An Efficient Machine Learning-Based Emotional Valence Recognition Approach Towards Wearable EEG
Abstract
1. Introduction
- Only the difference signal between the frontal Fp1 and Fp2 channels was considered for feature extraction.
- Simple statistical features were explored (Hjorth parameters, zero-crossings, and power spectral density), all which share the merit of having low computational complexity.
- Several analyses were made to determine the frequency band, time slot, and features most suitable for reliable EEG-based valence detection.
- The presented valence recognition algorithm outperformed several state-of-the-art methods with the added advantages of requiring only two EEG channels, a single frequency band, as well as only two simple statistical features, thus making it suitable for integration within wearable EEG devices.

2. Literature Review
2.1. EEG Features
- (1)
- Time-domain (spatial) features are handcrafted features that are extracted from the EEG time-series signal. They can be computed directly from the raw EEG signal or from the different frequency bands separated with the aid of bandpass filters. Time-domain features comprise simple statistical features [32,33,34] such as the mean, standard deviation, skewness, and kurtosis. In addition, they include more complex features such as the Hjorth parameters [5,32,35,36,37,38,39,40,41], High Order Crossings (HOC) [5,33,38,40,42], Fractal Dimensions [43,44,45], Recurrence Quantification Analysis (RQA) [46,47], in addition to entropy-based features [5,34,35,45,48].
- (2)
- Frequency-domain features are also handcrafted features, yet they are computed from the EEG signal’s frequency representation. The Fast Fourier transform (FFT) and Short-time Fourier Transform (STFT) are typically used to acquire the frequency-domain signal from the EEG waves. Frequency-based features allow for the deeper understanding of the signal by considering its frequency content. Frequency-domain features include the widely used power spectral density (PSD) [33,35,39,49,50,51], as well as rational asymmetry features (RASM) [32,34,39,52,53]. Statistical features such as mean, median, variance, skewness, and kurtosis are also commonly computed in the EEG’s the frequency domain, as well as the relative powers of the various frequency bands [54].
- (3)
- Time-frequency domain features are handcrafted features extracted from sophisticated time-frequency signal representations. Wavelet transform (WT) is a powerful tool that can decompose a signal into different subbands by applying a series of successive high and low frequency filters. WT has the advantage of being localized in both time and frequency. It can thus be used to divide the EEG signal into the delta, theta, alpha, beta, and gamma subbands from which wavelet time-frequency features can be directly computed for emotion classification. Wavelet features typically include simple statistical measures such as mean, standard deviation, skewness, kurtosis, energy, and entropy [9,32,39,53,55,56,57].
- (4)
- Deep features refer to those features that are automatically extracted in an end-to-end manner using one or more deep networks. Deep features have been gaining increased popularity and are being used either solely or alongside handcrafted (traditional) features in emotion AI [58]. Inputs to the deep networks can be the raw EEG signal [59,60], traditional features [61], or images that are obtained either from the EEG signal’s Fourier Transform (spectrograms) or Wavelet Transform (scalograms) [62,63,64,65]. In addition, the deep networks used for the feature extraction can be directly utilized or initially pretrained (transfer learning) to enhance performance.
2.2. Previous Literature
3. Methods
3.1. Dataset
3.2. Channel Selection
3.3. EEG Band Separation
3.4. Feature Extraction
- A.
- Hjorth Parameters
- B.
- Zero-Crossings
- C.
- Power Spectral Density
4. Results
4.1. Feature Analyses
- A.
- Band/Feature Analysis
- B.
- Time Slot Analysis
- C.
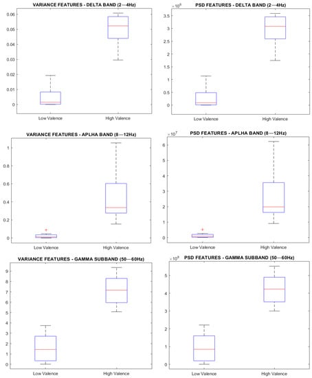
- Feature Boxplots
4.2. Valence Classifications
5. Discussion
6. Conclusions
Funding
Institutional Review Board Statement
Informed Consent Statement
Data Availability Statement
Conflicts of Interest
References
- Meredith Somers. Emotion AI, Explained. 2019. Available online: https://mitsloan.mit.edu/ideas-made-to-matter/emotion-ai-explained (accessed on 21 May 2022).
- Charlotte Gifford. The Problem with Emotion-Detection Technology. 2020. Available online: https://www.theneweconomy.com/technology/the-problem-with-emotion-detection-technology (accessed on 21 May 2022).
- Ekman, P.; Friesen, W.V. Constants across cultures in the face and emotion. J. Pers. Soc. Psychol. 1971, 17, 124. [Google Scholar] [CrossRef]
- Russell, J.A. A circumplex model of affect. J. Personal. Soc. Psychol. 1980, 39, 1161–1178. [Google Scholar] [CrossRef]
- Shashi Kumar, G.S.; Sampathila, N.; Shetty, H. Neural Network Approach for Classification of Human Emotions from EEG Signal. In Engineering Vibration, Communication and Information Processing; Ray, K., Sharan, S., Rawat, S., Jain, S., Srivastava, S., Bandyopadhyay, A., Eds.; Springer Singapore: Singapore, 2019; pp. 297–310. [Google Scholar]
- Tsiourti, C.; Weiss, A.; Wac, K.; Vincze, M. Multimodal Integration of Emotional Signals from Voice, Body, and Context: Effects of (In)Congruence on Emotion Recognition and Attitudes Towards Robots. Int. J. Soc. Robot. 2019, 11, 555–573. [Google Scholar] [CrossRef]
- Canal, F.Z.; Müller, T.R.; Matias, J.C.; Scotton, G.G.; Junior, A.R.d.S.; Pozzebon, E.; Sobieranski, A.C. A survey on facial emotion recognition techniques: A state-of-the-art literature review. Inf. Sci. 2021, 582, 593–617. [Google Scholar] [CrossRef]
- Abdel-Hamid, L.; Shaker, N.H.; Emara, I. Analysis of Linguistic and Prosodic Features of Bilingual Arabic–English Speakers for Speech Emotion Recognition. IEEE Access 2020, 8, 72957–72970. [Google Scholar] [CrossRef]
- Zubair, M.; Yoon, C. EEG based classification of human emotions using discrete wavelet transform. In IT Convergence and Security 2017; Springer: Singapore, 2018; pp. 21–28. [Google Scholar]
- Islam, M.S.; Hussain, I.; Rahman, M.; Park, S.J.; Hossain, A. Explainable Artificial Intelligence Model for Stroke Prediction Using EEG Signal. Sensors 2022, 22, 9859. [Google Scholar] [CrossRef]
- Arora, A.; Kaul, A.; Mittal, V. Mood Based Music Player. In Proceedings of the 2019 International Conference on Signal Processing and Communication (ICSC), NOIDA, India, 7–9 March 2019; pp. 333–337. [Google Scholar] [CrossRef]
- Guy-Evans, O.; Mcleod, S. What Does the Brain’s Cerebral Cortex Do? 2021. Available online: https://www.simplypsychology.org/what-is-the-cerebral-cortex.html (accessed on 18 April 2022).
