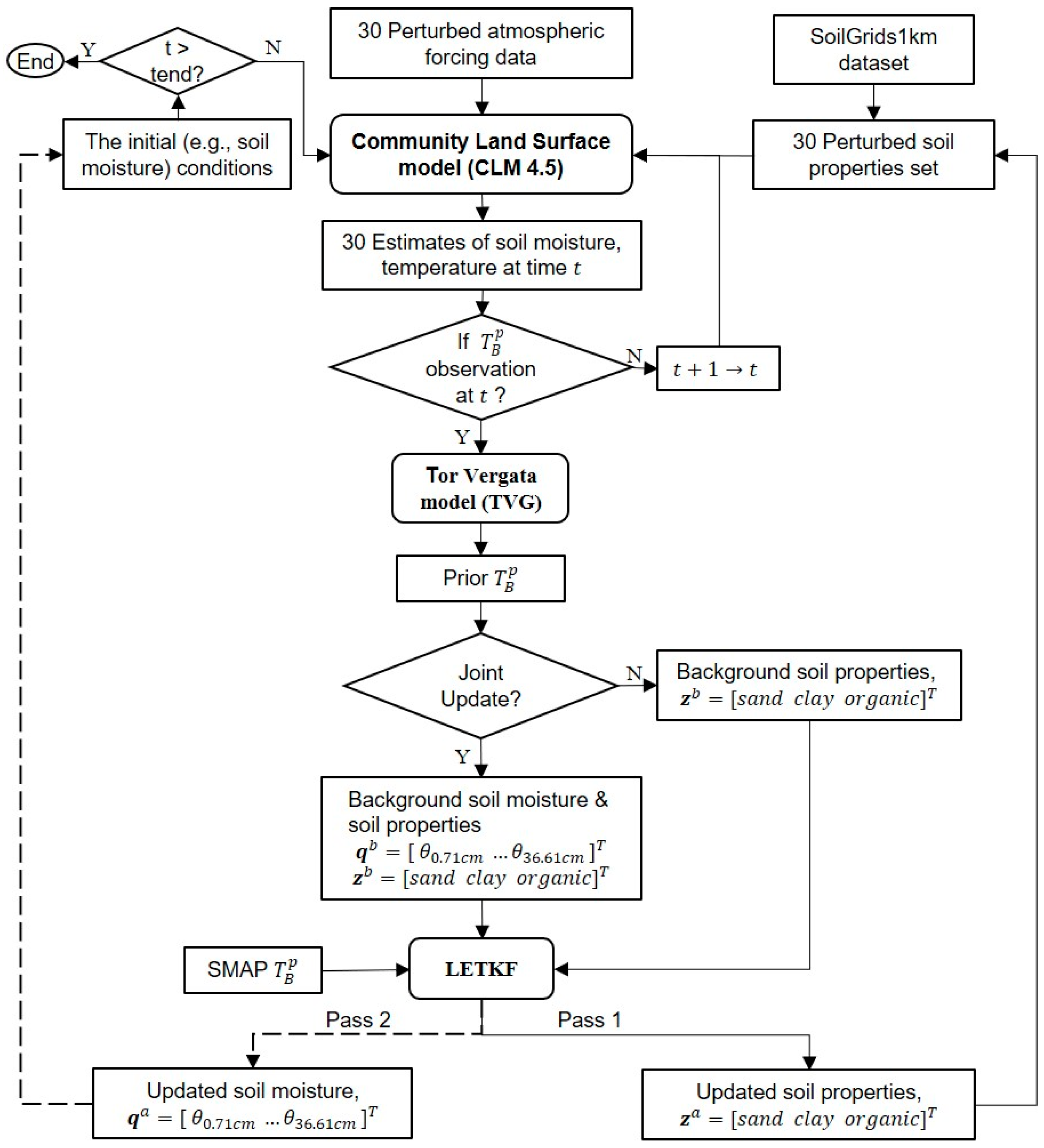
2.3. Experimental Design
3. Results and Discussions
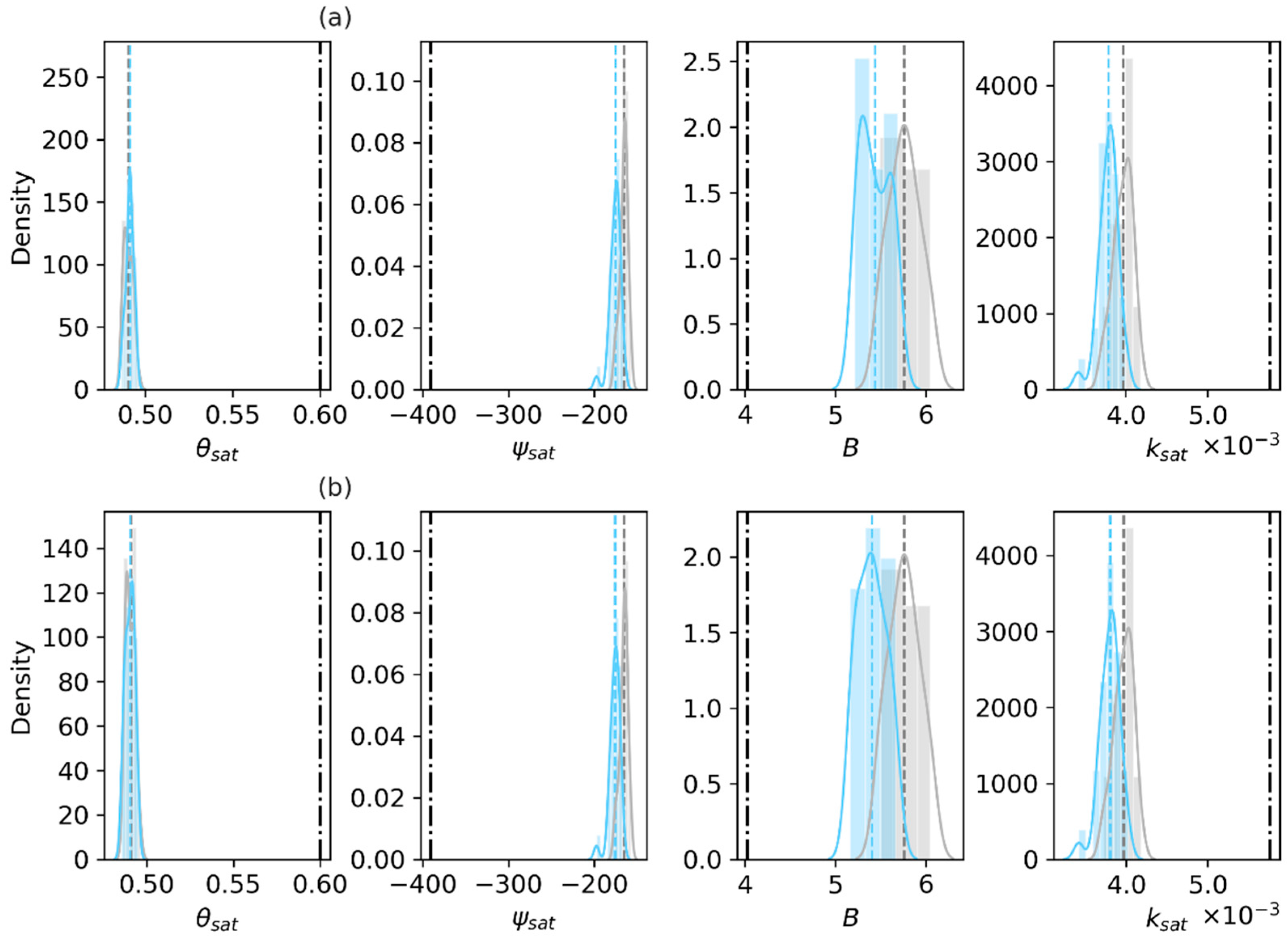
3.1. Retrieved Soil Physical Properties
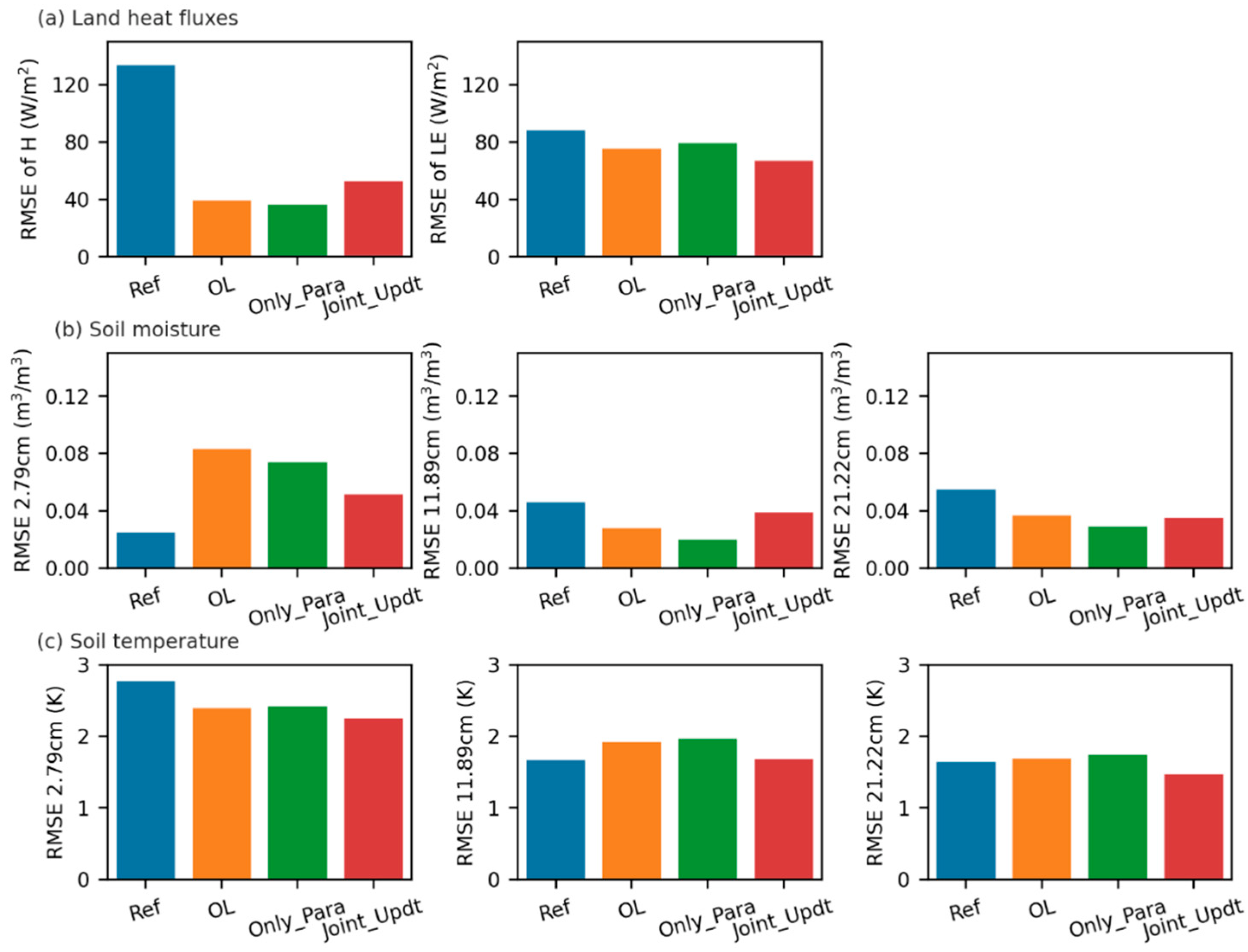
3.2. Estimates of SM
3.3. Estimates of Land Surface Fluxes and Soil Temperature
3.4. Estimates of
4. Conclusions
Supplementary Materials
Author Contributions
Funding
Institutional Review Board Statement
Informed Consent Statement
Data Availability Statement
Acknowledgments
Conflicts of Interest
References
- Legates, D.R.; Mahmood, R.; Levia, D.F.; DeLiberty, T.L.; Quiring, S.M.; Houser, C.; Nelson, F.E. Soil moisture: A central and unifying theme in physical geography. Prog. Phys. Geogr. 2011, 35, 65–86. [Google Scholar] [CrossRef]
- Schwingshackl, C.; Hirschi, M.; Seneviratne, S.I. A theoretical approach to assess soil moisture–climate coupling across CMIP5 and GLACE-CMIP5 experiments. Earth Syst. Dyn. 2018, 9, 1217–1234. [Google Scholar] [CrossRef]
- Seneviratne, S.I.; Corti, T.; Davin, E.L.; Hirschi, M.; Jaeger, E.B.; Lehner, I.; Orlowsky, B.; Teuling, A.J. Investigating soil moisture–climate interactions in a changing climate: A review. Earth Sci. Rev. 2010, 99, 125–161. [Google Scholar] [CrossRef]
- Koster, R.D.; Dirmeyer, P.A.; Guo, Z.; Bonan, G.; Chan, E.; Cox, P.; Gordon, C.; Kanae, S.; Kowalczyk, E.; Lawrence, D. Regions of strong coupling between soil moisture and precipitation. Science 2004, 305, 1138–1140. [Google Scholar] [CrossRef]
- Liu, L.; Gudmundsson, L.; Hauser, M.; Qin, D.; Li, S.; Seneviratne, S.I. Soil moisture dominates dryness stress on ecosystem production globally. Nat. Commun. 2020, 11, 4892. [Google Scholar] [CrossRef]
- Li, W.; Migliavacca, M.; Forkel, M.; Denissen, J.M.C.; Reichstein, M.; Yang, H.; Duveiller, G.; Weber, U.; Orth, R. Widespread increasing vegetation sensitivity to soil moisture. Nat. Commun. 2022, 13, 3959. [Google Scholar] [CrossRef]
- Humphrey, V.; Berg, A.; Ciais, P.; Gentine, P.; Jung, M.; Reichstein, M.; Seneviratne, S.I.; Frankenberg, C. Soil moisture-atmosphere feedback dominates land carbon uptake variability. Nature 2021, 592, 65–69. [Google Scholar] [CrossRef]
- Reichle, R.H.; Liu, Q.; Koster, R.D.; Ardizzone, J.V.; Colliander, A.; Crow, W.T.; De Lannoy, G.J.; Kimball, J.S. Soil Moisture Active Passive (SMAP) Project Assessment Report for Version 6 of the L4_SM Data Product; NASA: Hampton, Virginia, USA, 2022. [Google Scholar]
- Seo, E.; Lee, M.-I.; Reichle, R.H. Assimilation of SMAP and ASCAT soil moisture retrievals into the JULES land surface model using the Local Ensemble Transform Kalman Filter. Remote Sens. Environ. 2021, 253, 112222. [Google Scholar] [CrossRef]
- De Rosnay, P.; Balsamo, G.; Albergel, C.; Muñoz-Sabater, J.; Isaksen, L. Initialisation of land surface variables for numerical weather prediction. Surv. Geophys. 2014, 35, 607–621. [Google Scholar] [CrossRef]
- De Lannoy, G.J.M.; Reichle, R.H. Assimilation of SMOS brightness temperatures or soil moisture retrievals into a land surface model. Hydrol. Earth Syst. Sci. 2016, 20, 4895–4911. [Google Scholar] [CrossRef]
- Yang, K.; Chen, Y.; He, J.; Zhao, L.; Lu, H.; Qin, J.; Zheng, D.; Li, X. Development of a daily soil moisture product for the period of 2002–2011 in Chinese mainland. Sci. China Earth Sci. 2020, 63, 1113–1125. [Google Scholar] [CrossRef]
- De Lannoy, G.J.M.; Bechtold, M.; Albergel, C.; Brocca, L.; Calvet, J.-C.; Carrassi, A.; Crow, W.T.; de Rosnay, P.; Durand, M.; Forman, B.; et al. Perspective on satellite-based land data assimilation to estimate water cycle components in an era of advanced data availability and model sophistication. Front. Water 2022, 4, 156. [Google Scholar] [CrossRef]
