Three-Dimensional Segmentation Assisted with Clustering Analysis for Surface and Volume Measurements of Equine Incisor in Multidetector Computed Tomography Data Sets
Abstract
:1. Introduction
2. Materials and Methods
2.1. Animals and Study Design
2.2. CT Image Acquisition
2.3. CT Images Segmentation
2.4. Data Analysis
3. Results
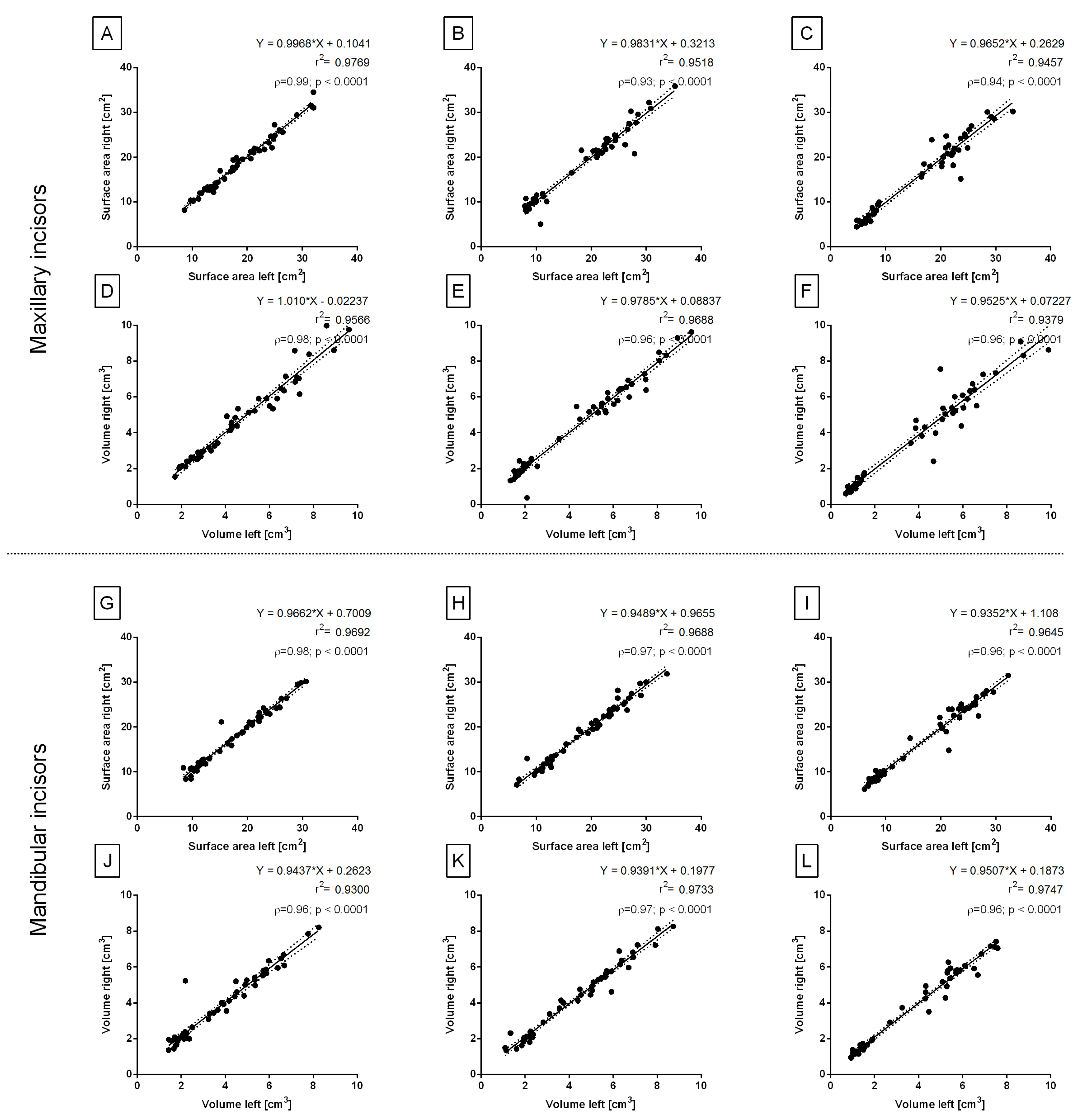
3.1. Axial Symmetry of the Incisors
3.2. The Eruption-Related Differences in Incisors’ Volumetric Features
3.3. The Location-Related and Age-Related Differences in Incisors’ Volumetric Features
3.4. The EOTRH-Degree Differences in the Incisors’ Volumetric Features
4. Discussion
4.1. The Eruption-Related Differences in the Incisors’ Volumetric Features
4.2. The Location-Related and Age-Related Differences in the Incisors’ Volumetric Features
4.3. The EOTRH Degree-Related Differences in the Incisors’ Volumetric Features
4.4. Limitations
4.5. Further Directions
5. Conclusions
Author Contributions
Funding
Institutional Review Board Statement
Informed Consent Statement
Data Availability Statement
Conflicts of Interest
References
- Jinga, M.R.; Lee, R.B.; Chan, K.L.; Marway, P.S.; Nandapalan, K.; Rhode, K.; Kui, C.; Lee, M. Assessing the impact of 3D image segmentation workshops on anatomical education and image interpretation: A prospective pilot study. Anat. Sci. Educ. 2023, 16, 1024–1032. [Google Scholar] [CrossRef] [PubMed]
- Kim, E.; Fischetti, A.J.; Sreetharan, P.; Weltman, J.G.; Fox, P.R. Comparison of artificial intelligence to the veterinary radiologist’s diagnosis of canine cardiogenic pulmonary edema. Vet. Radiol. Ultrasound 2022, 63, 292–297. [Google Scholar] [CrossRef] [PubMed]
- Mandolini, M.; Brunzini, A.; Facco, G.; Mazzoli, A.; Forcellese, A.; Gigante, A. Comparison of three 3D segmentation software tools for hip surgical planning. Sensors 2022, 22, 5242. [Google Scholar] [CrossRef] [PubMed]
- Biedrzycki, A.H.; Morton, A.J.; Perez-Jimenez, E.E.; Elane, G.L.; Roe, H.A.; Trolinger-Meadows, K.D. Three-dimensional printed surgical guides for keratoma removal in horses using computed tomography or magnetic resonance imaging-based segmentation. Vet. Surg. 2022, 51, O43–O52. [Google Scholar] [CrossRef]
- Kau, S.; Failing, K.; Staszyk, C. Computed tomography (CT)-assisted 3D cephalometry in horses: Interincisal angulation of clinical crowns. Front. Vet. Sci. 2020, 7, 434. [Google Scholar] [CrossRef]
- Listmann, L.; Schrock, P.; Failing, K.; Staszyk, C. Occlusal angles of equine incisors. J. Vet. Dent. 2017, 34, 259–267. [Google Scholar] [CrossRef]
