A Dynamic Path-Planning Method for Obstacle Avoidance Based on the Driving Safety Field
Abstract
:1. Introduction
2. A Path-Planning Framework Based on the Driving Safety Field
3. Obstacle Avoidance Path-Planning Method for Dynamic Obstacles
3.1. Coordinate System Definition
3.2. Driving Safety Field Modeling
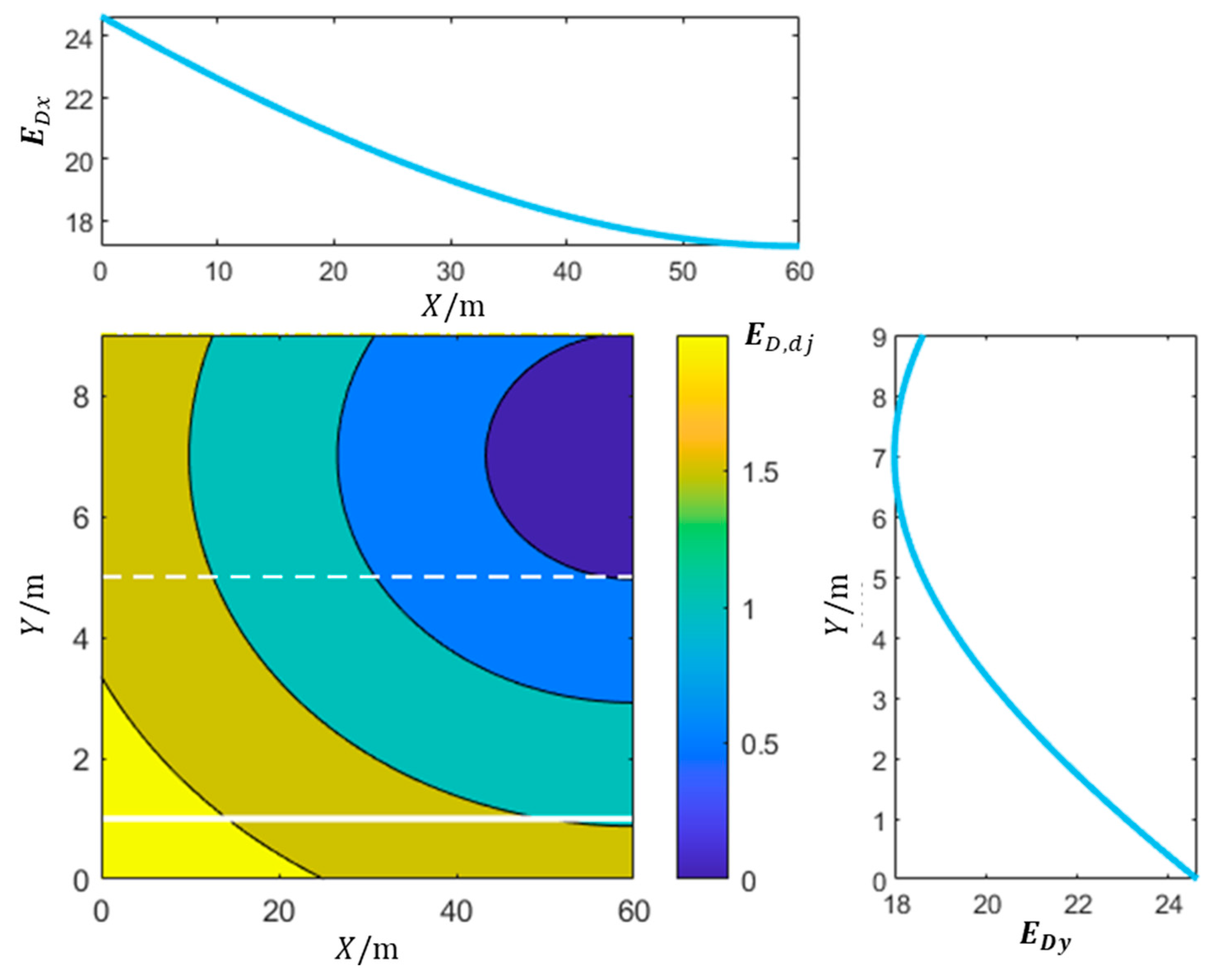
3.2.1. Lane Line Potential Field
3.2.2. Static Obstacle Potential Field
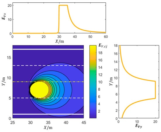
3.2.3. Dynamic Obstacle Kinetic Field
3.2.4. Target Position Driving Field
3.3. Path-Planning Method
3.4. Vehicle Motion Constraints
3.4.1. Kinematic Constraints
3.4.2. Dynamical Constraints
3.5. Vehicle Collision Detection
4. A Path-Smoothing Method Based on Quadratic Programming
4.1. Discrete Path Point Smoothing
4.1.1. Objective Function
4.1.2. Constraint Conditions
4.2. Smooth Obstacle Avoidance Path Generation
5. Simulation Verification and Analysis of Results
5.1. Simulation Parameter Setting
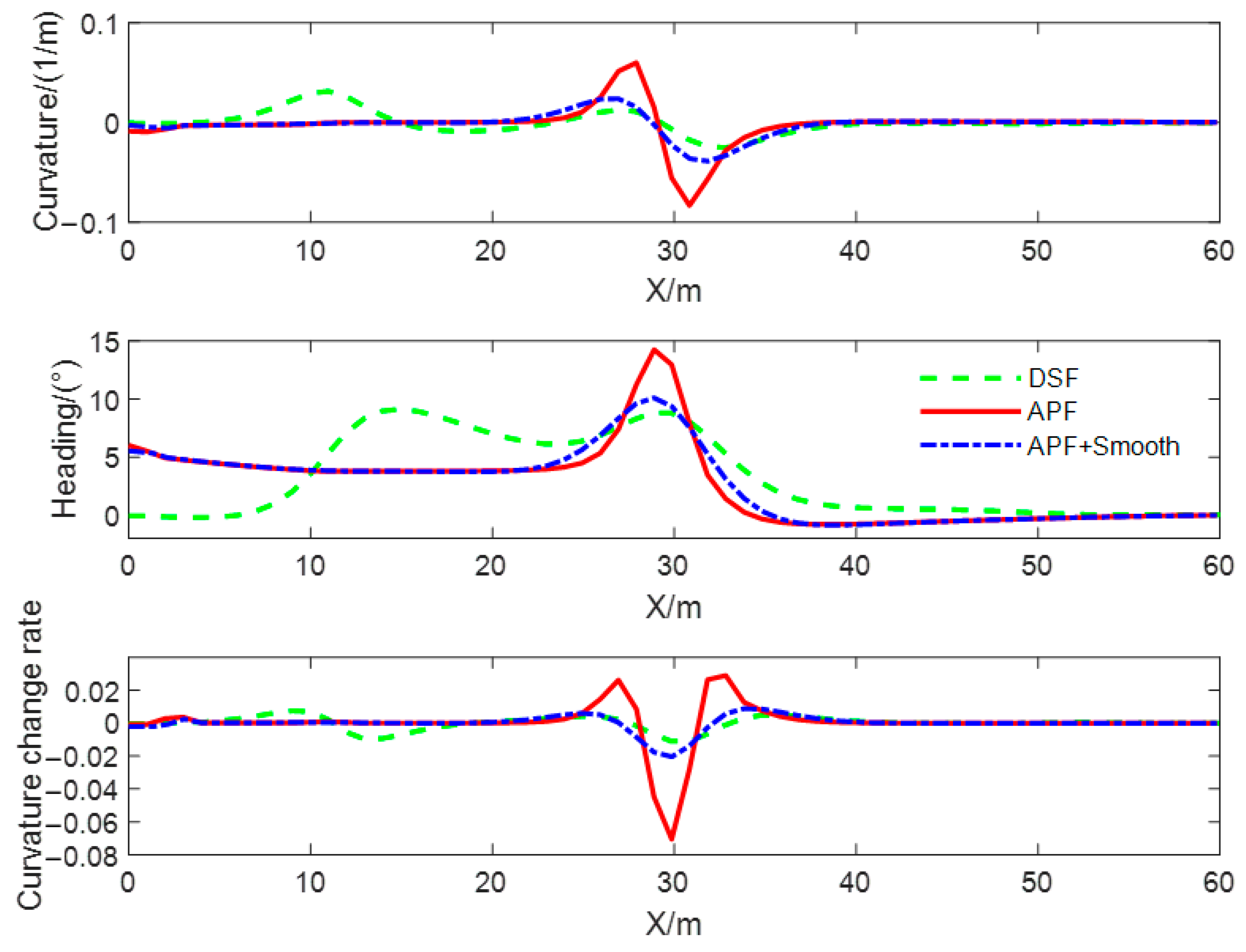
5.2. Simulation Result Analysis
5.2.1. Static Obstacle Scene
5.2.2. Dynamic Obstacle Scene
5.2.3. Multiple Obstacle Scene
6. Conclusions
Author Contributions
Funding
Institutional Review Board Statement
Informed Consent Statement
Data Availability Statement
Conflicts of Interest
References
- González, D.; Pérez, J.; Milanés, V.; Nashashibi, F. A review of motion planning techniques for automated vehicles. IEEE Trans. Intell. Transp. Syst. 2015, 17, 1135–1145. [Google Scholar] [CrossRef]
- Katrakazas, C.; Quddus, M.; Chen, W.-H.; Deka, L. Real-time motion planning methods for autonomous on-road driving: State-of-the-art and future research directions. Transp. Res. Part C Emerg. Technol. 2015, 60, 416–442. [Google Scholar] [CrossRef]
- Li, B.; Ouyang, Y.; Li, L.; Zhang, Y. Autonomous driving on curvy roads without reliance on frenet frame: A cartesian-based trajectory planning method. IEEE Trans. Intell. Transp. Syst. 2022, 23, 15729–15741. [Google Scholar] [CrossRef]
- Zhu, D.; Sun, J. A new algorithm based on Dijkstra for vehicle path planning considering intersection attribute. IEEE Access 2021, 9, 19761–19775. [Google Scholar] [CrossRef]
- Zhaoying, L.; Ruoling, S.; Zhao, Z. A new path planning method based on sparse A* algorithm with map segmentation. Trans. Inst. Meas. Control 2022, 44, 916–925. [Google Scholar] [CrossRef]