- Alotaiby, T.N.; El-Samie, F.E.A.; Alshebeili, S.A.; Ahmad, I. A review of channel selection algorithms for EEG signal processing. EURASIP J. Adv. Signal Process. 2015, 2015, 66. [Google Scholar] [CrossRef]
- Kim, J.; Kim, C.; Yim, M.-S. An Investigation of Insider Threat Mitigation Based on EEG Signal Classification. Sensors 2020, 20, 6365. [Google Scholar] [CrossRef]
- Sinha Clinic. What Are Brainwaves? 2022. Available online: https://www.sinhaclinic.com/what-are-brainwaves/ (accessed on 2 April 2022).
- WebMD. What to Know about Gamma Brain Waves. In What to Know about Gamma Brain Waves. 2022. Available online: https://www.webmd.com/brain/what-to-know-about-gamma-brain-waves (accessed on 2 April 2022).
- Li, T.-M.; Chao, H.-C.; Zhang, J. Emotion classification based on brain wave: A survey. Human-Centric Comput. Inf. Sci. 2019, 9, 42. [Google Scholar] [CrossRef]
- Malik, A.S.; Amin, H.U. Chapter 1—Designing an EEG Experiment. In Designing EEG Experiments for Studying the Brain; Malik, A.S., Amin, H.U., Eds.; Academic Press: Cambridge, MA, USA, 2017; pp. 1–30. [Google Scholar]
- Casson, A.J. Wearable EEG and beyond. Biomed. Eng. Lett. 2019, 9, 53–71. [Google Scholar] [CrossRef]
- Hussain, I.; Park, S.J. HealthSOS: Real-Time Health Monitoring System for Stroke Prognostics. IEEE Access 2020, 8, 213574–213586. [Google Scholar] [CrossRef]
- Tang, J.; El Atrache, R.; Yu, S.; Asif, U.; Jackson, M.; Roy, S.; Mirmomeni, M.; Cantley, S.; Sheehan, T.; Schubach, S.; et al. Seizure detection using wearable sensors and machine learning: Setting a benchmark. Epilepsia 2021, 62, 1807–1819. [Google Scholar] [CrossRef] [PubMed]
- Hussain, I.; Hossain, A.; Jany, R.; Bari, A.; Uddin, M.; Kamal, A.R.M.; Ku, Y.; Kim, J.-S. Quantitative Evaluation of EEG-Biomarkers for Prediction of Sleep Stages. Sensors 2022, 22, 3079. [Google Scholar] [CrossRef] [PubMed]
- Hussain, I.; Young, S.; Park, S.-J. Driving-Induced Neurological Biomarkers in an Advanced Driver-Assistance System. Sensors 2021, 21, 6985. [Google Scholar] [CrossRef] [PubMed]
- Zgallai, W.; Brown, J.T.; Ibrahim, A.; Mahmood, F.; Mohammad, K.; Khalfan, M.; Mohammed, M.; Salem, M.; Hamood, N. Deep Learning AI Application to an EEG driven BCI Smart Wheelchair. In Proceedings of the 2019 Advances in Science and Engineering Technology International Conferences (ASET), Dubai, United Arab Emirates, 26 March–10 April 2019; pp. 1–5. [Google Scholar]
- Dadebayev, D.; Goh, W.W.; Tan, E.X. EEG-based emotion recognition: Review of commercial EEG devices and machine learning techniques. J. King Saud Univ. Comput. Inf. Sci. 2021, 34, 4385–4401. [Google Scholar] [CrossRef]
- Cai, J.; Xiao, R.; Cui, W.; Zhang, S.; Liu, G. Application of Electroencephalography-Based Machine Learning in Emotion Recognition: A Review. Front. Syst. Neurosci. 2021, 15, 729707. [Google Scholar] [CrossRef]
- Kim, M.; Yoo, S.; Kim, C. Miniaturization for wearable EEG systems: Recording hardware and data processing. Biomed. Eng. Lett. 2022, 12, 239–250. [Google Scholar] [CrossRef]
- Houssein, E.H.; Hammad, A.; Ali, A.A. Human emotion recognition from EEG-based brain–computer interface using machine learning: A comprehensive review. Neural Comput. Appl. 2022, 34, 12527–12557. [Google Scholar] [CrossRef]
- NeuroMat Random Structures in the Brain 102.jpg. Available online: https://commons.wikimedia.org/wiki/File:Random_Structures_in_the_Brain_102.jpg (accessed on 1 January 2023).
- SparkFun The MindWave Mobile from NeuroSky. Available online: https://learn.sparkfun.com/tutorials/hackers-in-residence---hacking-mindwave-mobile/what-is-the-mindwave-mobile (accessed on 1 January 2023).