- Herren, F.L.; Gerber, V.; Meier, R.; Schweizer-Gorgas, D.; Klopfenstein Bregger, M.D. Semi-Automatic Segmentation of Cone Beam Computed Tomography Datasets for Volume Measurements of Equine Cheek Teeth. J. Vet. Dent. 2022, 39, 41–48. [Google Scholar] [CrossRef]
- Kozłowska, N.; Wierzbicka, M.; Jasiński, T.; Domino, M. Advances in the Diagnosis of Equine Respiratory Diseases: A Review of Novel Imaging and Functional Techniques. Animals 2022, 12, 381. [Google Scholar] [CrossRef]
- Fenner, M.; Verwilghen, D.; Townsend, N.; Simhofer, H.; Schwarzer, J.; Zani, D.; Bienert-Zeit, A. Paranasal sinus cysts in the horse: Complications related to their presence and surgical treatment in 37 cases. Equine Vet. J. 2019, 51, 57–63. [Google Scholar] [CrossRef]
- Dixon, P.M.; Barnett, T.P.; Morgan, R.E.; Reardon, R.J. Computed tomographic assessment of individual paranasal sinus compartment and nasal conchal bulla involvement in 300 cases of equine sinonasal disease. Front. Vet. Sci. 2020, 7, 580356. [Google Scholar] [CrossRef]
- Casey, M.; Pearson, G.; Perkins, J.; Tremaine, W. Gross, computed tomographic and histological findings in mandibular cheek teeth extracted from horses with clinical signs of pulpitis due to apical infection. Equine Vet. J. 2015, 47, 557–567. [Google Scholar] [CrossRef]
- Horbal, A.; Smith, S.; Dixon, P.M. A computed tomographic (CT) and pathological study of equine cheek teeth infundibulae extracted from asymptomatic horses. Part 1: Prevalence, type and location of infundibular lesions on CT imaging. Front. Vet. Sci. 2019, 6, 124. [Google Scholar] [CrossRef] [PubMed]
- Henninger, W.; Mairi Frame, E.; Willmann, M.; Simhofer, H.; Malleczek, D.; Kneissl, S.M.; Mayrhofer, E. CT features of alveolitis and sinusitis in horses. Vet. Radiol. Ultrasound 2003, 44, 269–276. [Google Scholar] [CrossRef] [PubMed]
- Selberg, K.; Easley, J.T. Advanced imaging in equine dental disease. Vet. Clin. Equine Pract. 2013, 29, 397–409. [Google Scholar] [CrossRef] [PubMed]
- Manso-Díaz, G.; García-López, J.; Maranda, L.; Taeymans, O. The role of head computed tomography in equine practice. Equine Vet. Educ. 2015, 27, 136–145. [Google Scholar] [CrossRef]
- Stieger-Vanegas, S.M.; Hanna, A.L. The role of computed tomography in imaging non-neurologic disorders of the head in equine patients. Front. Vet. Sci. 2022, 9, 798216. [Google Scholar] [CrossRef]
