Field Modeling of the Influence of Defects Caused by Bending of Conductive Textronic Layers on Their Electrical Conductivity
Abstract
1. Introduction
2. Materials and Methods
2.1. Experiment
2.2. Description of the Model and Formulation of the Problem
- (1)
- The conductive layer is infinitely thin and rectangular in shape;
- (2)
- The conductivity of the layer is constant;
- (3)
- The surrounding layer is an ideal dielectric;
- (4)
- There is a constant electric voltage between two parallel edges of the layer;
- (5)
- The stationary operating state of the system can be analyzed (electromagnetic field does not depend on time);
- (6)
- There are no unbalanced electric charges in the system;
- (7)
- Quantum effects are omitted (e.g., tunneling of current carriers through the defect areas).
- It does not require discretization of the interior of the considered area, only its edges, resulting in a significantly smaller numerical model of the problem;
- The solution is presented in an analytical form that exactly satisfies Laplace’s Equation (2);
- Its numerical error concerns only the fulfillment of boundary conditions;
- It enables a relatively simple evaluation of the error of the solution.
2.3. Defect Line Generation Procedure
3. Results
3.1. Results of Simulations
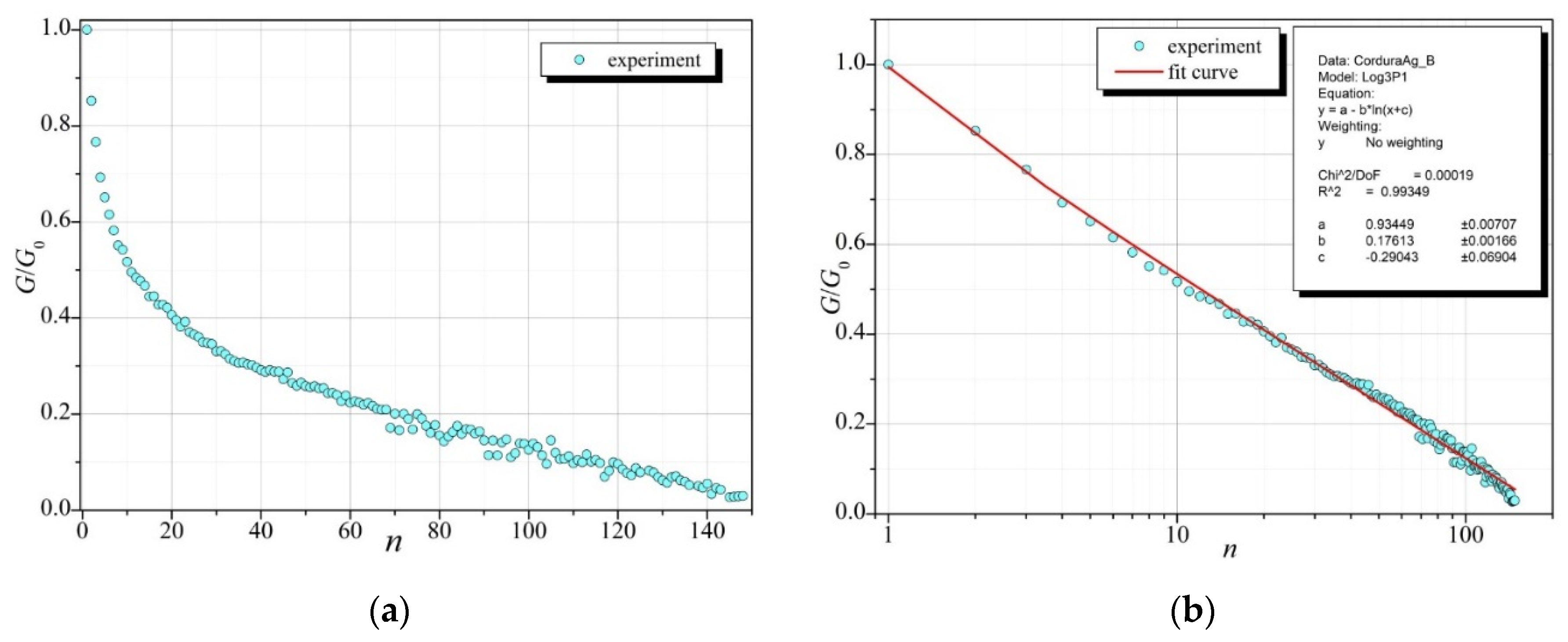
3.2. Comparison to the Experiment
4. Discussion and Conclusions
Author Contributions
Funding
Institutional Review Board Statement
Informed Consent Statement
Data Availability Statement
Acknowledgments
Conflicts of Interest
References
- Komolafe, A.; Torah, R.; Wei, Y.; Nunes-Matos, H.; Li, M.; Hardy, D.; Dias, T.; Tudor, M.; Beeby, S. Integrating Flexible Filament 637 Circuits for E-Textile Applications. Adv. Mater. Technol. 2019, 4, 1900176. [Google Scholar] [CrossRef]
- Rymarczyk, T.; Nita, P.; Vejar, A.; Wos, M.; Stefaniak, B.; Adamkiewicz, P. Wareable mobile measuring device based on electrical tomography. Prz. Elektrotechniczny 2019, 95, 211–214. [Google Scholar] [CrossRef]
- Rymarczyk, T.; Klosowski, G.; Tchorzewski, P.; Cieplak, T.; Kozlowski, E. Area monitoring using the ERT method with multisensor electrodes. Prz. Elektrotechniczny 2019, 95, 153–156. [Google Scholar] [CrossRef]
- Łada-Tondyra, E.; Jakubas, A.; Figiel, M. Comparison of textronic systems limiting bacterial growth. Prz. Elektrotechnczny 2020, 2, 121–124. [Google Scholar] [CrossRef]
- Korzeniewska, E.; Krawczyk, A.; Mróz, J.; Wyszyńska, E.; Zawiślak, R. Applications of Smart Textiles in Post-Stroke Rehabilitation. Sensors 2020, 20, 2370. [Google Scholar] [CrossRef]
- Korzeniewska, E.; Szczęsny, A.; Lipiński, P.; Dróżdż, T.; Kiełbasa, P.; Miernik, A. Prototype of a Textronic Sensor Created with a Physical Vacuum Deposition Process for Staphylococcus aureus Detection. Sensors 2021, 21, 183. [Google Scholar] [CrossRef] [PubMed]