- Khandan, R.; Wigneron, J.-P.; Bonafoni, S.; Biazar, A.P.; Gholamnia, M. Assimilation of Satellite-Derived Soil Moisture and Brightness Temperature in Land Surface Models: A Review. Remote Sens. 2022, 14, 770. [Google Scholar] [CrossRef]
- Hillel, D. Introduction to Environmental Soil Physics; Academic Press: San Diego, California, USA, 2003; p. 494. [Google Scholar]
- Zeng, Y.; Wan, L.; Su, Z.; Saito, H.; Huang, K.; Wang, X. Diurnal soil water dynamics in the shallow vadose zone (field site of China University of Geosciences, China). Environ. Geol. 2009, 58, 11–23. [Google Scholar] [CrossRef]
- Zeng, Y.; Su, Z.; Wan, L.; Wen, J. Numerical analysis of air-water-heat flow in unsaturated soil: Is it necessary to consider airflow in land surface models? J. Geophys. Res. 2011, 116, D20107. [Google Scholar] [CrossRef]
- Zeng, Y.; Su, Z.; Wan, L.; Wen, J. A simulation analysis of the advective effect on evaporation using a two-phase heat and mass flow model. Water Resour. Res. 2011, 47, W10529. [Google Scholar] [CrossRef]
- Van Looy, K.; Bouma, J.; Herbst, M.; Koestel, J.; Minasny, B.; Mishra, U.; Montzka, C.; Nemes, A.; Pachepsky, Y.A.; Padarian, J.; et al. Pedotransfer Functions in Earth System Science: Challenges and Perspectives. Rev. Geophys. 2017, 55, 1199–1256. [Google Scholar] [CrossRef]
- Vereecken, H.; Weynants, M.; Javaux, M.; Pachepsky, Y.; Schaap, M.; Genuchten, M.T. Using pedotransfer functions to estimate the van Genuchten–Mualem soil hydraulic properties: A review. Vadose Zone J. 2010, 9, 795–820. [Google Scholar] [CrossRef]
- FAO/IIASA/ISRIC/ISSCAS/JR. Harmonized World Soil Database (Version 1.2); Food and Agriculture Organization: Rome, Italy, 2012. [Google Scholar]
- Su, Z.; de Rosnay, P.; Wen, J.; Wang, L.; Zeng, Y. Evaluation of ECMWF’s soil moisture analyses using observations on the Tibetan Plateau. J. Geophys. Res. Atmos. 2013, 118, 5304–5318. [Google Scholar] [CrossRef]
- Zhao, H.; Zeng, Y.; Lv, S.; Su, Z. Analysis of soil hydraulic and thermal properties for land surface modeling over the Tibetan Plateau. Earth Syst. Sci. Data 2018, 10, 1031–1061. [Google Scholar] [CrossRef]
- Paschalis, A.; Bonetti, S.; Guo, Y.; Fatichi, S. On the Uncertainty Induced by Pedotransfer Functions in Terrestrial Biosphere Modeling. Water. Resour. Res. 2022, 58, e2021WR031871. [Google Scholar] [CrossRef]
- Bandara, R.; Walker, J.P.; Rüdiger, C.; Merlin, O. Towards soil property retrieval from space: An application with disaggregated satellite observations. J. Hydrol. 2015, 522, 582–593. [Google Scholar] [CrossRef]
- Mohanty, B.P. Soil hydraulic property estimation using remote sensing: A review. Vadose Zone J. 2013, 12, 1–9. [Google Scholar] [CrossRef]
- Pauwels, V.; Balenzano, A.; Satalino, G.; Skriver, H.; Verhoest, N.E.; Mattia, F. Optimization of soil hydraulic model parameters using synthetic aperture radar data: An integrated multidisciplinary approach. IEEE Trans. Geosci. Remote Sens. 2009, 47, 455–467. [Google Scholar] [CrossRef]
- Pinnington, E.; Quaife, T.; Black, E. Impact of remotely sensed soil moisture and precipitation on soil moisture prediction in a data assimilation system with the JULES land surface model. Hydrol. Earth Syst. Sci. 2018, 22, 2575–2588. [Google Scholar] [CrossRef]
- Montzka, C.; Moradkhani, H.; Weihermüller, L.; Franssen, H.-J.H.; Canty, M.; Vereecken, H. Hydraulic parameter estimation by remotely-sensed top soil moisture observations with the particle filter. J. Hydrol. 2011, 399, 410–421. [Google Scholar] [CrossRef]
- Bandara, R.; Walker, J.P.; Rüdiger, C. Towards soil property retrieval from space: Proof of concept using in situ observations. J. Hydrol. 2014, 512, 27–38. [Google Scholar] [CrossRef]