- Dixon, P.; Tremaine, W.; Pickles, K.; Kuhns, L.; Hawe, C.; McCann, J.; McGorum, B.; Railton, D.; Brammer, S. Equine dental disease part 1: A long-term study of 400 cases: Disorders of incisor, canine and first premolar teeth. Equine Vet. J. 1999, 31, 369–377. [Google Scholar] [CrossRef]
- Dixon, P.; Tremaine, W.; Pickles, K.; Kuhns, L.; Hawe, C.; Mccann, J.; McGorum, B.; Railton, D.; Brammer, S. Equine dental disease Part 3: A long-term study of 400 cases: Disorders of wear, traumatic damage and idiopathic fractures, tumours and miscellaneous disorders of the cheek teeth. Equine Vet. J. 2000, 32, 9–18. [Google Scholar] [CrossRef]
- Staszyk, C.; Bienert, A.; Kreutzer, R.; Wohlsein, P.; Simhofer, H. Equine odontoclastic tooth resorption and hypercementosis. Vet. J. 2008, 178, 372–379. [Google Scholar] [CrossRef]
- Górski, K.; Stefanik, E.; Turek, B.; Bereznowski, A.; Czopowicz, M.; Polkowska, I.; Domino, M. Malocclusions and Dental Diseases in Privately Owned Horses in the Mazovia Region of Poland. Animals 2022, 12, 3120. [Google Scholar] [CrossRef]
- Dixon, P.M.; Kennedy, R.; Reardon, R.J. Equine “idiopathic” and infundibular caries-related cheek teeth fractures: A long-term study of 486 fractured teeth in 300 horses. Front. Vet. Sci. 2021, 8, 646870. [Google Scholar] [CrossRef] [PubMed]
- Liuti, T.; Smith, S.; Dixon, P. Radiographic, computed tomographic, gross pathological and histological findings with suspected apical infection in 32 equine maxillary cheek teeth (2012–2015). Equine Vet. J. 2018, 50, 41–47. [Google Scholar] [CrossRef] [PubMed]
- Earley, E.; Rawlinson, J.T. A new understanding of oral and dental disorders of the equine incisor and canine teeth. Vet. Clin. Equine Pract. 2013, 29, 273–300. [Google Scholar] [CrossRef] [PubMed]
- Staszyk, C.; Suske, A.; Pöschke, A. Equine dental and periodontal anatomy: A tutorial review. Equine Vet. Educ. 2015, 27, 474–481. [Google Scholar] [CrossRef]
- DeLorey, M.S. A retrospective evaluation of 204 diagonal incisor malocclusion corrections in the horse. J. Vet. Dent. 2007, 24, 145–149. [Google Scholar] [CrossRef]
- Loch, W.E.; Bradley, M. Determining Age of Horses by Their Teeth. 1998. Available online: https://mospace.umsystem.edu/xmlui/bitstream/handle/10355/4028/DeterminingAgeHorsesByTeeth.pdf?sequence=3&isAllowed=y (accessed on 1 September 2023).
- Muylle, S.; Simoens, P.; Lauwers, H. Age-related morphometry of equine incisors. J. Vet. Med. Ser. A 1999, 46, 633–643. [Google Scholar] [CrossRef]