- Souvik, P.; Sinha, N.; Ghosh, R. A Survey on Feature Extraction Methods for EEG Based Emotion Recognition. In Intelligent Techniques and Applications in Science and Technology; Dawn, S., Balas, V., Esposito, A., Gope, S., Eds.; Springer: Cham, Switzerland, 2020; pp. 31–45. [Google Scholar]
- Thejaswini, S.; Ravi Kumar, K.M.; Rupali, S.; Abijith, V. EEG Based Emotion Recognition Using Wavelets and Neural Net-works Classifier. In Cognitive Science and Artificial Intelligence: Advances and Applications; Gurumoorthy, S., Rao, B.N.K., Gao, X.-Z., Eds.; Springer: Singapore, 2018; pp. 101–112. [Google Scholar]
- Menezes, M.L.R.; Samara, A.; Galway, L.; Sant’Anna, A.; Verikas, A.; Alonso-Fernandez, F.; Wang, H.; Bond, R. Towards emotion recognition for virtual environments: An evaluation of eeg features on benchmark dataset. Pers. Ubiquitous Comput. 2017, 21, 1003–1013. [Google Scholar] [CrossRef]
- Yang, H.; Huang, S.; Guo, S.; Sun, G. Multi-Classifier Fusion Based on MI–SFFS for Cross-Subject Emotion Recognition. Entropy 2022, 24, 705. [Google Scholar] [CrossRef]
- Joshi, V.M.; Ghongade, R.B. EEG Based Emotion Investigation from Various Brain Region Using Deep Learning Algorithm. In ICDSMLA 2020; Kumar, A., Senatore, S., Gunjan, V.K., Eds.; Springer: Singapore, 2022; pp. 395–402. [Google Scholar]
- Parui, S.; Roshan Bajiya, A.K.; Samanta, D.; Chakravorty, N. Emotion Recognition from EEG Signal using XGBoost Algorithm. In Proceedings of the 2019 IEEE 16th India Council International Conference (INDICON), Rajkot, India, 13–15 December 2019; pp. 1–4. [Google Scholar]
- Gao, Q.; Yang, Y.; Kang, Q.; Tian, Z.; Song, Y. EEG-based Emotion Recognition with Feature Fusion Networks. Int. J. Mach. Learn. Cybern. 2021, 13, 421–429. [Google Scholar] [CrossRef]
- Patil, A.; Deshmukh, C.; Panat, A.R. Feature extraction of EEG for emotion recognition using Hjorth features and higher order crossings. In Proceedings of the 2016 Conference on Advances in Signal Processing (CASP) IEEE, Pune, India, 9–11 June 2016; pp. 429–434. [Google Scholar]
- Khateeb, M.; Anwar, S.M.; Alnowami, M. Multi-Domain Feature Fusion for Emotion Classification Using DEAP Dataset. IEEE Access 2021, 9, 12134–12142. [Google Scholar] [CrossRef]
- Elamir, M.M.; Al-Atabany, W.; Eldosoky, M.A. Emotion recognition via physiological signals using higher order crossing and Hjorth parameter. Res. J. Life Sci. Bioinform. Pharm. Chem. Sci. 2019, 5, 839–846. [Google Scholar]
- Oh, S.-H.; Lee, Y.-R.; Kim, H.-N. A novel EEG feature extraction method using Hjorth parameter. Int. J. Electron. Electr. Eng. 2014, 2, 106–110. [Google Scholar] [CrossRef]
- Jenke, R.; Peer, A.; Buss, M. Feature Extraction and Selection for Emotion Recognition from EEG. IEEE Trans. Affect. Comput. 2014, 5, 327–339. [Google Scholar] [CrossRef]
- Liu, Y.; Sourina, O. EEG-based subject-dependent emotion recognition algorithm using fractal dimension. In Proceedings of the 2014 IEEE International Conference on Systems, Man, and Cybernetics (SMC), San Diego, CA, USA, 5–8 October 2014; pp. 3166–3171. [Google Scholar]
- Martínez-Tejada, L.A.; Yoshimura, N.; Koike, Y. Classifier comparison using EEG features for emotion recognition process. In Proceedings of the 2020 IEEE 18th World Symposium on Applied Machine Intelligence and Informatics (SAMI), Herlany, Slovakia, 23–25 January 2020; pp. 225–230. [Google Scholar]
- Alhalaseh, R.; Alasasfeh, S. Machine-Learning-Based Emotion Recognition System Using EEG Signals. Computers 2020, 9, 95. [Google Scholar] [CrossRef]
- Alarcao, S.M.; Fonseca, M.J. Emotions Recognition Using EEG Signals: A Survey. IEEE Trans. Affect. Comput. 2017, 3045, 1–20. [Google Scholar] [CrossRef]
- Yang, Y.X.; Gao, Z.K.; Wang, X.M.; Li, Y.L.; Han, J.W.; Marwan, N.; Kurths, J. A recurrence quantification analysis-based channel-frequency convolutional neural network for emotion recognition from EEG. Chaos: Interdiscip. J. Nonlinear Sci. 2018, 28, 085724. [Google Scholar] [CrossRef]
- Yin, Y.; Zheng, X.; Hu, B.; Zhang, Y.; Cui, X. EEG emotion recognition using fusion model of graph convolutional neural networks and LSTM. Appl. Soft Comput. 2020, 100, 106954. [Google Scholar] [CrossRef]
- Mahajan, R. Emotion Recognition via EEG Using Neural Network Classifier. In Soft Computing: Theories and Applications; Pant, M., Ray, K., Sharma, T., Rawat, S., Bandyopadhyay, A., Eds.; Springer: Singapore, 2018; pp. 429–438. [Google Scholar]
- Jirayucharoensak, S.; Pan-Ngum, S.; Israsena, P. EEG-Based Emotion Recognition Using Deep Learning Network with Principal Component Based Covariate Shift Adaptation. Sci. World J. 2014, 2014, 627892. [Google Scholar] [CrossRef]