- Shellito, P.J.; Small, E.E.; Cosh, M.H. Calibration of Noah Soil Hydraulic Property Parameters Using Surface Soil Moisture from SMOS and Basinwide In Situ Observations. J. Hydrometeorol. 2016, 17, 2275–2292. [Google Scholar] [CrossRef]
- Cooper, E.; Blyth, E.; Cooper, H.; Ellis, R.; Pinnington, E.; Dadson, S.J. Using data assimilation to optimize pedotransfer functions using large-scale in-situ soil moisture observations. Hydrol. Earth Syst. Sci. 2021, 25, 2445–2458. [Google Scholar] [CrossRef]
- Pinnington, E.; Amezcua, J.; Cooper, E.; Dadson, S.; Ellis, R.; Peng, J.; Robinson, E.; Morrison, R.; Osborne, S.; Quaife, T. Improving soil moisture prediction of a high-resolution land surface model by parameterising pedotransfer functions through assimilation of SMAP satellite data. Hydrol. Earth Syst. Sci. 2021, 25, 1617–1641. [Google Scholar] [CrossRef]
- Su, Z.; Wen, J.; Dente, L.; van der Velde, R.; Wang, L.; Ma, Y.; Yang, K.; Hu, Z. The Tibetan Plateau observatory of plateau scale soil moisture and soil temperature (Tibet-Obs) for quantifying uncertainties in coarse resolution satellite and model products. Hydrol. Earth Syst. Sci. 2011, 15, 2303–2316. [Google Scholar] [CrossRef]
- Zeng, J.; Li, Z.; Chen, Q.; Bi, H.; Qiu, J.; Zou, P. Evaluation of remotely sensed and reanalysis soil moisture products over the Tibetan Plateau using in-situ observations. Remote Sens. Environ. 2015, 163, 91–110. [Google Scholar] [CrossRef]
- Zeng, Y.; Su, Z.; van der Velde, R.; Wang, L.; Xu, K.; Wang, X.; Wen, J. Blending Satellite Observed, Model Simulated, and in Situ Measured Soil Moisture over Tibetan Plateau. Remote Sens. 2016, 8, 268. [Google Scholar] [CrossRef]
- Zhuang, R.; Zeng, Y.; Manfreda, S.; Su, Z. Quantifying long-term land surface and root zone soil moisture over Tibetan Plateau. Remote Sens. 2020, 12, 509. [Google Scholar] [CrossRef]
- Su, Z.; Wen, J.; Zeng, Y.; Zhao, H.; Lv, S.; van der Velde, R.; Zheng, D.; Wang, X.; Wang, Z.; Schwank, M.; et al. Multiyear in-situ L-band microwave radiometry of land surface processes on the Tibetan Plateau. Sci. Data 2020, 7, 317. [Google Scholar] [CrossRef]
- Wigneron, J.P.; Jackson, T.J.; O’Neill, P.; De Lannoy, G.; de Rosnay, P.; Walker, J.P.; Ferrazzoli, P.; Mironov, V.; Bircher, S.; Grant, J.P.; et al. Modelling the passive microwave signature from land surfaces: A review of recent results and application to the L-band SMOS & SMAP soil moisture retrieval algorithms. Remote Sens. Environ. 2017, 192, 238–262. [Google Scholar]
- Ines, A.V.; Mohanty, B.P. Near-surface soil moisture assimilation for quantifying effective soil hydraulic properties using genetic algorithms: 2. Using airborne remote sensing during SGP97 and SMEX02. Water. Resour. Res. 2009, 45, W01408. [Google Scholar] [CrossRef]
- Dobson, M.C.; Ulaby, F.T.; Hallikainen, M.T.; El-Rayes, M.A. Microwave dielectric behavior of wet soil—Part II: Dielectric mixing models. IEEE Trans. Geosci. Remote Sens. 1985, 23, 35–46. [Google Scholar] [CrossRef]
- Mironov, V.L.; Kosolapova, L.G.; Fomin, S.V. Physically and mineralogically based spectroscopic dielectric model for moist soils. IEEE Trans. Geosci. Remote Sens. 2009, 47, 2059–2070. [Google Scholar] [CrossRef]
- Chen, Y.; Yang, K.; Tang, W.; Qin, J.; Zhao, L. Parameterizing soil organic carbon’s impacts on soil porosity and thermal parameters for Eastern Tibet grasslands. Sci. China Earth Sci. 2012, 55, 1001–1011. [Google Scholar] [CrossRef]
- Mironov, V.L.; Kosolapova, L.G.; Fomin, S.V.; Savin, I.V. Experimental Analysis and Empirical Model of the Complex Permittivity of Five Organic Soils at 1.4 GHz in the Temperature Range from −30° C to 25° C. IEEE Trans. Geosci. Remote Sens. 2019, 57, 3778–3787. [Google Scholar] [CrossRef]