- Schmid, L.; Pantic, M.; Khanna, R.; Ott, L.; Siegwart, R.; Nieto, J. An efficient sampling-based method for online informative path planning in unknown environments. IEEE Robot. Autom. Lett. 2020, 5, 1500–1507. [Google Scholar] [CrossRef]
- Noreen, I.; Khan, A.; Habib, Z. Optimal path planning using RRT* based approaches: A survey and future directions. Int. J. Adv. Comput. Sci. Appl. 2016, 7, 97–107. [Google Scholar] [CrossRef]
- Talamino, J.P.; Sanfeliu, A. Anticipatory kinodynamic motion planner for computing the best path and velocity trajectory in autonomous driving. Robot. Auton. Syst. 2019, 114, 93–105. [Google Scholar] [CrossRef]
- Benko Loknar, M.; Klančar, G.; Blažič, S. Minimum-Time Trajectory Generation for Wheeled Mobile Systems Using Bézier Curves with Constraints on Velocity, Acceleration and Jerk. Sensors 2023, 23, 1982. [Google Scholar] [CrossRef]
- Wahid, N.; Zamzuri, H.; Amer, N.H.; Dwijotomo, A.; Saruchi, S.A.; Mazlan, S.A. Vehicle collision avoidance motion planning strategy using artificial potential field with adaptive multi-speed scheduler. IET Intell. Transp. Syst. 2020, 14, 1200–1209. [Google Scholar] [CrossRef]
- Huang, Y.; Ding, H.; Zhang, Y.; Wang, H.; Cao, D.; Xu, N.; Hu, C. A motion planning and tracking framework for autonomous vehicles based on artificial potential field elaborated resistance network approach. IEEE Trans. Ind. Electron. 2019, 67, 1376–1386. [Google Scholar] [CrossRef]
- Ma, Q.; Li, M.; Huang, G.; Ullah, S. Overtaking Path Planning for CAV based on Improved Artificial Potential Field. IEEE Trans. Veh. Technol. 2023, 9, 1–13. [Google Scholar] [CrossRef]
- Zuo, Z.; Yang, X.; Li, Z.; Wang, Y.; Han, Q.; Wang, L.; Luo, X. MPC-based cooperative control strategy of path planning and trajectory tracking for intelligent vehicles. IEEE Trans. Intell. Veh. 2020, 6, 513–522. [Google Scholar] [CrossRef]
- Pan, R.; Jie, L.; Zhao, X.; Wang, H.; Yang, J.; Song, J. Active Obstacle Avoidance Trajectory Planning for Vehicles Based on Obstacle Potential Field and MPC in V2P Scenario. Sensors 2023, 23, 3248. [Google Scholar] [CrossRef] [PubMed]
- Song, B.; Wang, Z.; Zou, L. An improved PSO algorithm for smooth path planning of mobile robots using continuous high-degree Bezier curve. Appl. Soft Comput. 2021, 100, 106960. [Google Scholar] [CrossRef]