- Brounts, S.H.; Henry, T.; Lund, J.R.; Whitton, R.C.; Ergun, D.L.; Muir, P. Use of a novel helical fan beam imaging system for computed tomography of the head and neck in sedated standing horses: 120 cases (2019–2020). J. Am. Vet. Med Assoc. 2022, 260, 1361–1368. [Google Scholar] [CrossRef]
- Górski, K.; Borowska, M.; Stefanik, E.; Polkowska, I.; Turek, B.; Bereznowski, A.; Domino, M. Application of Two-Dimensional Entropy Measures to Detect the Radiographic Signs of Tooth Resorption and Hypercementosis in an Equine Model. Biomedicines 2022, 10, 2914. [Google Scholar] [CrossRef]
- Floyd, M.R. The modified Triadan system: Nomenclature for veterinary dentistry. J. Vet. Dent. 1991, 8, 18–19. [Google Scholar] [CrossRef]
- Hüls, I.; Bienert, A.; Staszyk, C. Equine odontoclastic tooth resorption and hyper-cementosis (EOTRH): Röntgenologische und makroskopisch-anatomische Befunde. In Proceedings of the 10 Jahrestagung der Internationalen Gesellschaft zur Funktionsverbesserung der Pferdezähne, Wiesbaden, Germany, 3–4 March 2012; Internationale Gesellschaft zur Funktionsverbesserung der Pferdezähne: Mühltal, Germany, 2012. [Google Scholar]
- Rehrl, S.; Schröder, W.; Müller, C.; Staszyk, C.; Lischer, C. Radiological prevalence of equine odontoclastic tooth resorption and hypercementosis. Equine Vet. J. 2018, 50, 481–487. [Google Scholar] [CrossRef]
- Górski, K.; Borowska, M.; Stefanik, E.; Polkowska, I.; Turek, B.; Bereznowski, A.; Domino, M. Selection of Filtering and Image Texture Analysis in the Radiographic Images Processing of Horses’ Incisor Teeth Affected by the EOTRH Syndrome. Sensors 2022, 22, 2920. [Google Scholar] [CrossRef] [PubMed]
- Górski, K.; Borowska, M.; Turek, B.; Pawlikowski, M.; Jankowski, K.; Bereznowski, A.; Polkowska, I.; Domino, M. An application of the density standard and scaled–pixel–counting protocol to assess the radiodensity of equine incisor teeth affected by resorption and hypercementosis: Preliminary advancement in dental radiography. BMC Vet. Res. 2023, 19, 116. [Google Scholar] [CrossRef] [PubMed]
- Brigham, W.H. 3D Slicer Image Computing Platform; v4.10; 3D Slicer: Boston, MA, USA, 2019. [Google Scholar]
- Lo Giudice, A.; Ronsivalle, V.; Grippaudo, C.; Lucchese, A.; Muraglie, S.; Lagravère, M.O.; Isola, G. One step before 3D printing—Evaluation of imaging software accuracy for 3-dimensional analysis of the mandible: A comparative study using a surface-to-surface matching technique. Materials 2020, 13, 2798. [Google Scholar] [CrossRef] [PubMed]