- Park, C.H.; Montzka, C.; Jagdhuber, T.; Jonard, F.; De Lannoy, G.; Hong, J.; Jackson, T.J.; Wulfmeyer, V. A dielectric mixing model accounting for soil organic matter. Vadose Zone J. 2019, 18, 190036. [Google Scholar] [CrossRef]
- Vereecken, H.; Amelung, W.; Bauke, S.L.; Bogena, H.; Brüggemann, N.; Montzka, C.; Vanderborght, J.; Bechtold, M.; Blöschl, G.; Carminati, A.; et al. Soil hydrology in the Earth system. Nat. Rev. Earth Environ. 2022, 3, 573–587. [Google Scholar] [CrossRef]
- De Rosnay, P.; Browne, P.; de Boisséson, E.; Fairbairn, D.; Hirahara, Y.; Ochi, K.; Schepers, D.; Weston, P.; Zuo, H.; Alonso-Balmaseda, M.; et al. Coupled data assimilation at ECMWF: Current status, challenges and future developments. Q. J. R. Meteorol. Soc. 2022, 148, 2672–2702. [Google Scholar] [CrossRef]
- Dimitrov, M.; Vanderborght, J.; Kostov, K.G.; Jadoon, K.Z.; Weihermüller, L.; Jackson, T.J.; Bindlish, R.; Pachepsky, Y.; Schwank, M.; Vereecken, H. Soil Hydraulic Parameters and Surface Soil Moisture of a Tilled Bare Soil Plot Inversely Derived from L-Band Brightness Temperatures. Vadose Zone J. 2014, 13, 1–18. [Google Scholar] [CrossRef]
- Yang, K.; Zhu, L.; Chen, Y.; Zhao, L.; Qin, J.; Lu, H.; Tang, W.; Han, M.; Ding, B.; Fang, N. Land surface model calibration through microwave data assimilation for improving soil moisture simulations. J. Hydrol. 2016, 533, 266–276. [Google Scholar] [CrossRef]
- Tian, J.; Qin, J.; Yang, K.; Zhao, L.; Chen, Y.; Lu, H.; Li, X.; Shi, J. Improving surface soil moisture retrievals through a novel assimilation algorithm to estimate both model and observation errors. Remote Sens. Environ. 2022, 269, 112802. [Google Scholar] [CrossRef]
- Rosen, P.A.; Kumar, R. NASA-ISRO SAR (NISAR) Mission Status; 2021 IEEE Radar Conference (RadarConf21); IEEE: Atlanta, GA, USA, 2021; pp. 1–6. [Google Scholar]
- Pierdicca, N.; Davidson, M.; Chini, M.; Dierking, W.; Djavidnia, S.; Haarpaintner, J.; Hajduch, G.; Laurin, G.V.; Lavalle, M.; López-Martínez, C. The Copernicus L-Band SAR Mission ROSE-L (Radar Observing System for Europe)(Conference Presentation); Active and Passive Microwave Remote Sensing for Environmental Monitoring III, 2019; SPIE: San Diego, California, USA, 2019; p. 111540E. [Google Scholar]
- Dente, L.; Ferrazzoli, P.; Su, Z.; van der Velde, R.; Guerriero, L. Combined use of active and passive microwave satellite data to constrain a discrete scattering model. Remote Sens. Environ. 2014, 155, 222–238. [Google Scholar] [CrossRef]
- Zhao, H.; Zeng, Y.; Hofste, J.G.; Duan, T.; Wen, J.; Su, Z. Modelling of Multi-Frequency Microwave Backscatter and Emission of Land Surface by a Community Land Active Passive Microwave Radiative Transfer Modelling Platform (CLAP). Hydrol. Earth Syst. Sci. Discuss. 2022, 1–48. [Google Scholar] [CrossRef]
- Peake, W. Interaction of electromagnetic waves with some natural surfaces. IRE IEEE Trans. Antennas Propag. 1959, 7, 324–329. [Google Scholar] [CrossRef]
- Fung, A.K. Microwave Scattering and Emission Models and Their Applications; Artech House: Norwood, MA, USA, 1994. [Google Scholar]
- Chen, K.-S.; Wu, T.-D.; Tsang, L.; Li, Q.; Shi, J.; Fung, A.K. Emission of rough surfaces calculated by the integral equation method with comparison to three-dimensional moment method simulations. IEEE Trans. Geosci. Remote Sens. 2003, 41, 90–101. [Google Scholar] [CrossRef]
- Ferrazzoli, P.; Guerriero, L. Emissivity of vegetation: Theory and computational aspects. J. Electromagn. Waves Appl. J. 1996, 10, 609–628. [Google Scholar] [CrossRef]
- Zhao, H.; Zeng, Y.; Wen, J.; Wang, X.; Wang, Z.; Meng, X.; Su, Z. An Air-to-Soil Transition Model for Discrete Scattering-Emission Modelling at L-Band. J. Remote Sens. 2021, 2021, 3962350. [Google Scholar] [CrossRef]