- Thammasan, N.; Fukui, K.; Numao, M. Application of deep belief networks in eeg-based dynamic music-emotion recognition. In Proceedings of the 2016 International Joint Conference on Neural Networks (IJCNN), Vancouver, BC, Canada, 24–29 July 2016; pp. 881–888. [Google Scholar]
- Li, Z.; Tian, X.; Shu, L.; Xu, X.; Hu, B. Emotion Recognition from EEG Using RASM and LSTM. In Internet Multimedia Computing and Service; Huet, B., Nie, L., Hong, R., Eds.; Springer: Singapore, 2018; pp. 310–318. [Google Scholar]
- Wu, S.; Xu, X.; Shu, L.; Hu, B. Estimation of valence of emotion using two frontal EEG channels. In Proceedings of the 2017 IEEE International Conference on Bioinformatics and Biomedicine (BIBM), Kansas City, MO, USA, 13–16 November 2017; pp. 1127–1130. [Google Scholar]
- Stancin, I.; Cifrek, M.; Jovic, A. A Review of EEG Signal Features and Their Application in Driver Drowsiness Detection Systems. Sensors 2021, 21, 3786. [Google Scholar] [CrossRef] [PubMed]
- Mohammadi, Z.; Frounchi, J.; Amiri, M. Wavelet-based emotion recognition system using EEG signal. Neural Comput. Appl. 2016, 28, 1985–1990. [Google Scholar] [CrossRef]
- Jie, X.; Cao, R.; Li, L. Emotion recognition based on the sample entropy of EEG. Bio-Med. Mater. Eng. 2014, 24, 1185–1192. [Google Scholar] [CrossRef] [PubMed]
- Wagh, K.P.; Vasanth, K. Performance evaluation of multi-channel electroencephalogram signal (EEG) based time frequency analysis for human emotion recognition. Biomed. Signal Process. Control. 2022, 78, 103966. [Google Scholar] [CrossRef]
- Zhang, Y.; Cheng, C.; Zhang, Y. Multimodal Emotion Recognition Using a Hierarchical Fusion Convolutional Neural Network. IEEE Access 2021, 9, 7943–7951. [Google Scholar] [CrossRef]
- Alhagry, S.; Fahmy, A.A.; El-Khoribi, R.A. Emotion recognition based on EEG using LSTM recurrent neural network. Emotion 2017, 8, 355–358. [Google Scholar] [CrossRef]
- Yang, Y.; Wu, Q.; Qiu, M.; Wang, Y.; Cheng, X. Emotion Recognition from Multi-Channel EEG through Parallel Convolutional Recurrent Neural Network. In Proceedings of the 2018 International Joint Conference on Neural Networks (IJCNN), Rio de Janeiro, Brazil, 8–13 July 2018; pp. 1–7. [Google Scholar]
- Huang, D.; Chen, S.; Liu, C.; Zheng, L.; Tian, Z.; Jiang, D. Differences first in asymmetric brain: A bi-hemisphere discrepancy convolutional neural network for EEG emotion recognition. Neurocomputing 2021, 448, 140–151. [Google Scholar] [CrossRef]
- Aslan, M. CNN based efficient approach for emotion recognition. J. King Saud Univ.—Comput. Inf. Sci. 2021, 34, 7335–7346. [Google Scholar] [CrossRef]
- Chaudhary, S.; Taran, S.; Bajaj, V.; Sengur, A. Convolutional Neural Network Based Approach Towards Motor Imagery Tasks EEG Signals Classification. IEEE Sens. J. 2019, 19, 4494–4500. [Google Scholar] [CrossRef]
- Pandey, P.; Seeja, K.R. Subject independent emotion recognition system for people with facial deformity: An EEG based approach. J. Ambient. Intell. Humaniz. Comput. 2020, 12, 2311–2320. [Google Scholar] [CrossRef]
- Garg, D.; Verma, G.K. Emotion Recognition in Valence-Arousal Space from Multi-channel EEG data and Wavelet based Deep Learning Framework. Procedia Comput. Sci. 2020, 171, 857–867. [Google Scholar] [CrossRef]
- Rahman, M.; Sarkar, A.K.; Hossain, A.; Hossain, S.; Islam, R.; Hossain, B.; Quinn, J.M.; Moni, M.A. Recognition of human emotions using EEG signals: A review. Comput. Biol. Med. 2021, 136, 104696. [Google Scholar] [CrossRef] [PubMed]
- Koelstra, S.; Muhl, C.; Soleymani, M.; Lee, J.-S.; Yazdani, A.; Ebrahimi, T.; Pun, T.; Nijholt, A.; Patras, I. DEAP: A Database for Emotion Analysis; Using Physiological Signals. IEEE Trans. Affect. Comput. 2011, 3, 18–31. [Google Scholar] [CrossRef]
- Liu, W.; Qiu, J.-L.; Zheng, W.-L.; Lu, B.-L. Comparing Recognition Performance and Robustness of Multimodal Deep Learning Models for Multimodal Emotion Recognition. IEEE Trans. Cogn. Dev. Syst. 2021, 14, 715–729. [Google Scholar] [CrossRef]
- Zheng, W.-L.; Liu, W.; Lu, Y.; Lu, B.-L.; Cichocki, A. EmotionMeter: A Multimodal Framework for Recognizing Human Emotions. IEEE Trans. Cybern. 2018, 49, 1110–1122. [Google Scholar] [CrossRef]
- Soleymani, M.; Lichtenauer, J.; Pun, T.; Pantic, M. A Multimodal Database for Affect Recognition and Implicit Tagging. IEEE Trans. Affect. Comput. 2011, 3, 42–55. [Google Scholar] [CrossRef]
- Katsigiannis, S.; Ramzan, N. DREAMER: A Database for Emotion Recognition Through EEG and ECG Signals from Wireless Low-cost Off-the-Shelf Devices. IEEE J. Biomed. Healthc. Inform. 2017, 22, 98–107. [Google Scholar] [CrossRef]
