Debonding Detection in Grouted Sleeves Using Axisymmetric Longitudinal Guided Waves
Abstract
:1. Introduction
2. Materials and Theoretical Method
2.1. Configuration of the GS Models
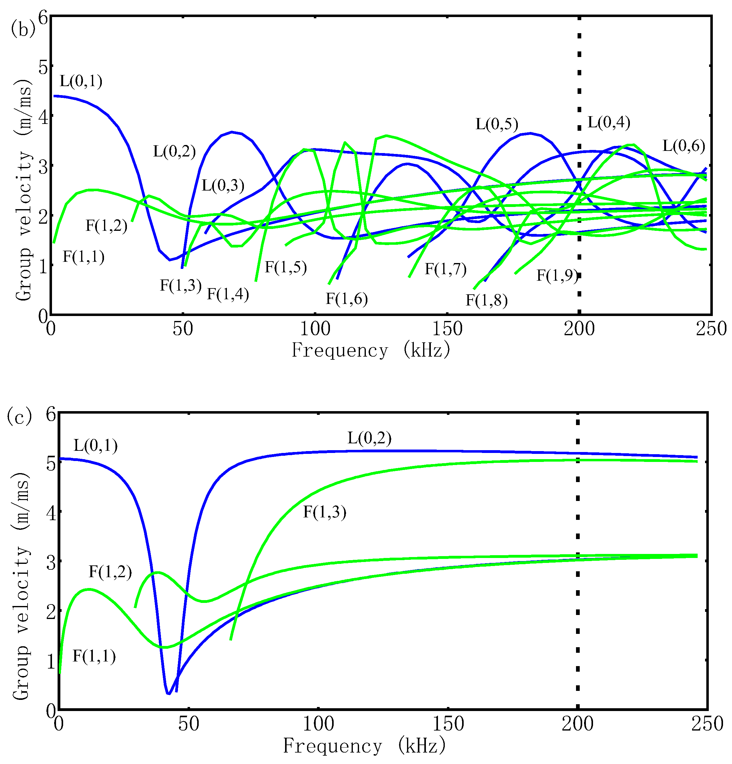
2.2. Dispersion
2.3. Theoretical ToFs under Different Debonding Scenarios
3. Numerical Analysis
3.1. Numerical Model
3.2. Numerical Results
Subsubsection ToF Extraction Method
4. Experimental Analysis
4.1. Experimental Setup
4.2. Experimental Results
4.3. Adaptation of Frequency with GS Size
5. Conclusions and Future Work
- Grout defecting could be efficiently monitored with the use of PZTs wrapped around steel sleeves without the need to damage the grout and rebar. The defect development led to changes in the wave velocity measured in different specimens;
- In the ToF extraction process, the Hilbert transform and the AIC algorithm could be used. It is worth noting that the ToF processing of the experimental signals was different from that of the simulated signals due to the addition of a filtering process. The selected Hanning window modulated FIR could effectively eliminate the noise and DC components from the equipment and the environment;
- The defecting length could be determined based on the measured ToF of the first wave; however, a slight difference in the ToF values was obtained in the theory, simulation, and experiment. Therefore, to accurately evaluate the GS defect, it is recommended to use the ToF determined experimentally on an undamaged object;
- The working center frequencies for different sizes of GS should be different because the size will affect the dispersion curves. However, the selection principle still needs to consider the three factors proposed in this paper: scattering attenuation, the guided wave mode, and resolution.