- Oleson, K.; Lawrence, D.; Bonan, G.; Drewniak, B.; Huang, M.; Koven, C.; Levis, S.; Li, F.; Riley, W.; Subin, Z. Technical Description of Version 4.5 of the Community Land Model (CLM) (No. NCAR/TN-503+ STR); UCAR: Boulder, CO, USA, 2013. [Google Scholar]
- Han, X.; Franssen, H.-J.H.; Montzka, C.; Vereecken, H. Soil moisture and soil properties estimation in the Community Land Model with synthetic brightness temperature observations. Water. Resour. Res. 2014, 50, 6081–6105. [Google Scholar] [CrossRef]
- Han, X.; Li, X.; He, G.; Kumbhar, P.; Montzka, C.; Kollet, S.; Miyoshi, T.; Rosolem, R.; Zhang, Y.; Vereecken, H. DasPy 1.0—The Open Source Multivariate Land Data Assimilation Framework in Combination with the Community Land Model 4.5. Geosci. Model Dev. Discuss. 2015, 8, 7395–7444. [Google Scholar]
- Rains, D.; Han, X.; Lievens, H.; Montzka, C.; Verhoest, N.E.C. SMOS brightness temperature assimilation into the Community Land Model. Hydrol. Earth Syst. Sci. 2017, 21, 5929–5951. [Google Scholar] [CrossRef]
- O’Neill, P.; Bindlish, R.; Chan, S.; Njoku, E.; Jackson, T. Algorithm Theoretical Basis Document. Level 2 & 3 Soil Moisture (Passive) Data Products; JPL: Pasadena, CA, USA, 2020. [Google Scholar]
- Hunt, B.R.; Kostelich, E.J.; Szunyogh, I. Efficient data assimilation for spatiotemporal chaos: A local ensemble transform Kalman filter. Phys. D Nonlinear Phenom. 2007, 230, 112–126. [Google Scholar] [CrossRef]
- Dente, L.; Vekerdy, Z.; Wen, J.; Su, Z. Maqu network for validation of satellite-derived soil moisture products. Int. J. Appl. Earth Obs. Geoinf. 2012, 17, 55–65. [Google Scholar] [CrossRef]
- Peel, M.C.; Finlayson, B.L.; McMahon, T.A. Updated world map of the Köppen-Geiger climate classification. Hydrol. Earth Syst. Sci. 2007, 11, 1633–1644. [Google Scholar] [CrossRef]
- Buol, S.W.; Southard, R.J.; Graham, R.C.; McDaniel, P.A. Soil Genesis and Classification; John Wiley & Sons: Hoboken, NJ, USA, 2011. [Google Scholar]
- Schwank, M.; Wiesmann, A.; Werner, C.; Mätzler, C.; Weber, D.; Murk, A.; Völksch, I.; Wegmüller, U. ELBARA II, an L-band radiometer system for soil moisture research. Sensors 2010, 10, 584–612. [Google Scholar] [CrossRef]
- Clapp, R.B.; Hornberger, G.M. Empirical equations for some soil hydraulic properties. Water. Resour. Res. 1978, 14, 601–604. [Google Scholar] [CrossRef]
- Cosby, B.; Hornberger, G.; Clapp, R.; Ginn, T. A statistical exploration of the relationships of soil moisture characteristics to the physical properties of soils. Water. Resour. Res. 1984, 20, 682–690. [Google Scholar] [CrossRef]
- Lawrence, D.M.; Slater, A.G. Incorporating organic soil into a global climate model. Clim. Dyn. 2008, 30, 145–160. [Google Scholar] [CrossRef]
- De Vries, D.A. Thermal properties of soils. Phys. Plant. Env. 1963, 211–234. [Google Scholar] [CrossRef]
- Johansen, O. Thermal Conductivity of Soils; DTIC Document: Fort Belvoir, VA, USA, 1975. [Google Scholar]
- Yu, L.; Zeng, Y.; Wen, J.; Su, Z. Liquid-Vapor-Air Flow in the Frozen Soil. J. Geophys. Res. Atmos. 2018, 123, 7393–7415. [Google Scholar] [CrossRef]
- Bracaglia, M.; Ferrazzoli, P.; Guerriero, L. A fully polarimetric multiple scattering model for crops. Remote Sens. Environ. 1995, 54, 170–179. [Google Scholar] [CrossRef]
- Eom, H.J.; Fung, A.F. A scatter model for vegetation up to Ku-band. Remote Sens. Environ. 1984, 15, 185–200. [Google Scholar] [CrossRef]
- Matzler, C. Microwave (1–100 GHz) dielectric model of leaves. IEEE Trans. Geosci. Remote Sens. 1994, 32, 947–949. [Google Scholar] [CrossRef]