- Schrock, P.; Lüpke, M.; Seifert, H.; Staszyk, C. Three-dimensional anatomy of equine incisors: Tooth length, enamel cover and age related changes. BMC Vet. Res. 2013, 9, 249. [Google Scholar] [CrossRef]
- Henry, T.; Puchalski, S.; Arzi, B.; Kass, P.; Verstraete, F. Radiographic evaluation in clinical practice of the types and stage of incisor tooth resorption and hypercementosis in horses. Equine Vet. J. 2017, 49, 486–492. [Google Scholar] [CrossRef]
- Lorello, O.; Foster, D.; Levine, D.; Boyle, A.; Engiles, J.; Orsini, J. Clinical treatment and prognosis of equine odontoclastic tooth resorption and hypercementosis. Equine Vet. J. 2016, 48, 188–194. [Google Scholar] [CrossRef]
- Schrock, P.; Lüpke, M.; Seifert, H.; Staszyk, C. Finite element analysis of equine incisor teeth. Part 2: Investigation of stresses and strain energy densities in the periodontal ligament and surrounding bone during tooth movement. Vet. J. 2013, 198, 590–598. [Google Scholar] [CrossRef]
- Ghazal, T.M. Performances of K-means clustering algorithm with different distance metrics. Intell. Autom. Soft Comput. 2021, 30, 735–742. [Google Scholar] [CrossRef]
- Eelbode, T.; Bertels, J.; Berman, M.; Vandermeulen, D.; Maes, F.; Bisschops, R.; Blaschko, M.B. Optimization for medical image segmentation: Theory and practice when evaluating with dice score or jaccard index. IEEE Trans. Med. Imaging 2020, 39, 3679–3690. [Google Scholar] [CrossRef]
- Belém, M.D.F.; Ambrosano, G.M.B.; Tabchoury, C.P.M.; Ferreira-Santos, R.I.; Haiter-Neto, F. Performance of digital radiography with enhancement filters for the diagnosis of proximal caries. Braz. Oral Res. 2013, 27, 245–251. [Google Scholar] [CrossRef]
- Geetha, V.; Aprameya, K. Textural analysis based classification of digital X-ray images for dental caries diagnosis. Int. J. Eng. Manuf. (IJEM) 2019, 9, 44–45. [Google Scholar]
- Martelli, N.; Serrano, C.; van den Brink, H.; Pineau, J.; Prognon, P.; Borget, I.; El Batti, S. Advantages and disadvantages of 3-dimensional printing in surgery: A systematic review. Surgery 2016, 159, 1485–1500. [Google Scholar] [CrossRef] [PubMed]
- Chae, M.P.; Chung, R.D.; Smith, J.A.; Hunter-Smith, D.J.; Rozen, W.M. The accuracy of clinical 3D printing in reconstructive surgery: Literature review and in vivo validation study. Gland Surg. 2021, 10, 2293. [Google Scholar] [CrossRef] [PubMed]











| Incisors | Maxilla | Mandible |
|---|---|---|
| Temporary | ||
| Center | 34 () | 34 () |
| Intermediate | 36 () | 38 () |
| Corner | 38 () | 40 () |
| Permanent | ||