- Bergman, K.; Ljungqvist, O.; Axehill, D. Improved path planning by tightly combining lattice-based path planning and optimal control. IEEE Trans. Intell. Veh. 2020, 6, 57–66. [Google Scholar] [CrossRef]
- Wei, K.; Ren, B. A method on dynamic path planning for robotic manipulator autonomous obstacle avoidance based on an improved RRT algorithm. Sensors 2018, 18, 571. [Google Scholar] [CrossRef]
- Yang, G.; Cai, M.; Ahmad, A.; Belta, C.; Tron, R. Efficient LQR-CBF-RRT*: Safe and Optimal Motion Planning. arXiv 2023, arXiv:2304.00790. [Google Scholar]
- Ren, J.; McIsaac, K.A.; Patel, R.V. Modified Newton’s method applied to potential field-based navigation for mobile robots. IEEE Trans. Robot. 2006, 22, 384–391. [Google Scholar]
- Ren, J.; McIsaac, K.A.; Patel, R.V. Modified Newton’s method applied to potential field-based navigation for nonholonomic robots in dynamic environments. Robotica 2008, 26, 117–127. [Google Scholar] [CrossRef]
- Khatib, O. Real-time obstacle avoidance for manipulators and mobile robots. Ind. Robot. 1986, 5, 90–98. [Google Scholar]
- Xia, X.; Li, T.; Sang, S.; Cheng, Y.; Ma, H.; Zhang, Q.; Yang, K. Path Planning for Obstacle Avoidance of Robot Arm Based on Improved Potential Field Method. Sensors 2023, 23, 3754. [Google Scholar] [CrossRef]
- Caijing, X.; Hui, C. A research on local path planning for autonomous vehicles based on improved APF method. Qiche Gongcheng 2013, 9, 808–811. [Google Scholar]
- An, L.; Chen, T.; Cheng, A.; Fang, W. Simulation on the path planning of intelligent vehicles based on artificial potential field algorithm. Qiche Gongcheng 2017, 39, 1451–1456. [Google Scholar]
- Ji, J.; Khajepour, A.; Melek, W.W.; Huang, Y. Path planning and tracking for vehicle collision avoidance based on model predictive control with multiconstraints. IEEE Trans. Veh. Technol. 2016, 66, 952–964. [Google Scholar] [CrossRef]
- Li, C.; Lu, S.; Zhang, B.; Wu, W.; Lu, J. Human vehicle steering collision avoidance path planning based on pedestrian location prediction. Qiche Gongcheng 2021, 43, 877–884. [Google Scholar]
- Wang, J.; Wu, J.; Li, Y. The driving safety field based on driver–vehicle–road interactions. IEEE Trans. Intell. Transp. Syst. 2015, 16, 2203–2214. [Google Scholar] [CrossRef]