Author Contributions
Funding
Institutional Review Board Statement
Informed Consent Statement
Data Availability Statement
Conflicts of Interest
References
- Tumminia, G.; Guarino, F.; Longo, S.; Ferraro, M.; Cellura, M.; Antonucci, V. Life Cycle Energy Performances and Environmental Impacts of a Prefabricated Building Module. Renew. Sustain. Energy Rev. 2018, 92, 272–283. [Google Scholar]
- Xu, G.; Wang, Z.; Wu, B.; Bursi, O.S.; Tan, X.; Yang, Q.; Wen, L. Seismic Performance of Precast Shear Wall with Sleeves Connection Based on Experimental and Numerical Studies. Eng. Struct. 2017, 150, 346–358. [Google Scholar]
- Neupane, S.; Ameli, M.J.; Pantelides, C.P. Numerical Modeling of Column Piers with Recessed Spliced Sleeves and Intentional Debonding for Accelerated Bridge Construction. J. Struct. Eng. 2023, 149, 04023008. [Google Scholar]
- Lu, Z.; Wu, B.; Yang, S.; Hou, J.; Ji, Z.; Li, Y.; Huang, J.; Zhang, M. Experimental Study on Flexural Behaviour of Prefabricated Concrete Beams with Double-Grouted Sleeves. Eng. Struct. 2021, 248, 113237. [Google Scholar]
- Sun, J.; Qiao, G.; Ye, G. Stress Self-Monitoring Performance of Grouted Sleeves with Smart Grout in Fabricated Reinforced Concrete Beams. Measurement 2023, 207, 112362. [Google Scholar]
- Xie, L.; Wang, X.; Zhong, B.; Yang, C.; Chen, X.; Miao, Q.; Liu, Q. Full-Scale Experimental Investigation on the Seismic Performance of Pc Columns before and after Repair of Grouting Defects. J. Build. Eng. 2022, 58, 104996. [Google Scholar]
- Li, Z.; Zheng, L.; Chen, C.; Long, Z.; Wang, Y. Ultrasonic Detection Method for Grouted Defects in Grouted Splice Sleeve Connector Based on Wavelet Pack Energy. Sensors 2019, 19, 1642. [Google Scholar] [PubMed]
- Zhang, L.; Fang, Z.; Tang, Y.; Li, H.; Liu, Q. Characterization of Damage Progress in the Defective Grouted Sleeve Connection Using Combined Acoustic Emission and Ultrasonics. Sensors 2022, 22, 8579. [Google Scholar] [PubMed]
- Liu, Q.; Lin, Y.; Li, J.; Yang, C.; Chen, J.; Zhang, M.; Liu, B. Bond Strength Prediction Model of Defective Grout Materials in Half-Grouted Sleeve Connections under Uniaxial and Cyclic Loadings. Constr. Build. Mater. 2022, 352, 128981. [Google Scholar]
- Guo, T.; Yang, J.; Wang, W.; Li, C. Experimental Investigation on Connection Performance of Fully-Grouted Sleeve Connectors with Various Grouting Defects. Constr. Build. Mater. 2022, 327, 126981. [Google Scholar]
- Zhang, W.; Wang, J.; Zhang, J.; Cao, Y.; Qin, P.; Yi, W. Experimental Study on Post-Fire Performance of Half Grouted Sleeve Connection with Construction Defect. Constr. Build. Mater. 2020, 244, 118165. [Google Scholar] [CrossRef]
- Liu, J.; Li, D.; Cui, X. Research Status and Future Directions of Defect Detection in Grouted Splice Sleeves: A Review. Constr. Build. Mater. 2023, 402, 133010. [Google Scholar] [CrossRef]
- Li, S.; Liu, X.; Ma, Y.; Zhang, L.; Feng, H. Influence of Grouted Sleeve and Concrete Strength of Fabricated Shear Wall on Acoustic Emission Detection Method for Sleeve Compactness. J. Build. Eng. 2021, 43, 102541. [Google Scholar] [CrossRef]
- Ma, Y.; Li, S.; Wu, Y.; Wang, D.; Liu, M. Acoustic Emission Testing Method for the Sleeve Grouting Compactness of Fabricated Structure. Constr. Build. Mater. 2019, 221, 800–810. [Google Scholar] [CrossRef]
- Yao, F.; Ji, Y.; Tong, W.; Li, H.X.; Liu, G. Sensing Technology Based Quality Control and Warning Systems for Sleeve Grouting of Prefabricated Buildings. Autom. Constr. 2021, 123, 103537. [Google Scholar] [CrossRef]
- El Najjar, J.; Mustapha, S. Understanding the Guided Waves Propagation Behavior in Timber Utility Poles. J. Civ. Struct. Health Monit. 2020, 10, 793–813. [Google Scholar] [CrossRef]
- Zima, B.; Kędra, R. Debonding Size Estimation in Reinforced Concrete Beams Using Guided Wave-Based Method. Sensors 2020, 20, 389. [Google Scholar] [CrossRef]
- Aseem, A.; Ng, C.T. Debonding Detection in Rebar-Reinforced Concrete Structures Using Second Harmonic Generation of Longitudinal Guided Wave. NDT E Int. 2021, 122, 102496. [Google Scholar]
