Identification of Cadmium Compounds in a Solution Using Graphene-Based Sensor Array
Abstract
1. Introduction
2. Materials and Methods
2.1. Fabrication of Graphene-Based Sensor Array
2.2. Modification of Chelating Agents on Graphene
2.3. Evaluation of Graphene Device
2.3.1. Electrical Measurement
2.3.2. Atomic Force Microscopy and Raman Spectroscopy Analysis
2.4. Detection of Cadmium Compound with Graphene-Sensor Array
2.4.1. Handheld Data-Acquisition System
2.4.2. Measurement of Cadmium Compounds Using Each Graphene-Based Sensors
2.4.3. Identification of Cadmium Compounds Using Graphene-Based Sensor Array
3. Results & Discussion
3.1. Characterization of Graphene-Based Sensors
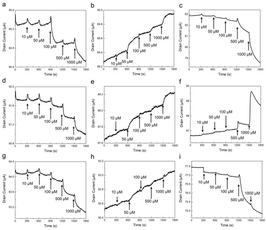
3.2. Detection of Cadmium Compound with Pristine and Chelating-Agent Modified Graphene
3.3. Identification of Cadmium Compound with Graphene-Based Sensor Array
4. Conclusions
Supplementary Materials
Author Contributions
Funding
Institutional Review Board Statement
Informed Consent Statement
Data Availability Statement
Acknowledgments
Conflicts of Interest
References
- Glaser, U.; Hochrainer, D.; Otto, F.J.; Oldiges, H. Carcinogenicity and toxicity of four cadmium compounds inhaled by rats. Toxicol. Environ. Chem. 1990, 27, 153–162. [Google Scholar] [CrossRef]
- Singh, A.; Sharma, R.K.; Agrawal, M.; Marshall, F.M. Health risk assessment of heavy metals via dietary intake of foodstuffs from the wastewater irrigated site of a dry tropical area of India. Food Chem. Toxicol. 2010, 48, 611–619. [Google Scholar] [CrossRef] [PubMed]
- Melnikov, A.G.; Bykov, D.A.; Varezhnikov, A.S.; Sysoev, V.V.; Melnikov, G.V. Toward a Selective Analysis of Heavy Metal Salts in Aqueous Media with a Fluorescent Probe Array. Sensors 2022, 22, 1465. [Google Scholar] [CrossRef]
- Zarazua, G.; Ávila-Pérez, P.; Tejeda, S.; Barcelo-Quintal, I.; Martínez, T. Analysis of total and dissolved heavy metals in surface water of a Mexican polluted river by total reflection X-ray fluorescence spectrometry. Spectrochim. Acta Part B Atomic Spectrosc. 2006, 61, 1180–1184. [Google Scholar] [CrossRef]
- Hung, D.Q.; Nekrassova, O.; Compton, R.G. Analytical methods for inorganic arsenic in water: A review. Talanta 2004, 64, 269–277. [Google Scholar] [CrossRef]
- Falina, S.; Syamsul, M.; Rhaffor, N.A.; Sal Hamid, S.; Mohamed Zain, K.A.; Abd Manaf, A.; Kawarada, H. Ten Years Progress of Electrical Detection of Heavy Metal Ions (HMIs) Using Various Field-Effect Transistor (FET) Nanosensors: A Review. Biosensors 2021, 11, 478. [Google Scholar] [CrossRef]
- Hung, Y.-M.; Chung, H.-M. Acute self-poisoning by ingestion of cadmium and barium. Nephrol. Dial. Transplant. 2004, 19, 1308–1309. [Google Scholar] [CrossRef]
- International Agency for Research on Cancer. Beryllium, cadmium, mercury, and exposures in the glass manufacturing industry. IARC Monogr. Eval. Carcinog. Risks Hum. 1993, 58, 1–415. [Google Scholar]