- Wang, Q.; van der Velde, R.; Su, Z. Use of a discrete electromagnetic model for simulating Aquarius L-band active/passive observations and soil moisture retrieval. Remote Sens. Environ. 2018, 205, 434–452. [Google Scholar] [CrossRef]
- Bai, X.; Zeng, J.; Chen, K.S.; Li, Z.; Zeng, Y.; Wen, J.; Wang, X.; Dong, X.; Su, Z. Parameter Optimization of a Discrete Scattering Model by Integration of Global Sensitivity Analysis Using SMAP Active and Passive Observations. IEEE Trans. Geosci. Remote Sens. 2019, 57, 1084–1099. [Google Scholar] [CrossRef]
- Park, C.-H.; Behrendt, A.; LeDrew, E.; Wulfmeyer, V. New approach for calculating the effective dielectric constant of the moist soil for microwaves. Remote Sens. 2017, 9, 732. [Google Scholar] [CrossRef]
- Konings, A.G.; Piles, M.; Das, N.; Entekhabi, D. L-band vegetation optical depth and effective scattering albedo estimation from SMAP. Remote Sens. Environ. 2017, 198, 460–470. [Google Scholar] [CrossRef]
- Kerr, Y.H.; Waldteufel, P.; Richaume, P.; Wigneron, J.P.; Ferrazzoli, P.; Mahmoodi, A.; Al Bitar, A.; Cabot, F.; Gruhier, C.; Juglea, S.E. The SMOS soil moisture retrieval algorithm. IEEE Trans. Geosci. Remote Sens. 2012, 50, 1384–1403. [Google Scholar] [CrossRef]
- Wilheit, T.T. Radiative transfer in a plane stratified dielectric. IEEE Trans. Geosci. Electron. 1978, 16, 138–143. [Google Scholar] [CrossRef]
- Bannister, R. A review of operational methods of variational and ensemble-variational data assimilation. Q. J. R. Meteorol. Soc. 2017, 143, 607–633. [Google Scholar] [CrossRef]
- Carrassi, A.; Bocquet, M.; Bertino, L.; Evensen, G. Data assimilation in the geosciences: An overview of methods, issues, and perspectives. Wiley Interdiscip. Rev. Clim. Chang. 2018, 9, e535. [Google Scholar] [CrossRef]
- Whitaker, J.S.; Hamill, T.M. Evaluating methods to account for system errors in ensemble data assimilation. Mon. Weather Rev. 2012, 140, 3078–3089. [Google Scholar] [CrossRef]
- Entekhabi, D.; Yueh, S.; O’Neill, P.E.; Kellogg, K.H.; Allen, A.; Bindlish, R.; Brown, M.; Chan, S.; Colliander, A.; Crow, W.T. SMAP Handbook—Soil Moisture Active Passive: Mapping Soil Moisture and Freeze/Thaw from Space; JPL: Pasadena, CA, USA, 2014. [Google Scholar]
- Hengl, T.; de Jesus, J.M.; MacMillan, R.A.; Batjes, N.H.; Heuvelink, G.B.; Ribeiro, E.; Samuel-Rosa, A.; Kempen, B.; Leenaars, J.G.; Walsh, M.G. SoilGrids 1 km—Global soil information based on automated mapping. PLoS ONE 2014, 9, e105992. [Google Scholar] [CrossRef]
- Zhang, Z.; Wei, M.; Wenjie, F.; Donghui, X.; Xin, H. Reconstruction of soil particle composition during freeze-thaw cycling: A review. Pedosphere 2016, 26, 167–179. [Google Scholar] [CrossRef]
- Xie, S.-B.; Jian-Jun, Q.; Yuan-Ming, L.; Zhi-Wei, Z.; Xiang-Tian, X. Effects of freeze-thaw cycles on soil mechanical and physical properties in the Qinghai-Tibet Plateau. J. Mt. Sci. 2015, 12, 999–1009. [Google Scholar] [CrossRef]
- Lv, S.; Wen, J.; Simmer, C.; Zeng, Y.; Guo, Y.; Su, Z. A Novel Freeze-Thaw State Detection Algorithm Based on L-Band Passive Microwave Remote Sensing. Remote Sens. 2022, 14, 4747. [Google Scholar] [CrossRef]
- Yu, L.; Fatichi, S.; Zeng, Y.; Su, Z. The role of vadose zone physics in the ecohydrological response of a Tibetan meadow to freeze–thaw cycles. Cryosphere 2020, 14, 4653–4673. [Google Scholar] [CrossRef]
- Mwangi, S.; Zeng, Y.; Montzka, C.; Yu, L.; Su, Z. Assimilation of cosmic-ray neutron counts for the estimation of soil ice content on the eastern Tibetan Plateau. J. Geophys. Res. Atmos. 2020, 125, e2019JD031529. [Google Scholar] [CrossRef]
- Reichle, R.H.; Crow, W.T.; Keppenne, C.L. An adaptive ensemble Kalman filter for soil moisture data assimilation. Water Resour. Res. 2008, 44, W03423. [Google Scholar] [CrossRef]