- Hong, Y.; Wang, B.; Lin, W.; Jin, L.; Liu, S.; Luo, X.; Pan, J.; Wang, W.; Yang, Z. Highly anisotropic and flexible piezoceramic kirigami for preventing joint disorders. Sci. Adv. 2021, 7, eabf0795. [Google Scholar] [CrossRef]
- Kim, J.; Campbell, A.S.; Esteban-Fernández de Ávila, B.; Wang, J. Wearable biosensors for healthcare monitoring. Nat. Biotechnol. 2019, 37, 389–406. [Google Scholar] [CrossRef]
- Onggar, T.; Amrhein, G.; Abdkader, A.; Hund, R.D.; Cherif, C. Wet-chemical method for the metallization of a para-aramid 660 filament yarn wound on a cylindrical dyeing package. Text. Res. J. 2017, 87, 1192–1202. [Google Scholar] [CrossRef]
- Takamatsu, S.; Kobayashi, T.; Shibayama, N.; Miyake, K.; Itoh, T. Fabric pressure sensor array fabricated with die-coating and 663 weaving techniques. Sens. Actuators A Phys. 2012, 184, 57–63. [Google Scholar] [CrossRef]
- Fan, W.; He, Q.; Meng, K.; Tan, X.; Zhou, Z.; Zhang, G.; Yang, J.; Wang, Z.L. Machine-knitted washable sensor array textile for precise epidermal physiological signal monitoring. Sci. Adv. 2020, 6, eaay2840. [Google Scholar] [CrossRef] [PubMed]
- Jakubas, A.; Lada-Tondyra, E.; Nowak, M. Textile sensors used in smart clothing to monitor the vital functions of young children. In Proceedings of the 2017 Progress in Applied Electrical Engineering (PAEE), Koscielisko, Poland, 25–30 June 2017. [Google Scholar]
- Kim, Y.; Kim, H.; Yoo, H.J. Electrical characterization of screen-printed circuits on the fabric. IEEE Trans. Adv. Packag. 2010, 33, 196–205. [Google Scholar] [CrossRef]
- Tokarska, M.; Frydrysiak, M.; Zieba, J. Electrical properties of flat textile material as inhomegeneous and anisotropic structure. J. Mater. Sci. Mater. Electron. 2013, 24, 5061–5068. [Google Scholar] [CrossRef]
- Stempien, Z.; Kozicki, M.; Pawlak, R.; Korzeniewska, E.; Owczarek, G.; Poscik, A.; Sajna, D. Ammonia gas sensors ink-jet printed on textile substrates. In Proceedings of the IEEE Sensors, Orlando, FL, USA, 30 October–3 November 2016. [Google Scholar]
- Hassan, Z.; Kalaoglu, F.; Atalay, O. Development and characterization of conductive textile (cotton) for wearable electronics 677 and soft robotic applications. Text. Res. J. 2020, 90, 1792–1804. [Google Scholar] [CrossRef]
- Łada-Tondyra, E.; Jakubas, A.; Figiel, M. The research and the analysis of electromagnetic field shielding properties of the textile materials with an electroconductive coating. Prz. Elektrotechnczny 2021, 97, 133–136. [Google Scholar] [CrossRef]
- Sobczyk-Guzenda, A.; Szymanowski, H.; Jakubowski, W.; Błasińska, A.; Kowalski, J.; Gazicki-Lipman, M. Morphology, photocleaning and water wetting properties of cotton fabrics, modified with titanium dioxide coatings synthesized with plasma enhanced chemical vapor deposition technique. Surf. Coat. Technol. 2013, 217, 51–57. [Google Scholar] [CrossRef]
- Ziaja, J. ZnO thin film deposition with pulsed magnetron sputtering. Prz. Elektrotechniczny 2007, 83, 235–239. [Google Scholar]