- Lommelen, R.; Binnemans, K. Hard–Soft Interactions in Solvent Extraction with Basic Extractants: Comparing Zinc and Cadmium Halides. ACS Omega 2021, 6, 27924–27935. [Google Scholar] [CrossRef]
- Bazarkina, E.F.; Pokrovski, G.S.; Zotov, A.V.; Hazemann, J.-L. Structure and stability of cadmium chloride complexes in hydrothermal fluids. Chem. Geol. 2010, 276, 1–17. [Google Scholar] [CrossRef]
- Powell, K.J.; Brown, P.L.; Byrne, R.H.; Gajda, T.; Hefter, G.; Leuz, A.-K.; Sjöberg, S.; Wanner, H. Chemical speciation of environmentally significant metals with inorganic ligands. Part 4: The Cd2+ + OH–, Cl–, CO32–, SO42–, and PO43–systems (IUPAC Technical Report). Pure Appl. Chem. 2011, 83, 1163–1214. [Google Scholar] [CrossRef]
- Rudolph, W.W. Hydration and water–ligand replacement in aqueous cadmium(II) sulfate solution A Raman and infrared study. J. Chem. Soc. Faraday Trans. 1998, 94, 489–499. [Google Scholar] [CrossRef]
- Caminiti, R.; Cucca, P.; Radnai, T. Investigation on the structure of cadmium nitrate aqueous solutions by x-ray diffraction and Raman spectroscopy. J. Phys. Chem. 1984, 88, 2382–2386. [Google Scholar] [CrossRef]
- Liu, C.; Ye, Z.; Wei, X.; Mao, S. Recent advances in field-effect transistor sensing strategies for fast and highly efficient analysis of heavy metal ions. Electrochem. Sci. Adv. 2022, 2, e2100137. [Google Scholar] [CrossRef]
- Geim, A.K.; Novoselov, K.S. The rise of graphene. Nat. Mater. 2007, 6, 183–191. [Google Scholar] [CrossRef]
- Schedin, F.; Geim, A.K.; Morozov, S.V.; Hill, E.W.; Blake, P.; Katsnelson, M.I.; Novoselov, K.S. Detection of individual gas molecules adsorbed on graphene. Nat. Mater. 2007, 6, 652–655. [Google Scholar] [CrossRef]
- Dai, C.; Liu, Y.; Wei, D. Two-Dimensional Field-Effect Transistor Sensors: The Road toward Commercialization. Chem. Rev. 2022, 122, 10319–10392. [Google Scholar] [CrossRef]
- Yang, H.; Heo, J.; Park, S.; Song, H.J.; Seo, D.H.; Byun, K.-E.; Kim, P.; Yoo, I.; Chung, H.-J.; Kim, K. Graphene Barristor, a Triode Device with a Gate-Controlled Schottky Barrier. Science 2012, 336, 1140–1143. [Google Scholar] [CrossRef]
- Yun, J.M.; Park, S.; Hwang, Y.H.; Lee, E.-S.; Maiti, U.; Moon, H.; Kim, B.-H.; Bae, B.-S.; Kim, Y.-H.; Kim, S.O. Complementary p- and n-Type Polymer Doping for Ambient Stable Graphene Inverter. ACS Nano 2014, 8, 650–656. [Google Scholar] [CrossRef]
- Liu, Y.; Dong, X.; Chen, P. Biological and chemical sensors based on graphene materials. Chem. Soc. Rev. 2012, 41, 2283–2307. [Google Scholar] [CrossRef]
- Ohno, Y.; Maehashi, K.; Matsumoto, K. Label-Free Biosensors Based on Aptamer-Modified Graphene Field-Effect Transistors. J. Am. Chem. Soc. 2010, 132, 18012–18013. [Google Scholar] [CrossRef] [PubMed]
- Sakamoto, Y.; Ikuta, T.; Maehashi, K. Organic Molecular Detection without Debye-Length Limitation by Desorption of Receptor from the Surface of a Graphene Field-Effect Transistor. ACS Appl. Nano Mater. 2022, 5, 15642–15650. [Google Scholar] [CrossRef]