- Torres, E.P.; Torres, E.A.; Hernández-Álvarez, M.; Yoo, S.G. EEG-Based BCI Emotion Recognition: A Survey. Sensors 2020, 20, 5083. [Google Scholar] [CrossRef] [PubMed]
- Nath, D.; Anubhav; Singh, M.; Sethia, D. A Comparative Study of Subject-Dependent and Subject-Independent Strategies for EEG-Based Emotion Recognition Using LSTM Network. In Proceedings of the 2020 the 4th International Conference on Compute and Data Analysis. Association for Computing Machinery, New York, NY, USA, 9–12 March 2020; pp. 142–147. [Google Scholar]
- Lew, W.-C.L.; Wang, D.; Shylouskaya, K.; Zhang, Z.; Lim, J.-H.; Ang, K.K.; Tan, A.-H. EEG-based Emotion Recognition Using Spatial-Temporal Representation via Bi-GRU. In Proceedings of the 2020 42nd Annual International Conference of the IEEE Engineering in Medicine & Biology Society (EMBC), Montreal, QC, Canada, 20–24 July 2020; pp. 116–119. [Google Scholar]
- Putra, A.E.; Atmaji, C.; Ghaleb, F. EEG-Based Emotion Classification Using Wavelet Decomposition and K-Nearest Neighbor. In Proceedings of the 2018 4th International Conference on Science and Technology (ICST), Yogyakarta, Indonesia, 7–8 August 2018; pp. 1–4. [Google Scholar]
- Zhuang, N.; Zeng, Y.; Tong, L.; Zhang, C.; Zhang, H.; Yan, B. Emotion Recognition from EEG Signals Using Multidimensional Information in EMD Domain. BioMed Res. Int. 2017, 2017, 8317357. [Google Scholar] [CrossRef]
- Choi, E.J.; Kim, D.K. Arousal and Valence Classification Model Based on Long Short-Term Memory and DEAP Data for Mental Healthcare Management. Healthc. Inform. Res. 2018, 24, 309–316. [Google Scholar] [CrossRef]
- Xing, X.; Li, Z.; Xu, T.; Shu, L.; Hu, B.; Xu, X. SAE+LSTM: A New Framework for Emotion Recognition from Multi-Channel EEG. Front. Neurorobotics 2019, 13, 37. [Google Scholar] [CrossRef] [PubMed]
- Cui, H.; Liu, A.; Zhang, X.; Chen, X.; Wang, K.; Chen, X. EEG-based emotion recognition using an end-to-end regional-asymmetric convolutional neural network. Knowl.-Based Syst. 2020, 205, 106243. [Google Scholar] [CrossRef]
- Anubhav; Nath, D.; Singh, M.; Sethia, D.; Kalra, D.; Indu, S. An Efficient Approach to EEG-Based Emotion Recognition using LSTM Network. In Proceedings of the 2020 16th IEEE International Colloquium on Signal Processing & Its Applications (CSPA), Langkawi, Malaysia, 28–29 February 2020; pp. 88–92. [Google Scholar]
- Ozdemir, M.A.; Degirmenci, M.; Izci, E.; Akan, A. EEG-based emotion recognition with deep convolutional neural networks. Biomed. Eng./Biomed. Tech. 2020, 66, 43–57. [Google Scholar] [CrossRef]
- Cheng, W.X.; Gao, R.; Suganthan, P.; Yuen, K.F. EEG-based emotion recognition using random Convolutional Neural Networks. Eng. Appl. Artif. Intell. 2022, 116, 105349. [Google Scholar] [CrossRef]
- Bazgir, O.; Mohammadi, Z.; Habibi, S.A.H. Emotion Recognition with Machine Learning Using EEG Signals. In Proceedings of the 2018 25th National and 3rd International Iranian Conference on Biomedical Engineering (ICBME), Qom, Iran, 29–30 November 2018; pp. 1–5. [Google Scholar]
- Zhao, G.; Zhang, Y.; Ge, Y. Frontal EEG Asymmetry and Middle Line Power Difference in Discrete Emotions. Front. Behav. Neurosci. 2018, 12, 225. [Google Scholar] [CrossRef]
- Şengür, D.; Siuly, S. Efficient approach for EEG-based emotion recognition. Electron. Lett. 2020, 56, 1361–1364. [Google Scholar] [CrossRef]
- Liu, Y.-J.; Yu, M.; Zhao, G.; Song, J.; Ge, Y.; Shi, Y. Real-Time Movie-Induced Discrete Emotion Recognition from EEG Signals. IEEE Trans. Affect. Comput. 2017, 9, 550–562. [Google Scholar] [CrossRef]
- Elamir, M.; Alatabany, W.; Aldosoky, M. Intelligent emotion recognition system using recurrence quantification analysis (RQA). In Proceedings of the 2018 35th National Radio Science Conference (NRSC), Cairo, Egypt, 20–22 March 2018; pp. 205–213. [Google Scholar]
- Sarma, P.; Barma, S. Emotion recognition by distinguishing appropriate EEG segments based on random matrix theory. Biomed. Signal Process. Control. 2021, 70, 102991. [Google Scholar] [CrossRef]
- Apicella, A.; Arpaia, P.; Mastrati, G.; Moccaldi, N. EEG-based detection of emotional valence towards a reproducible measurement of emotions. Sci. Rep. 2021, 11, 21615. [Google Scholar] [CrossRef]
- Liu, J.; Wu, G.; Luo, Y.; Qiu, S.; Yang, S.; Li, W.; Bi, Y. EEG-Based Emotion Classification Using a Deep Neural Network and Sparse Autoencoder. Front. Syst. Neurosci. 2020, 14, 43. [Google Scholar] [CrossRef]