| Center | 62 () | 64 () |
| Intermediate | 60 () | 60 () |
| Corner | 58 () | 58 () |
| Total | 288 | 294 |
| Incisors | Maxilla | Mandible | ||||||||
|---|---|---|---|---|---|---|---|---|---|---|
| Metrics | n | Recall | Precision | F1 | Accuracy | n | Recall | Precision | F1 | Accuracy |
| Center | ||||||||||
| Temporary | 34 | 1.00 | 0.60 | 0.75 | 0.76 | 34 | 1.00 | 0.72 | 0.84 | 0.87 |
| Permanent | 62 | 0.63 | 1.00 | 0.77 | 64 | 0.80 | 1.00 | 0.89 | ||
| Intermediate | ||||||||||
| Temporary | 36 | 1.00 | 0.64 | 0.78 | 0.79 | 38 | 1.00 | 0.83 | 0.90 | 0.92 |
| Permanent | 60 | 0.67 | 1.00 | 0.80 | 60 | 0.87 | 1.00 | 0.93 | ||
| Corner | ||||||||||
| Temporary | 38 | 1.00 | 0.68 | 0.81 | 0.81 | 40 | 1.00 | 0.74 | 0.85 | 0.86 |
| Permanent | 58 | 0.69 | 1.00 | 0.82 | 58 | 0.76 | 1.00 | 0.86 |
| Incisors | Maxilla | Mandible | ||||||||
|---|---|---|---|---|---|---|---|---|---|---|
| Metrics | n | Recall | Precision | F1 | Accuracy | n | Recall | Precision | F1 | Accuracy |
| Temporary | ||||||||||
| Center | 34 | 0.71 | 1.00 | 0.83 | 0.86 | 34 | 1.00 | 0.92 | 0.96 | 0.93 |
| Intermediate | 36 | 1.00 | 0.71 | 0.83 | 38 | 0.92 | 0.88 | 0.90 | ||
| Corner | 38 | 0.87 | 1.00 | 0.93 | 40 | 0.88 | 1.00 | 0.93 | ||
| Permanent | ||||||||||
| Center | 62 | 1.00 | 0.61 | 0.76 | 0.69 | 64 | 0.73 | 1.00 | 0.85 | 0.76 |
| Intermediate | 60 | 0.33 | 0.56 | 0.42 | 60 | 1.00 | 0.58 | 0.74 | ||
| Corner | 58 | 1.00 | 0.72 | 0.84 | 58 | 0.55 | 1.00 | 0.71 |
| Incisors | Maxilla | Mandible | ||||||||
|---|---|---|---|---|---|---|---|---|---|---|
| Metrics | n | Recall | Precision | F1 | Accuracy | n | Recall | Precision | F1 | Accuracy |
| Center | ||||||||||
| EOTRH 0 | 25 | 0.32 | 1.00 | 0.48 | 0.34 | 29 | 0.66 | 1.00 | 0.79 | 0.80 |
| EOTRH 1 | 19 | 0.58 | 0.39 | 0.47 | 21 | 0.95 | 0.67 | 0.78 | ||
| EOTRH 2 | 16 | 0.00 | 0.00 | 0.00 | 12 | 0.83 | 0.91 | 0.87 | ||
| EOTRH 3 | 2 | 1.00 | 0.11 | 0.19 | 2 | 1.00 | 0.50 | 0.67 | ||
| Intermediate | ||||||||||
| EOTRH 0 | 14 | 0.57 | 1.00 | 0.73 | 0.57 | 23 | 1.00 | 0.96 | 0.98 | 0.72 |
| EOTRH 1 | 27 | 0.85 | 0.79 | 0.82 | 18 | 0.89 | 1.00 | 0.94 | ||
| EOTRH 2 | 16 | 0.00 | 0.00 | 0.00 | 16 | 0.06 | 0.50 | 0.11 | ||
| EOTRH 3 | 3 | 1.00 | 0.14 | 0.25 | 3 | 1.00 | 0.17 | 0.29 | ||
| Corner | ||||||||||
| EOTRH 0 | 10 | 1.00 | 0.36 | 0.53 | 0.33 | 11 | 1.00 | 0.73 | 0.85 | 0.72 |
| EOTRH 1 | 12 | 0.00 | 0.00 | 0.00 | 11 | 0.64 | 0.54 | 0.58 | ||
| EOTRH 2 | 16 | 0.00 | 0.00 | 0.00 | 14 | 0.14 | 1.00 | 0.25 | ||