- Tang, X.; Debliquy, M.; Lahem, D.; Yan, Y.; Raskin, J.-P. A Review on Functionalized Graphene Sensors for Detection of Ammonia. Sensors 2021, 21, 1443. [Google Scholar] [CrossRef]
- Roberts, A.; Chauhan, N.; Islam, S.; Mahari, S.; Ghawri, B.; Gandham, R.K.; Majumdar, S.S.; Ghosh, A.; Gandhi, S. Graphene functionalized field-effect transistors for ultrasensitive detection of Japanese encephalitis and Avian influenza virus. Sci. Rep. 2020, 10, 14546. [Google Scholar] [CrossRef] [PubMed]
- Ikuta, T.; Tamaki, T.; Masai, H.; Nakanishi, R.; Endo, K.; Terao, J.; Maehashi, K. Electrical detection of ppb region NO2 using Mg-porphyrin-modified graphene field-effect transistors. Nanoscale Adv. 2021, 3, 5793–5800. [Google Scholar] [CrossRef]
- Sakamoto, Y.; Ikuta, T.; Maehashi, K. Electrical Detection of Molecular Transformations Associated with Chemical Reactions Using Graphene Devices. ACS Appl. Mater. Interfaces 2021, 13, 45001–45007. [Google Scholar] [CrossRef] [PubMed]
- Yoshii, T.; Takayama, I.; Fukutani, Y.; Ikuta, T.; Maehashi, K.; Yohda, M. Development of an odorant sensor with a cell-free synthesized olfactory receptor and a graphene field-effect transistor. Anal. Sci. 2022, 38, 241–245. [Google Scholar] [CrossRef]
- Neumaier, F.; Alpdogan, S.; Hescheler, J.; Schneider, T. A practical guide to the preparation and use of metal ion-buffered systems for physiological research. Acta Physiol. 2018, 222, e12988. [Google Scholar] [CrossRef]
- De Acha, N.; Elosúa, C.; Corres, J.M.; Arregui, F.J. Fluorescent Sensors for the Detection of Heavy Metal Ions in Aqueous Media. Sensors 2019, 19, 599. [Google Scholar] [CrossRef]
- Hosomi, T.; Masai, H.; Fujihara, T.; Tsuji, Y.; Terao, J. A Typical Metal-Ion-Responsive Color-Tunable Emitting Insulated π-Conjugated Polymer Film. Angew. Chem. Int. Ed. 2016, 55, 13427–13431. [Google Scholar] [CrossRef]
- Stortini, A.M.; Baldo, M.A.; Moro, G.; Polo, F.; Moretto, L.M. Bio- and Biomimetic Receptors for Electrochemical Sensing of Heavy Metal Ions. Sensors 2020, 20, 6800. [Google Scholar] [CrossRef] [PubMed]
- Furlan de Oliveira, R.; Montes-García, V.; Ciesielski, A.; Samorì, P. Harnessing selectivity in chemical sensing via supramolecular interactions: From functionalization of nanomaterials to device applications. Mater. Horiz. 2021, 8, 2685–2708. [Google Scholar] [CrossRef] [PubMed]
- Haas, K.L.; Franz, K.J. Application of Metal Coordination Chemistry To Explore and Manipulate Cell Biology. Chem. Rev. 2009, 109, 4921–4960. [Google Scholar] [CrossRef] [PubMed]
- Harju, L.; Ringbom, A. Compleximetric titrations with triethylenetetramine-hexaacetic acid. Anal. Chim. Acta 1970, 49, 221–230. [Google Scholar] [CrossRef]
- Oketa, T.; Ikuta, T.; Masai, H.; Tamaki, T.; Terao, J.; Maehashi, K. Effect of changing electronic states of molecules on frequency domain of graphene FETs. Appl. Phys. Express 2022, 15, 045001. [Google Scholar] [CrossRef]