- Liang, Z.; Oba, S.; Ishii, S. An unsupervised EEG decoding system for human emotion recognition. Neural Netw. 2019, 116, 257–268. [Google Scholar] [CrossRef] [PubMed]
- He, H.; Tan, Y.; Ying, J.; Zhang, W. Strengthen EEG-based emotion recognition using firefly integrated optimization algorithm. Appl. Soft Comput. 2020, 94, 106426. [Google Scholar] [CrossRef]
- Zhang, J.; Chen, M.; Hu, S.; Cao, Y.; Kozma, R. PNN for EEG-based Emotion Recognition. In Proceedings of the 2016 IEEE International Conference on Systems, Man, and Cybernetics (SMC), Budapest, Hungary, 9–12 October 2016; pp. 2319–2323. [Google Scholar]
- Salama, E.S.; El-Khoribi, R.A.; Shoman, M.; Shalaby, M.A.W. EEG-Based Emotion Recognition using 3D Convolutional Neural Networks. Int. J. Adv. Comput. Sci. Appl. 2018, 9, 329. [Google Scholar] [CrossRef]
- Cheah, K.H.; Nisar, H.; Yap, V.v.; Lee, C.-Y. Short-time-span EEG-based personalized emotion recognition with deep convolutional neural network. In Proceedings of the 2019 IEEE International Conference on Signal and Image Processing Applications (ICSIPA), Kuala Lumpur, Malaysia, 17–19 December 2019; pp. 78–83. [Google Scholar]
- Coan, J.A.; Allen, J.J.B.; Harmon-Jones, E. Voluntary facial expression and hemispheric asymmetry over the frontal cortex. Psychophysiology 2001, 38, 912–925. [Google Scholar] [CrossRef]
- Dimond, S.J.; Farrington, L.; Johnson, P. Differing emotional response from right and left hemispheres. Nature 1976, 261, 690–692. [Google Scholar] [CrossRef]
- Liu, Y.; Sourina, O. Real-Time Fractal-Based Valence Level Recognition from EEG. In Transactions on Computational Science XVIII; Gavrilova, M.L., Tan, C.J.K., Kuijper, A., Eds.; Springer: Berlin/Heidelberg, Germany, 2013; pp. 101–120. [Google Scholar]
- Duan, R.; Zhu, J.; Lu, B. Differential entropy feature for EEG-based emotion classification. In Proceedings of the 2013 6th International IEEE/EMBS Conference on Neural Engineering (NER), San Diego, CA, USA, 6–8 November 2013; pp. 81–84. [Google Scholar]
- Hjorth, B. EEG analysis based on time domain properties. Electroencephalogr. Clin. Neurophysiol. 1970, 29, 306–310. [Google Scholar] [CrossRef]
- Roshdy, A.; Alkork, S.; Karar, A.S.; Mhalla, H.; Beyrouthy, T.; Al Barakeh, Z.; Nait-ali, A. Statistical Analysis of Multi-channel EEG Signals for Digitizing Human Emotions. In Proceedings of the 2021 4th International Conference on Bio-Engineering for Smart Technologies (BioSMART), Paris, France, 8–10 December 2021; pp. 1–4. [Google Scholar]
- Mert, A.; Akan, A. Emotion recognition from EEG signals by using multivariate empirical mode decomposition. Pattern Anal. Appl. 2016, 21, 81–89. [Google Scholar] [CrossRef]
- Hu, W.; Huang, G.; Li, L.; Zhang, L.; Zhang, Z.; Liang, Z. Video-triggered EEG-emotion public databases and current methods: A survey. Brain Sci. Adv. 2020, 6, 255–287. [Google Scholar] [CrossRef]
- Sourina, O.; Liu, Y. A fractal-based algorithm of emotion recognition from EEG using arousal-valence model. In Proceedings of the International Conference on Bio-Inspired Systems and SIGNAL Processing, SciTePress, Rome, Italy, 26–29 January 2011; pp. 209–214. [Google Scholar]
- Amin, H.U.; Malik, A.S.; Ahmad, R.F.; Badruddin, N.; Kamel, N.; Hussain, M.; Chooi, W.-T. Feature extraction and classification for EEG signals using wavelet transform and machine learning techniques. Australas. Phys. Eng. Sci. Med. 2015, 38, 139–149. [Google Scholar] [CrossRef]
- Bozkurt, F. A deep and handcrafted features-based framework for diagnosis of COVID-19 from chest x-ray images. Concurr. Comput. Pr. Exp. 2021, 34, e6725. [Google Scholar] [CrossRef]
- Loddo, A.; Di Ruberto, C. On the Efficacy of Handcrafted and Deep Features for Seed Image Classification. J. Imaging 2021, 7, 171. [Google Scholar] [CrossRef] [PubMed]
- De Miras, J.R.; Ibáñez-Molina, A.; Soriano, M.; Iglesias-Parro, S. Schizophrenia classification using machine learning on resting state EEG signal. Biomed. Signal Process. Control. 2023, 79, 104233. [Google Scholar] [CrossRef]
- Ramirez, R.; Planas, J.; Escude, N.; Mercade, J.; Farriols, C. EEG-based analysis of the emotional effect of music therapy on palliative care cancer patients. Front. Psychol. 2018, 9, 254. [Google Scholar] [CrossRef] [PubMed]
- Schmidt, L.A.; Trainor, L.J. Frontal brain electrical activity (EEG) distinguishes valence and intensity of musical emotions. Cogn. Emot. 2001, 15, 487–500. [Google Scholar] [CrossRef]
- Chatterjee, S.; Byun, Y.-C. EEG-Based Emotion Classification Using Stacking Ensemble Approach. Sensors 2022, 22, 8550. [Google Scholar] [CrossRef]