- Zheng, D.; Li, X.; Wang, X.; Wang, Z.; Wen, J.; van der Velde, R.; Schwank, M.; Su, Z. Sampling depth of L-band radiometer measurements of soil moisture and freeze-thaw dynamics on the Tibetan Plateau. Remote Sens. Environ. 2019, 226, 16–25. [Google Scholar] [CrossRef]
- Ma, J.; Zhu, Y.; Wobus, R.; Wang, P. An effective configuration of ensemble size and horizontal resolution for the NCEP GEFS. Adv. Atmos. Sci. 2012, 29, 782–794. [Google Scholar] [CrossRef]
- Gelb, A. Applied Optimal Estimation; MIT Press: Cambridge, MA, USA, 1974. [Google Scholar]
- Wang, J.R. Microwave emission from smooth bare fields and soil moisture sampling depth. IEEE Trans. Geosci. Remote Sens. 1987, GE-25, 616–622. [Google Scholar] [CrossRef]
- Mironov, V.L.; Dobson, M.C.; Kaupp, V.H.; Komarov, S.A.; Kleshchenko, V.N. Generalized refractive mixing dielectric model for moist soils. IEEE Trans. Geosci. Remote Sens. 2004, 42, 773–785. [Google Scholar] [CrossRef]
- Wang, J.R.; Schmugge, T.J. An empirical model for the complex dielectric permittivity of soils as a function of water content. IEEE Trans. Geosci. Remote Sens. 1980, GE-18, 288–295. [Google Scholar] [CrossRef]
- Campbell, G.S. A simple method for determining unsaturated conductivity from moisture retention data. Soil Sci. 1974, 117, 311–314. [Google Scholar] [CrossRef]
- Kennedy, D.; Swenson, S.; Oleson, K.W.; Lawrence, D.M.; Fisher, R.; Lola da Costa, A.C.; Gentine, P. Implementing plant hydraulics in the community land model, version 5. J. Adv. Model. Earth. Syst. 2019, 11, 485–513. [Google Scholar] [CrossRef]
- Kumar, S.V.; Reichle, R.H.; Koster, R.D.; Crow, W.T.; Peters-Lidard, C.D. Role of subsurface physics in the assimilation of surface soil moisture observations. J. Hydrometeorol. 2009, 10, 1534–1547. [Google Scholar] [CrossRef]
- Njoku, E.G.; Wilson, W.J.; Yueh, S.H.; Dinardo, S.J.; Li, F.K.; Jackson, T.J.; Lakshmi, V.; Bolten, J. Observations of soil moisture using a passive and active low-frequency microwave airborne sensor during SGP99. IEEE Trans. Geosci. Remote Sens. 2002, 40, 2659–2673. [Google Scholar] [CrossRef]
- Steele-Dunne, S.C.; McNairn, H.; Monsivais-Huertero, A.; Judge, J.; Liu, P.-W.; Papathanassiou, K. Radar Remote Sensing of Agricultural Canopies: A Review. IEEE J. Sel. Top. Appl. Earth Obs. Remote Sens. 2017, 10, 2249–2273. [Google Scholar] [CrossRef]
- Karthikeyan, L.; Pan, M.; Wanders, N.; Kumar, D.N.; Wood, E.F. Four decades of microwave satellite soil moisture observations: Part 1. A review of retrieval algorithms. Adv. Water Resour. 2017, 109, 106–120. [Google Scholar] [CrossRef]
- Mengen, D.; Montzka, C.; Jagdhuber, T.; Fluhrer, A.; Brogi, C.; Baum, S.; Schüttemeyer, D.; Bayat, B.; Bogena, H.; Coccia, A.; et al. The SARSense Campaign: Air- and Space-Borne C- and L-Band SAR for the Analysis of Soil and Plant Parameters in Agriculture. Remote Sens. 2021, 13, 825. [Google Scholar] [CrossRef]
- Weihermüller, L.; Lehmann, P.; Herbst, M.; Rahmati, M.; Verhoef, A.; Or, D.; Jacques, D.; Vereecken, H. Choice of pedotransfer functions matters when simulating soil water balance fluxes. J. Adv. Model. Earth Syst. 2021, 13, e2020MS002404. [Google Scholar] [CrossRef]
- Van Genuchten, M.T. A closed-form equation for predicting the hydraulic conductivity of unsaturated soils. Soil Sci. Soc. Am. J. 1980, 44, 892–898. [Google Scholar] [CrossRef]
- Brown, W.F. Dielectrics. In Dielectrics; Springer: Berlin, Germany, 1956; Volume 17, pp. 1–154. [Google Scholar]
- Tóth, B.; Weynants, M.; Nemes, A.; Makó, A.; Bilas, G.; Tóth, G. New generation of hydraulic pedotransfer functions for Europe. Eur. J. Soil. Sci. 2015, 66, 226–238. [Google Scholar] [CrossRef]











| Layer | Layer Node Depth (cm) | Thickness (cm) | Depth (cm) | Depth Ratio [-] | |