- Nagashio, K.; Nishimura, T.; Kita, K.; Toriumi, A. Mobility Variations in Mono- and Multi-Layer Graphene Films. Appl. Phys. Express 2009, 2, 025003. [Google Scholar] [CrossRef]
- Xu, H.; Zhang, Z.; Xu, H.; Wang, Z.; Wang, S.; Peng, L.-M. Top-Gated Graphene Field-Effect Transistors with High Normalized Transconductance and Designable Dirac Point Voltage. ACS Nano 2011, 5, 5031–5037. [Google Scholar] [CrossRef] [PubMed]
- Satoshi, O.; Takashi, I.; Yasushi, K.; Takao, O.; Shinpei, O.; Daisuke, F.; Masaaki, S.; Koichi, I.; Kenzo, M.; Kazuhiko, M. Acoustic carrier transportation induced by surface acoustic waves in graphene in solution. Appl. Phys. Express 2016, 9, 045104. [Google Scholar]
- Ferrari, A.C.; Meyer, J.C.; Scardaci, V.; Casiraghi, C.; Lazzeri, M.; Mauri, F.; Piscanec, S.; Jiang, D.; Novoselov, K.S.; Roth, S.; et al. Raman spectrum of graphene and graphene layers. Phys. Rev. Lett. 2006, 97, 187401. [Google Scholar] [CrossRef]
- Ferrari, A.C. Raman spectroscopy of graphene and graphite: Disorder, electron–phonon coupling, doping and nonadiabatic effects. Solid State Commun. 2007, 143, 47–57. [Google Scholar] [CrossRef]
- Chen, S.; Cai, W.; Piner, R.D.; Suk, J.W.; Wu, Y.; Ren, Y.; Kang, J.; Ruoff, R.S. Synthesis and characterization of large-area graphene and graphite films on commercial Cu-Ni alloy foils. Nano Lett. 2011, 11, 3519–3525. [Google Scholar] [CrossRef] [PubMed]
- Cervenka, J.; Budi, A.; Dontschuk, N.; Stacey, A.; Tadich, A.; Rietwyk, K.J.; Schenk, A.; Edmonds, M.T.; Yin, Y.; Medhekar, N. Graphene field effect transistor as a probe of electronic structure and charge transfer at organic molecule–graphene interfaces. Nanoscale 2015, 7, 1471–1478. [Google Scholar] [CrossRef] [PubMed]
- Bekyarova, E.; Itkis, M.E.; Ramesh, P.; Berger, C.; Sprinkle, M.; de Heer, W.A.; Haddon, R.C. Chemical Modification of Epitaxial Graphene: Spontaneous Grafting of Aryl Groups. J. Am. Chem. Soc. 2009, 131, 1336–1337. [Google Scholar] [CrossRef] [PubMed]
- Huder, L.; Rinfray, C.; Rouchon, D.; Benayad, A.; Baraket, M.; Izzet, G.; Lipp-Bregolin, F.; Lapertot, G.; Dubois, L.; Proust, A.; et al. Evidence for Charge Transfer at the Interface between Hybrid Phosphomolybdate and Epitaxial Graphene. Langmuir 2016, 32, 4774–4783. [Google Scholar] [CrossRef]
- Li, Y.; Chen, Z. XH/π (X = C, Si) Interactions in Graphene and Silicene: Weak in Strength, Strong in Tuning Band Structures. J. Phys. Chem. Lett. 2013, 4, 269–275. [Google Scholar] [CrossRef]
- Winter, A.; Friebe, C.; Chiper, M.; Schubert, U.S.; Presselt, M.; Dietzek, B.; Schmitt, M.; Popp, J. Synthesis, Characterization, and Electro-Optical Properties of ZnII Complexes with π-Conjugated Terpyridine Ligands. ChemPhysChem 2009, 10, 787–798. [Google Scholar] [CrossRef]
- Siebert, R.; Schlütter, F.; Winter, A.; Presselt, M.; Görls, H.; Schubert, U.; Dietzek, B.; Popp, J. Ruthenium(II)-bis(4′-(4-ethynylphenyl)-2,2′:6′, 2″-terpyridine)—A versatile synthon in supramolecular chemistry. Synthesis and characterization. Open Chem. 2011, 9, 990–999. [Google Scholar] [CrossRef]