- Abdel-Hamid, L. Egyptian Arabic speech emotion recognition using prosodic, spectral and wavelet features. Speech Commun. 2020, 122, 19–30. [Google Scholar] [CrossRef]








| Band | Symbol | Frequency Range | Psychological State | |
|---|---|---|---|---|
| Delta | Δ | <4 Hz | unconsciousness | Deep sleep |
| Theta | θ | 4–8 Hz | subconsciousness | Light sleep and meditation |
| Alpha | α | 8–12 Hz | consciousness | Normal relaxed yet alert adult |
| Beta | β | 12–30 Hz | Daily activities | |
| Gamma | δ | >30 Hz | Complex brain activities | |
| Research Paper | Channels | EEG Bands | Features | Classifier | Dep./ Indep. | Val./ Arl. | Acc. % |
|---|---|---|---|---|---|---|---|
| Mohammadi et al., 2017 [55] | Fp1, Fp2 | Gamma | Wavelet Features | kNN | Indep. | Val. Arl. | 80.68 74.60 |
| Fp1, Fp2, F7, F8, F3, F4, FC5, FC6, FC1, FC2 | Val. Arl. | 86.75 84.05 | |||||
| Salma et al., 2017 [59] | All | Raw | Deep Features (LSTM) | Sigmoid | Dep. | Val. Arl. | 85.45 85.65 |
| Wu et al., 2017 [53] | Fp1, Fp2 | All | Frequency, WT Features | GBDT | Dep. | Val. | 75.18 |
| Zhuang et al., 2017 [76] | FP1, FP2, F7, F8, T7, T8, P7, P8 | Beta, Gamma | Time (EMD) | SVM | Dep. | Val. Arl. | 69.10 71.99 |
| Eun et al., 2018 [77] | Fp1, Fp2, F3, F4, T7, T8, P3, P4* | Raw | Deep Features (LSTM) | Sigmoid | Indep. | Val. Arl. | 78.00 74.65 |
| Putra, 2018 [75] | All | All except delta | Wavelet Features | kNN | Dep. | Val. Arl. | 59.00 65.70 |
| All | All except delta | Wavelet Features | kNN | Indep. | Val. Arl. | 58.90 64.30 | |
| Yang et al., 2018 [60] | All | Raw | Deep Features (LSTM, CNN) | Softmax | Dep. | Val. Arl. | 90.80 91.03 |
| Parui et al., 2019 [36] | All | Raw | Time, WT Features | XGBoost | Indep. | Val. Arl. | 75.97 74.20 |
| All | Frequency Features | ||||||
| Xing et al., 2019 [78] | All | All except delta | Frequency Features | LSTM | Indep. | Val. Arl. | 81.10 74.38 |
| Cui et al., 2020 [79] | Symmetric Channels | All except delta | Regional-Asymmetric CNN (RACNN) | Softmax | Dep. | Val. Arl. | 96.65 97.11 |
| Garg and Verma, 2020 [65] | All | Raw | Scalogram Images | GoogleNet (pretrained) | Indep. | Val. Arl. | 92.19 61.23 |
| Nath et al., 2020 [73,80] | All | All | Band Power | LSTM | Dep. | Val. Arl. | 94.69 93.13 |
| SVM | Indep. | Val. Arl. | 72.19 71.25 | ||||
| Aslan, 2021, [62] | All | Raw | Scalogram Images | GoogleNet (pretrained) +SVM | Indep. | Val. Arl. | 91.20 93.70 |
| Ozdemir et al., 2021 [81] | All | Alpha, Beta, Gamma | Multi-Spectral Topology Images | CNN, LSTM + Softmax | Indep. | Val. Arl. | 90.62 86.13 |
| Huang, 2021 [61] | Symmetric Channels | Raw signal | Bi-hemisphere spatial features | CNN | Dep. | Val. Arl. | 94.38 94.72 |
| Indep. | Val. Arl. | 68.14 63.94 | |||||
| Yin et al., 2021 [48] | All | Raw signal | Differential Entropy Cube | GCNN, LSTM | Dep. | Val. Arl. | 90.45 90.60 |
| All | Indep. | Val. Arl. | 84.81 85.27 | ||||
| Zhang et al., 2021 [58] | Fp1, Fp2, F3, F4, AF3, AF4* | All | Time, Frequency | Softmax | Indep. | Val. Arl. | 84.71 83.28 |
| Raw signal | Deep Features (HFCNN) | ||||||
| Cheng et al., 2022 [82] | All | Raw Signal | Deep Features (randomized CNN) | Ensemble | Dep. | Val. Arl. | 99.19 99.25 |
| Gao et al., 2022 [37] | All | All except delta | Time, Frequency Features | CNN + SVM | Indep. | Val. Arl. | 80.52 75.22 |
| All (2–60 Hz) | Delta (2–4 Hz) | Theta (4–8 Hz) | Alpha (8–12 Hz) | Beta (12–30 Hz) | Gamma (30–60 Hz) | |
|---|---|---|---|---|---|---|
| variance | 62.50 | 95.51 | 84.77 | 98.24 | 84.57 | 68.56 |
| PSD | 61.33 | 95.12 | 84.38 | 97.85 | 84.38 | 70.31 |
| 30–60 Hz | 30–40 Hz | 40–50 Hz | 50–60 Hz | |
|---|---|---|---|---|
| variance | 68.56 | 91.99 | 91.40 | 99.02 |
| PSD | 70.31 | 91.99 | 91.02 | 9.63 |
| Delta (2–4 Hz) | Alpha (8–12 Hz) | Gamma (50–60 Hz) | ||||
|---|---|---|---|---|---|---|
| Variance | PSD | Variance | PSD | Variance | PSD | |
| 1–20 s | 96.29 | 96.09 | 97.46 | 97.07 | 97.66 | 97.66 |
| 20–40 s | 95.51 | 95.70 | 97.46 | 97.46 | 98.05 | 98.05 |
| 40–60 s | 94.92 | 95.51 | 96.68 | 97.27 | 98.05 | 97.85 |
| 1–60 s | 95.51 | 95.12 | 98.24 | 98.24 | 99.02 | 98.63 |
| Delta (2–4 Hz) | Alpha (8–12 Hz) | Fast Gamma (50–60 Hz) | |
|---|---|---|---|
| Variance | 95.08 | 96.09 | 85.23 |
| PSD | 95.08 | 96.25 | 84.76 |
| Variance + PSD | 95.00 | 96.33 | 85.55 |
| Delta (2–4 Hz) | Alpha (8–12 Hz) | Fast Gamma (50–60 Hz) | |
|---|---|---|---|
| Variance | 96.95 | 97.26 | 87.58 |
| PSD | 95.55 | 96.80 | 87.50 |
| Variance + PSD | 97.19 | 97.42 | 87.11 |
| Subject | kNN | SVM (rbf) | ||||
|---|---|---|---|---|---|---|