| EOTRH 3 | 20 | 0.45 | 1.00 | 0.62 | 22 | 1.00 | 0.79 | 0.88 | ||
| All | ||||||||||
| EOTRH 0 | 49 | 1.00 | 0.54 | 0.70 | 0.47 | 63 | 0.78 | 1.00 | 0.88 | 0.74 |
| EOTRH 1 | 58 | 0.28 | 0.32 | 0.30 | 50 | 1.00 | 0.61 | 0.76 | ||
| EOTRH 2 | 48 | 0.29 | 0.42 | 0.35 | 42 | 0.19 | 1.00 | 0.32 | ||
| EOTRH 3 | 25 | 0.24 | 1.00 | 0.39 | 27 | 1.00 | 0.63 | 0.77 | ||
| Total | ||||||||||
| EOTRH 0 | 112 | 0.14 | 1.00 | 0.25 | 0.54 | |||||
| EOTRH 1 | 108 | 0.77 | 0.46 | 0.58 | ||||||
| EOTRH 2 | 90 | 0.49 | 0.64 | 0.55 | ||||||
| EOTRH 3 | 52 | 1.00 | 0.53 | 0.69 |
Disclaimer/Publisher’s Note: The statements, opinions and data contained in all publications are solely those of the individual author(s) and contributor(s) and not of MDPI and/or the editor(s). MDPI and/or the editor(s) disclaim responsibility for any injury to people or property resulting from any ideas, methods, instructions or products referred to in the content. |
© 2023 by the authors. Licensee MDPI, Basel, Switzerland. This article is an open access article distributed under the terms and conditions of the Creative Commons Attribution (CC BY) license (https://creativecommons.org/licenses/by/4.0/).
Share and Cite
Borowska, M.; Jasiński, T.; Gierasimiuk, S.; Pauk, J.; Turek, B.; Górski, K.; Domino, M. Three-Dimensional Segmentation Assisted with Clustering Analysis for Surface and Volume Measurements of Equine Incisor in Multidetector Computed Tomography Data Sets. Sensors 2023, 23, 8940. https://doi.org/10.3390/s23218940
Borowska M, Jasiński T, Gierasimiuk S, Pauk J, Turek B, Górski K, Domino M. Three-Dimensional Segmentation Assisted with Clustering Analysis for Surface and Volume Measurements of Equine Incisor in Multidetector Computed Tomography Data Sets. Sensors. 2023; 23(21):8940. https://doi.org/10.3390/s23218940
Chicago/Turabian StyleBorowska, Marta, Tomasz Jasiński, Sylwia Gierasimiuk, Jolanta Pauk, Bernard Turek, Kamil Górski, and Małgorzata Domino. 2023. "Three-Dimensional Segmentation Assisted with Clustering Analysis for Surface and Volume Measurements of Equine Incisor in Multidetector Computed Tomography Data Sets" Sensors 23, no. 21: 8940. https://doi.org/10.3390/s23218940
APA StyleBorowska, M., Jasiński, T., Gierasimiuk, S., Pauk, J., Turek, B., Górski, K., & Domino, M. (2023). Three-Dimensional Segmentation Assisted with Clustering Analysis for Surface and Volume Measurements of Equine Incisor in Multidetector Computed Tomography Data Sets. Sensors, 23(21), 8940. https://doi.org/10.3390/s23218940