- Kong, L.; Enders, A.; Rahman, T.S.; Dowben, P.A. Molecular adsorption on graphene. J. Phys. Condens. Matter 2014, 26, 443001. [Google Scholar] [CrossRef]
- Bai, C.; Xu, B.; Hu, H.-M.; Yang, M.-L.; Xue, G. Cadmium(II) coordination polymers constructed from a bis-functionalized ligand 4′-(3-carboxyphenyl)-2,2′:6′,2″-terpyridine: Synthesis, structure and luminescence. Polyhedron 2017, 124, 1–11. [Google Scholar] [CrossRef]
- Chao, D. Highly selective detection of Zn2+ and Cd2+ with a simple amino-terpyridine compound in solution and solid state. J. Chem. Sci. 2016, 128, 133–139. [Google Scholar] [CrossRef]
- Lee, G.M.; Yoon, W.; Yun, H.; Lee, S.W. Reactivity of a Cadmium–Terpyridine Complex: [Cd(L1)(NO3)2(H2O)] (L1 = (4′-(4-bromophenyl)-2,2′:6′,2″-terpyridine). Bull. Korean Chem. Soc. 2021, 42, 588–596. [Google Scholar] [CrossRef]
- Takagiri, Y.; Ikuta, T.; Maehashi, K. Selective Detection of Cu2+ Ions by Immobilizing Thiacalix[4]arene on Graphene Field-Effect Transistors. ACS Omega 2019, 5, 877–881. [Google Scholar] [CrossRef] [PubMed]











| Cadmium Compound | Pristine Graphene | TTHA-Modified Grapheme | Terpyridine- Modified Graphene |
|---|---|---|---|
| Cadmium chloride (CdCl2) | decrease | decrease | decrease |
| Cadmium sulfate (CdSO4) | decrease | increase | decrease |
| Cadmium nitrate (Cd(NO3)2) | increase | increase | increase |
Disclaimer/Publisher’s Note: The statements, opinions and data contained in all publications are solely those of the individual author(s) and contributor(s) and not of MDPI and/or the editor(s). MDPI and/or the editor(s) disclaim responsibility for any injury to people or property resulting from any ideas, methods, instructions or products referred to in the content. |
© 2023 by the authors. Licensee MDPI, Basel, Switzerland. This article is an open access article distributed under the terms and conditions of the Creative Commons Attribution (CC BY) license (https://creativecommons.org/licenses/by/4.0/).
Share and Cite
Yoshii, T.; Nishitsugu, F.; Kikawada, K.; Maehashi, K.; Ikuta, T. Identification of Cadmium Compounds in a Solution Using Graphene-Based Sensor Array. Sensors 2023, 23, 1519. https://doi.org/10.3390/s23031519
Yoshii T, Nishitsugu F, Kikawada K, Maehashi K, Ikuta T. Identification of Cadmium Compounds in a Solution Using Graphene-Based Sensor Array. Sensors. 2023; 23(3):1519. https://doi.org/10.3390/s23031519
Chicago/Turabian StyleYoshii, Tomoya, Fuka Nishitsugu, Kazuki Kikawada, Kenzo Maehashi, and Takashi Ikuta. 2023. "Identification of Cadmium Compounds in a Solution Using Graphene-Based Sensor Array" Sensors 23, no. 3: 1519. https://doi.org/10.3390/s23031519
APA StyleYoshii, T., Nishitsugu, F., Kikawada, K., Maehashi, K., & Ikuta, T. (2023). Identification of Cadmium Compounds in a Solution Using Graphene-Based Sensor Array. Sensors, 23(3), 1519. https://doi.org/10.3390/s23031519