- Wang, J.; Wu, J.; Zheng, X.; Ni, D.; Li, K. Driving safety field theory modeling and its application in pre-collision warning system. Transp. Res. Part C Emerg. Technol. 2016, 72, 306–324. [Google Scholar] [CrossRef]
- Wang, Y.; Wei, C.; Lu, M. Dynamic lane-changing trajectory planning model for intelligent vehicle based on quadratic programming. China J. Highw. Transp. 2021, 34, 79–94. [Google Scholar]
- Li, X.; Sun, Z.; Cao, D.; He, Z.; Zhu, Q. Real-time trajectory planning for autonomous urban driving: Framework, algorithms, and verifications. IEEE-ASME Trans. Mechatron. 2015, 21, 740–753. [Google Scholar] [CrossRef]
- Zhou, J.; He, R.; Wang, Y.; Jiang, S.; Zhu, Z.; Hu, J.; Miao, J.; Luo, Q. Autonomous driving trajectory optimization with dual-loop iterative anchoring path smoothing and piecewise-jerk speed optimization. IEEE Robot. Autom. Lett. 2020, 6, 439–446. [Google Scholar] [CrossRef]
- Feng, S.; Qian, Y.; Wang, Y. Collision avoidance method of autonomous vehicle based on improved artificial potential field algorithm. Proc. Inst. Mech. Eng. Part D J. Automob. Eng. 2021, 235, 3416–3430. [Google Scholar] [CrossRef]


















| Symbol | Description | Value | Unit |
|---|---|---|---|
| Road condition impact factor | 1 | -- | |
| Maximum influence distance of the potential field | 30 | m | |
| Lane line type parameter | 1 | -- | |
| Potential field adjustment coefficient | 1 | -- | |
| Lane line distance coefficient | 2 | -- | |
| Driving safety field distance coefficient | 3 | -- | |
| Driving safety field velocity coefficient | 0.03 | -- | |
| Driving field adjustment coefficient | 100 | -- | |
| Adjustment coefficient for car following behavior | 0.15 | -- | |
| Adjustment coefficient for lane-changing behavior | 0.20 | -- | |
| Lane width | 3.5 | m | |
| Coefficient of smoothness objective function | 5 | ||
| Coefficient of similarity objective function | 2 | ||
| Wheelbase of the vehicle | 2.80 | m | |
| Distance from the front axle to the vehicle’s forefront | 0.96 | m | |
| Distance from the rear axle to the vehicle’s rearmost | 0.92 | m | |
| Width of the vehicle | 1.94 | m |
| Maximum Curvature (1/m) | Maximum Heading Angle (°) | Distance to Target Position (m) | Minimum Distance to Obstacles (m) | |
|---|---|---|---|---|
| DSF | 0.03 | 9.11 | 0.08 | 2.72 |
| APF (Baseline) | 0.08 | 14.26 | 0.74 | 2.63 |
| APF + Smooth | 0.04 | 10.11 | 0.74 | 2.58 |