- Ziaja, J.; Jaroszewski, M.; Lewandowski, M.; Sasuła, M. Flexible materials used in electromagnetic field shielding. Prz. Elektrotechniczny 2018, 94, 73–76. [Google Scholar] [CrossRef]
- Miśkiewicz, P.; Tokarska, M.; Frydrych, I.; Makówka, M. Evaluation of Thermal Properties of Certain Flame-Retardant Fabrics Modified with a Magnetron Sputtering Method. Autex Res. J. 2020, 20, 168–177. [Google Scholar] [CrossRef]
- Antunes, J.; Matos, K.; Carvalho, I.; Carvalho, S.; Ferreira, F.; Cruz, S.M.A. Physical Vapor Deposition Technology in Personal Protective Equipment Production: Improved Antibacterial and Hydrophobic Character of Textiles. Coatings 2022, 12, 1399. [Google Scholar] [CrossRef]
- Mubarak, A.M.A.; Hamzah, E.H.E.; Tofr, M.T.M. Review of Physical Vapour Deposition (PVD) Techniques for Hard Coating. J. Mek. 2005, 20, 42–51. [Google Scholar]
- Pawlak, R.; Korzeniewska, E.; Koneczny, C.; Hałgas, B. Properties of conductive structures produced by PVD method on a textile composites by using the PVD method for textronic applications. Autex Res. J. 2017, 17, 229–237. [Google Scholar] [CrossRef]
- Wang, H.; Wei, Q.; Gao, W. Sputter Deposition of Antibacterial Nano-Silver on PLA Nonwoven Medical Dressings. AATCC Rev. 2009, 9, 34–36. [Google Scholar]
- Abd Jelil, R. A review of low-temperature plasma treatment of textile materials. J. Mater. Sci. 2015, 50, 5913–5943. [Google Scholar] [CrossRef]
- Miśkiewicz, P.; Frydrych, I.; Cichocka, A. Application of physical vapor deposition in textile industry. AUTEX Res. J. 2022, 22, 1–13. [Google Scholar] [CrossRef]
- Korzeniewska, E.; De Mey, G.; Pawlak, R.; Stempien, Z. Analysis of resistance to bending of metal electroconductive layers deposited on textile composite substrates in PVD process. Sci. Rep. 2020, 10, 8310. [Google Scholar] [CrossRef]
- Hamasha, M.; Alzoubi, M.K.; Switzer, J.C., III; Lu, S.; Desu, S.B.; Poliks, M. A study on crack propagation and electrical resistance change of sputtered aluminum thin film on polyethylene terephthalate substrate under stretching. Thin Solid Film. 2011, 519, 7918–7924. [Google Scholar] [CrossRef]
- Pawłowski, S.; Plewako, J.; Korzeniewska, E. Analysis of flow field distribution in a thin conductive layer with an elliptical defect. Prz. Elektrotechniczny 2020, 96, 234–237. [Google Scholar] [CrossRef]
- Lebioda, M.; Tomczyk, M. Analysis of thermal and electrical properties of heating microsystems based on TCO layers. In Proceedings of the 24th International Conference on Mixed Design of Integrated Circuits and Systems, Bydgoszcz, Poland, 22–24 June 2017; pp. 443–446. [Google Scholar] [CrossRef]
- Eisberg, R.; Eisberg, R.M.; Resnick, R. Quantum Physics of Atoms, Molecules, Solids, Nuclei, and Particles; John Wiley & Sons: Hoboken, NJ, USA, 1985. [Google Scholar]
- Available online: https://openstax.org/books/university-physics-volume-3/pages/7-6-the-quantum-tunneling-of-particles-through-potential-barriers (accessed on 16 January 2023).