| Delta | Alpha | Fast Gamma | Delta | Alpha | Fast Gamma | |
| 1 | 95.0 | 97.5 | 77.5 | 97.5 | 97.5 | 77.5 |
| 2 | 92.5 | 95.0 | 77.5 | 87.5 | 95.0 | 82.5 |
| 3 | 95.0 | 97.5 | 72.5 | 97.5 | 97.5 | 75.0 |
| 4 | 100 | 92.5 | 60.0 | 97.5 | 95.0 | 72.5 |
| 5 | 95.0 | 90.0 | 90.0 | 97.5 | 95.0 | 92.5 |
| 6 | 100 | 95.0 | 97.5 | 100 | 97.5 | 95.0 |
| 7 | 95.0 | 95.0 | 87.5 | 97.5 | 100 | 92.5 |
| 8 | 95.0 | 97.5 | 77.5 | 97.5 | 100 | 85.0 |
| 9 | 95.0 | 97.5 | 82.5 | 97.5 | 97.5 | 87.5 |
| 10 | 95.0 | 97.5 | 90.0 | 100 | 95.0 | 90.0 |
| 11 | 90.0 | 92.5 | 90.0 | 90.0 | 95.0 | 87.5 |
| 12 | 95.0 | 100 | 85.0 | 100 | 100 | 85.0 |
| 13 | 97.5 | 95.0 | 70.0 | 100 | 97.5 | 67.5 |
| 14 | 95.0 | 97.5 | 97.5 | 100 | 97.5 | 100 |
| 15 | 95.0 | 97.5 | 82.5 | 97.5 | 97.5 | 82.5 |
| 16 | 100 | 95.0 | 75.0 | 100 | 95.0 | 77.5 |
| 17 | 95.0 | 97.5 | 85.0 | 97.5 | 100 | 85.0 |
| 18 | 97.5 | 100 | 90.0 | 97.5 | 100 | 92.5 |
| 19 | 95.0 | 95.0 | 95.0 | 97.5 | 92.5 | 95.0 |
| 20 | 95.0 | 97.5 | 85.0 | 97.5 | 97.5 | 90.0 |
| 21 | 95.0 | 97.5 | 90.0 | 100 | 97.5 | 97.5 |
| 22 | 97.5 | 100 | 90.0 | 100 | 100 | 85.0 |
| 23 | 92.5 | 100 | 95.0 | 95.0 | 100 | 95.0 |
| 24 | 97.5 | 97.5 | 77.5 | 95.0 | 97.5 | 77.5 |
| 25 | 95.0 | 95.0 | 87.5 | 97.5 | 97.5 | 85.0 |
| 26 | 95.0 | 95.0 | 100 | 97.5 | 97.5 | 100 |
| 27 | 97.5 | 90.0 | 95.0 | 100 | 92.5 | 95.0 |
| 28 | 87.5 | 97.5 | 97.5 | 90.0 | 97.5 | 97.5 |
| 29 | 95.0 | 95.0 | 97.5 | 97.5 | 95.0 | 97.5 |
| 30 | 95.0 | 97.5 | 87.5 | 97.5 | 100 | 90.0 |
| 31 | 85.0 | 97.5 | 82.5 | 92.5 | 100 | 85.0 |
| 32 | 95.0 | 97.5 | 70.0 | 100 | 100 | 70.0 |
| Average | 95.0 | 96.33 | 85.55 | 97.19 | 97.42 | 87.11 |
| Highest Accuracies | Lowest Accuracies | All Subjects | ||||
|---|---|---|---|---|---|---|
| Subject #12 | Subject #22 | Subject #19 | Subject #27 | |||
| Valence ratings statistical measures | Median | 5.04 | 5.00 | 5.04 | 6.08 | 5.04 |
| Average | 4.88 | 4.69 | 5.23 | 6.08 | 5.25 | |
| Std. deviation | 2.24 | 2.44 | 1.80 | 2.18 | 2.13 | |
| Accuracies (SVM) | Threshold = 5 | 100 | 100 | 92.5 | 92.5 | 97.42 |
| Threshold = 6 | 97.5 | 100 | 92.5 | 97.5 | 96.56 | |
| Delta (2–4 Hz) | Alpha (8–12 Hz) | Fast Gamma (50–60 Hz) | |
|---|---|---|---|
| Variance | 94.30 | 95.39 | 78.13 |
| PSD | 94.69 | 94.22 | 78.28 |
| Variance + PSD | 94.92 | 95.00 | 78.44 |
| Method | Year | Method | Channels | Bands | Acc. % |
|---|---|---|---|---|---|
| Wu et al. [53] | 2017 | FFT and WT features with GBDT | Fp1, Fp2 | All | 75.18 |
| Salma et al. [59] | 2017 | LSTM and RNN | All | Raw | 85.45 |
| Yang et al. [60] | 2018 | LSTM and CNN | All | All | 90.80 |
| Cui et al. [79] | 2020 | Differential Entropy + SVM | Symmetric channel pairs | All except delta | 89.09 |
| Multilayer Perceptron (MLP) | 92.57 | ||||
| Regional-Asymmetric CNN (RACNN) | 96.65 | ||||
| Nath et al. [80] | 2020 | Band power with LSTM | All | All | 94.69 |
| Yin et al. [48] | 2021 | Differential entropy with ECLGCNN | All | All | 80.52 |
| Huang et al. [61] | 2021 | Bi-hemisphere discrepancy CNN | Symmetric channel pairs | Raw | 94.38 |
| Chen et al. [82] | 2022 | Ensemble Deep Randomized-CNN | All | Raw | 99.19 |
| Proposed | 2022 | Variance + PSD with SVM | Fp1-Fp2 | Alpha | 97.42 |
Disclaimer/Publisher’s Note: The statements, opinions and data contained in all publications are solely those of the individual author(s) and contributor(s) and not of MDPI and/or the editor(s). MDPI and/or the editor(s) disclaim responsibility for any injury to people or property resulting from any ideas, methods, instructions or products referred to in the content. |
© 2023 by the author. Licensee MDPI, Basel, Switzerland. This article is an open access article distributed under the terms and conditions of the Creative Commons Attribution (CC BY) license (https://creativecommons.org/licenses/by/4.0/).
Share and Cite
Abdel-Hamid, L. An Efficient Machine Learning-Based Emotional Valence Recognition Approach Towards Wearable EEG. Sensors 2023, 23, 1255. https://doi.org/10.3390/s23031255
Abdel-Hamid L. An Efficient Machine Learning-Based Emotional Valence Recognition Approach Towards Wearable EEG. Sensors. 2023; 23(3):1255. https://doi.org/10.3390/s23031255
Chicago/Turabian StyleAbdel-Hamid, Lamiaa. 2023. "An Efficient Machine Learning-Based Emotional Valence Recognition Approach Towards Wearable EEG" Sensors 23, no. 3: 1255. https://doi.org/10.3390/s23031255
APA StyleAbdel-Hamid, L. (2023). An Efficient Machine Learning-Based Emotional Valence Recognition Approach Towards Wearable EEG. Sensors, 23(3), 1255. https://doi.org/10.3390/s23031255