| Comparison | 62.29% | 36.14% | 89.12% | 3.43% |
| Position Across Lane Line | |||
|---|---|---|---|
| DSF | x = 26.85 | x = 22.46 | x = 16.72 |
| APF | x = 23.98 | x = 23.98 | x = 23.98 |
| Methods | Maximum Curvature (1/m) | Maximum Heading Angle (°) | Distance to Target Position (m) | Minimum Distance to Obstacles (m) |
|---|---|---|---|---|
| DSF | 0.03 | 9.40 | 0.07 | 3.14 |
| APF (Baseline) | 0.08 | 14.26 | 0.74 | 2.63 |
| APF + Smooth | 0.04 | 10.11 | 0.74 | 2.58 |
| Comparison | 68.95% | 34.11% | 90.85% | 19.31% |
| Methods | Maximum Curvature (1/m) | Maximum Heading Angle (°) | Distance to Target Position (m) | Minimum Distance to Obstacles (m) |
|---|---|---|---|---|
| DSF | 0.04 | 11.62 | 0.15 | 2.72 |
| APF (Baseline) | 0.35 | 41.58 | 0.95 | 1.33 |
| APF + Smooth | 0.10 | 21.18 | 0.95 | 1.74 |
| Comparison | 87.32% | 72.06% | 83.76% | 104.90% |
Disclaimer/Publisher’s Note: The statements, opinions and data contained in all publications are solely those of the individual author(s) and contributor(s) and not of MDPI and/or the editor(s). MDPI and/or the editor(s) disclaim responsibility for any injury to people or property resulting from any ideas, methods, instructions or products referred to in the content. |
© 2023 by the authors. Licensee MDPI, Basel, Switzerland. This article is an open access article distributed under the terms and conditions of the Creative Commons Attribution (CC BY) license (https://creativecommons.org/licenses/by/4.0/).
Share and Cite
Liu, K.; Wang, H.; Fu, Y.; Wen, G.; Wang, B. A Dynamic Path-Planning Method for Obstacle Avoidance Based on the Driving Safety Field. Sensors 2023, 23, 9180. https://doi.org/10.3390/s23229180
Liu K, Wang H, Fu Y, Wen G, Wang B. A Dynamic Path-Planning Method for Obstacle Avoidance Based on the Driving Safety Field. Sensors. 2023; 23(22):9180. https://doi.org/10.3390/s23229180
Chicago/Turabian StyleLiu, Ke, Honglin Wang, Yao Fu, Guanzheng Wen, and Binyu Wang. 2023. "A Dynamic Path-Planning Method for Obstacle Avoidance Based on the Driving Safety Field" Sensors 23, no. 22: 9180. https://doi.org/10.3390/s23229180
APA StyleLiu, K., Wang, H., Fu, Y., Wen, G., & Wang, B. (2023). A Dynamic Path-Planning Method for Obstacle Avoidance Based on the Driving Safety Field. Sensors, 23(22), 9180. https://doi.org/10.3390/s23229180