- Pawłowski, S.; Plewako, J.; Korzeniewska, E. Field modelling the impact of cracks on the electroconductivity of thin-film textronic structures. Electronics 2020, 9, 402. [Google Scholar] [CrossRef]
- Pawłowski, S.; Plewako, J.; Korzeniewska, E. Influence of Structural Defects on the Resistivity and Current Flow Field in Conductive Thin Layers. Electronics 2020, 9, 2164. [Google Scholar] [CrossRef]
- Zhang, B.; Lei, J.; Qi, D.; Liu, Z.; Wang, Y.; Xiao, G.; Wu, J.; Zhang, W.; Huo, F.; Chen, X. Stretchable Conductive Fibers Based on a Cracking Control Strategy for Wearable Electronics. Adv. Funct. Mater. 2018, 28, 1801683. [Google Scholar] [CrossRef]
- Lo, L.W.; Shi, H.; Wan, H.; Xu, Z.; Tan, X.; Wang, C. Inkjet-printed soft resistive pressure sensor patch for wearable electronics applications. Adv. Mater. Technol. 2020, 5, 1900717. [Google Scholar] [CrossRef]
- Kwon, C.; Seong, D.; Ha, J.; Chun, D.; Bae, J.H.; Yoon, K.; Lee, M.; Woo, J.; Won, C.; Lee, S.; et al. Self-Bondable and Stretchable Conductive Composite Fibers with Spatially Controlled Percolated Ag Nanoparticle Networks: Novel Integration Strategy for Wearable Electronics. Adv. Funct. Mater. 2020, 30, 2005447. [Google Scholar] [CrossRef]











Disclaimer/Publisher’s Note: The statements, opinions and data contained in all publications are solely those of the individual author(s) and contributor(s) and not of MDPI and/or the editor(s). MDPI and/or the editor(s) disclaim responsibility for any injury to people or property resulting from any ideas, methods, instructions or products referred to in the content. |
© 2023 by the authors. Licensee MDPI, Basel, Switzerland. This article is an open access article distributed under the terms and conditions of the Creative Commons Attribution (CC BY) license (https://creativecommons.org/licenses/by/4.0/).
Share and Cite
Pawłowski, S.; Plewako, J.; Korzeniewska, E. Field Modeling of the Influence of Defects Caused by Bending of Conductive Textronic Layers on Their Electrical Conductivity. Sensors 2023, 23, 1487. https://doi.org/10.3390/s23031487
Pawłowski S, Plewako J, Korzeniewska E. Field Modeling of the Influence of Defects Caused by Bending of Conductive Textronic Layers on Their Electrical Conductivity. Sensors. 2023; 23(3):1487. https://doi.org/10.3390/s23031487
Chicago/Turabian StylePawłowski, Stanisław, Jolanta Plewako, and Ewa Korzeniewska. 2023. "Field Modeling of the Influence of Defects Caused by Bending of Conductive Textronic Layers on Their Electrical Conductivity" Sensors 23, no. 3: 1487. https://doi.org/10.3390/s23031487
APA StylePawłowski, S., Plewako, J., & Korzeniewska, E. (2023). Field Modeling of the Influence of Defects Caused by Bending of Conductive Textronic Layers on Their Electrical Conductivity. Sensors, 23(3), 1487. https://doi.org/10.3390/s23031487