|---|---|---|---|---|---|
| Organic Matter Density Sand Fraction | |||||
| 1 | 0.71 | 1.75 | 1.75 | 1.0 | 1.0 |
| 2 | 2.79 | 2.76 | 4.51 | 0.98 | 1.02 |
| 3 | 6.23 | 6.23 | 9.06 | 0.95 | 1.06 |
| 4 | 11.89 | 11.89 | 16.55 | 0.45 | 1.12 |
| 5 | 21.22 | 21.22 | 28.91 | 0.28 | 1.14 |
| 6 | 36.61 | 36.61 | 49.29 | 0.18 | 1.16 |
| 7 | 61.98 | 61.98 | 82.89 | 0.12 | 1.18 |
| 8 | 103.8 | 103.8 | 138.28 | 0.07 | 1.19 |
| 9 | 172.76 | 172.76 | 229.61 | 0 | 1.21 |
| 10 | 286.46 | 286.46 | 380.19 | 0 | 1.23 |
| Variables | Noise | Distribution | Mean | Standard Deviation |
|---|---|---|---|---|
| Air temperature | additive | normal | 0 | 1.0 K |
| Precipitation | multiplicative | lognormal | 1.0 | 0.5 |
| Shortwave radiation | multiplicative | normal | 1.0 | 0.3 |
| Longwave radiation | additive | normal | 0 | 36.0 W/m2 |
| Soil Properties | Noise | Distribution | Lower Value | Upper Value | Range |
|---|---|---|---|---|---|
| Sand fraction (%) | Additive | Uniform | −2.0 | 2.0 | 14–60 |
| Clay fraction (%) | Additive | Uniform | −2.0 | 2.0 | 3–20 |
| Organic matter density (kg/m3) | Additive | Uniform | −1.0 | 1.0 | 1–40 |
| Soil Property | True | _std | |||||||||
|---|---|---|---|---|---|---|---|---|---|---|---|
| Only_Para | Joint_Updt | Only_Para | Joint_Updt | ||||||||
| _std | _std | _std | _std | ||||||||
| Sand fraction (%) | 38.8 | 46.1 | 1.0 | 46.0 | 1.0 | 42.6 | 0.9 | 43.3 | 1.1 | 43.3 | 1.1 |
| Clay fraction (%) | 9.4 | 17.6 | 1.2 | 13.0 | 1.0 | 13.6 | 1.0 | 15.3 | 1.1 | 15.1 | 1.1 |
| Organic matter density (kg/m3) | 18.0 | 17.2 | 0.5 | 17.5 | 0.6 | 16.0 | 0.5 | 17.2 | 0.5 | 16.9 | 0.6 |
| Soil Property | _RMSE | ||||||||
|---|---|---|---|---|---|---|---|---|---|
| Only_Para | Joint_Updt | Only_Para | Joint_Updt | ||||||
| _RMSE | Reduction | _RMSE | Reduction | _RMSE | Reduction | _RMSE | Reduction | ||
| Sand fraction (%) | 7.3 | 7.3 | 0.4% | 3.9 | 46.6% | 4.7 | 36.2% | 4.7 | 36.4% |
| Clay fraction (%) | 8.3 | 3.7 | 55.7% | 4.3 | 48.7% | 6.0 | 28.1% | 5.7 | 30.7% |
| Organic matter density (kg/m3) | 0.9 | 0.8 | 14.6% | 2.1 | −133% | 0.9 | −5.6% | 1.2 | −38.0% |
Disclaimer/Publisher’s Note: The statements, opinions and data contained in all publications are solely those of the individual author(s) and contributor(s) and not of MDPI and/or the editor(s). MDPI and/or the editor(s) disclaim responsibility for any injury to people or property resulting from any ideas, methods, instructions or products referred to in the content. |
© 2023 by the authors. Licensee MDPI, Basel, Switzerland. This article is an open access article distributed under the terms and conditions of the Creative Commons Attribution (CC BY) license (https://creativecommons.org/licenses/by/4.0/).
Share and Cite
Zhao, H.; Zeng, Y.; Han, X.; Su, Z. Retrieving Soil Physical Properties by Assimilating SMAP Brightness Temperature Observations into the Community Land Model. Sensors 2023, 23, 2620. https://doi.org/10.3390/s23052620
Zhao H, Zeng Y, Han X, Su Z. Retrieving Soil Physical Properties by Assimilating SMAP Brightness Temperature Observations into the Community Land Model. Sensors. 2023; 23(5):2620. https://doi.org/10.3390/s23052620
Chicago/Turabian StyleZhao, Hong, Yijian Zeng, Xujun Han, and Zhongbo Su. 2023. "Retrieving Soil Physical Properties by Assimilating SMAP Brightness Temperature Observations into the Community Land Model" Sensors 23, no. 5: 2620. https://doi.org/10.3390/s23052620
APA StyleZhao, H., Zeng, Y., Han, X., & Su, Z. (2023). Retrieving Soil Physical Properties by Assimilating SMAP Brightness Temperature Observations into the Community Land Model. Sensors, 23(5), 2620. https://doi.org/10.3390/s23052620