- Li, J.; Lu, Y.; Lee, Y.F. Debonding Detection in Cfrp-Reinforced Steel Structures Using Anti-Symmetrical Guided Waves. Compos. Struct. 2020, 253, 112813. [Google Scholar] [CrossRef]
- Xu, C.-B.; Yang, Z.-B.; Chen, X.-F.; Tian, S.-H.; Xie, Y. A Guided Wave Dispersion Compensation Method Based on Compressed Sensing. Mech. Syst. Signal Process. 2018, 103, 89–104. [Google Scholar] [CrossRef]
- Guan, R.; Lu, Y.; Wang, K.; Su, Z. Fatigue Crack Detection in Pipes with Multiple Mode Nonlinear Guided Waves. Struct. Health Monit. 2019, 18, 180–192. [Google Scholar] [CrossRef]
- Rose, J.L. Ultrasonic Guided Waves in Structural Health Monitoring. Key Eng. Mater. 2004, 270, 14–21. [Google Scholar] [CrossRef]
- Seco, F.; Jiménez, A.R. Modelling the Generation and Propagation of Ultrasonic Signals in Cylindrical Waveguides. In Ultrasonic Waves; Intech Open Access Publisher: Madrid, Spain, 2012; pp. 1–28, (Chapter 1). [Google Scholar]
- Carrión, A.; Genovés, V.; Gosálbez, J.; Miralles, R.; Payá, J. Ultrasonic Signal Modality: A Novel Approach for Concrete Damage Evaluation. Cem. Concr. Res. 2017, 101, 25–32. [Google Scholar] [CrossRef]
- Latif, J.; Shakir, M.Z.; Edwards, N.; Jaszczykowski, M.; Ramzan, N.; Edwards, V. Review on Condition Monitoring Techniques for Water Pipelines. Measurement 2022, 193, 110895. [Google Scholar] [CrossRef]
- Hervin, F.; Fromme, P. Anisotropy Influence on Guided Wave Scattering for Composite Structure Monitoring. Struct. Health Monit. 2023, 22, 2626–2640. [Google Scholar] [CrossRef]
- Abu Bakar, A.H.; Legg, M.; Konings, D.; Alam, F. The Effects of Dispersion on Time-of-Flight Acoustic Velocity Measurements in a Wooden Rod. Ultrasonics 2023, 129, 106912. [Google Scholar] [CrossRef]
- Hannah, A.A.; Agordzo, G.K. A Design of a Low-Pass Fir Filter Using Hamming Window Functions in Matlab. Comput. Eng. Intell. Syst. 2020, 11, 24–30. [Google Scholar]














| Specimen | L1 | L2 | D | d | d1 | d2 | LD | |||
|---|---|---|---|---|---|---|---|---|---|---|
| S_n | 162 | 16 | 46 | 18 | 3 | 2 | (0 | 72 | 144 | 288) |
| Materials Properties | Density (kg/m3) | Young’s Modulus (Gpa) | Poisson’s Ratio |
|---|---|---|---|
| Steel sleeve | 7850 | 210 | 0.3 |
| Steel rebar | 7850 | 210 | 0.3 |
| Grout | 2400 | 30 | 0.2 |
| Velocity (m/ms) | L (0, 1) | L (0, 2) | L (0, 3) | L (0, 4) |
|---|---|---|---|---|
| Structure | 2.72 | 1.78 | 1.71 | 3.01 |
| Structure | 2.72 | 2.09 | 1.62 | 3.27 |
| Structure | 2.93 | 5.23 | - | - |
| Velocity (m/ms) | S1 | S2 | S3 | S4 |
|---|---|---|---|---|
| Defecting length | 0 | 72 | 144 | 288 |
| ToF(us) | 103.27 | 93.97 | 85.37 | 65.77 |
| Velocity (m/ms) | S1 | S2 | S3 | S4 |
|---|---|---|---|---|
| Defecting length | 0 | 72 | 144 | 288 |
| ToF(us) | 89.87 | 83.07 | 70.47 | 62.27 |
Disclaimer/Publisher’s Note: The statements, opinions and data contained in all publications are solely those of the individual author(s) and contributor(s) and not of MDPI and/or the editor(s). MDPI and/or the editor(s) disclaim responsibility for any injury to people or property resulting from any ideas, methods, instructions or products referred to in the content. |
© 2023 by the authors. Licensee MDPI, Basel, Switzerland. This article is an open access article distributed under the terms and conditions of the Creative Commons Attribution (CC BY) license (https://creativecommons.org/licenses/by/4.0/).
Share and Cite
Liu, J.; Li, D.; Cui, X. Debonding Detection in Grouted Sleeves Using Axisymmetric Longitudinal Guided Waves. Sensors 2023, 23, 9134. https://doi.org/10.3390/s23229134
Liu J, Li D, Cui X. Debonding Detection in Grouted Sleeves Using Axisymmetric Longitudinal Guided Waves. Sensors. 2023; 23(22):9134. https://doi.org/10.3390/s23229134
Chicago/Turabian StyleLiu, Jiahe, Dongsheng Li, and Xiushi Cui. 2023. "Debonding Detection in Grouted Sleeves Using Axisymmetric Longitudinal Guided Waves" Sensors 23, no. 22: 9134. https://doi.org/10.3390/s23229134
APA StyleLiu, J., Li, D., & Cui, X. (2023). Debonding Detection in Grouted Sleeves Using Axisymmetric Longitudinal Guided Waves. Sensors, 23(22), 9134. https://doi.org/10.3390/s23229134
