Quantification of the Risk of Musculoskeletal Disorders of the Upper Limb Using Fuzzy Logic: A Study of Manual Wheelchair Propulsion
Abstract
:1. Introduction
2. Materials and Methods
2.1. Participants
2.2. Protocol
2.2.1. Clinical Assessment
2.2.2. Laboratory Assessment
2.3. The Articular Discomfort Index
2.4. Statistical Analysis
3. Results
3.1. Spatiotemporal Propulsion Parameters
3.1.1. Propulsion Phases
3.1.2. Push Angle
3.1.3. Propulsion Pattern
3.1.4. Trunk Kinematics
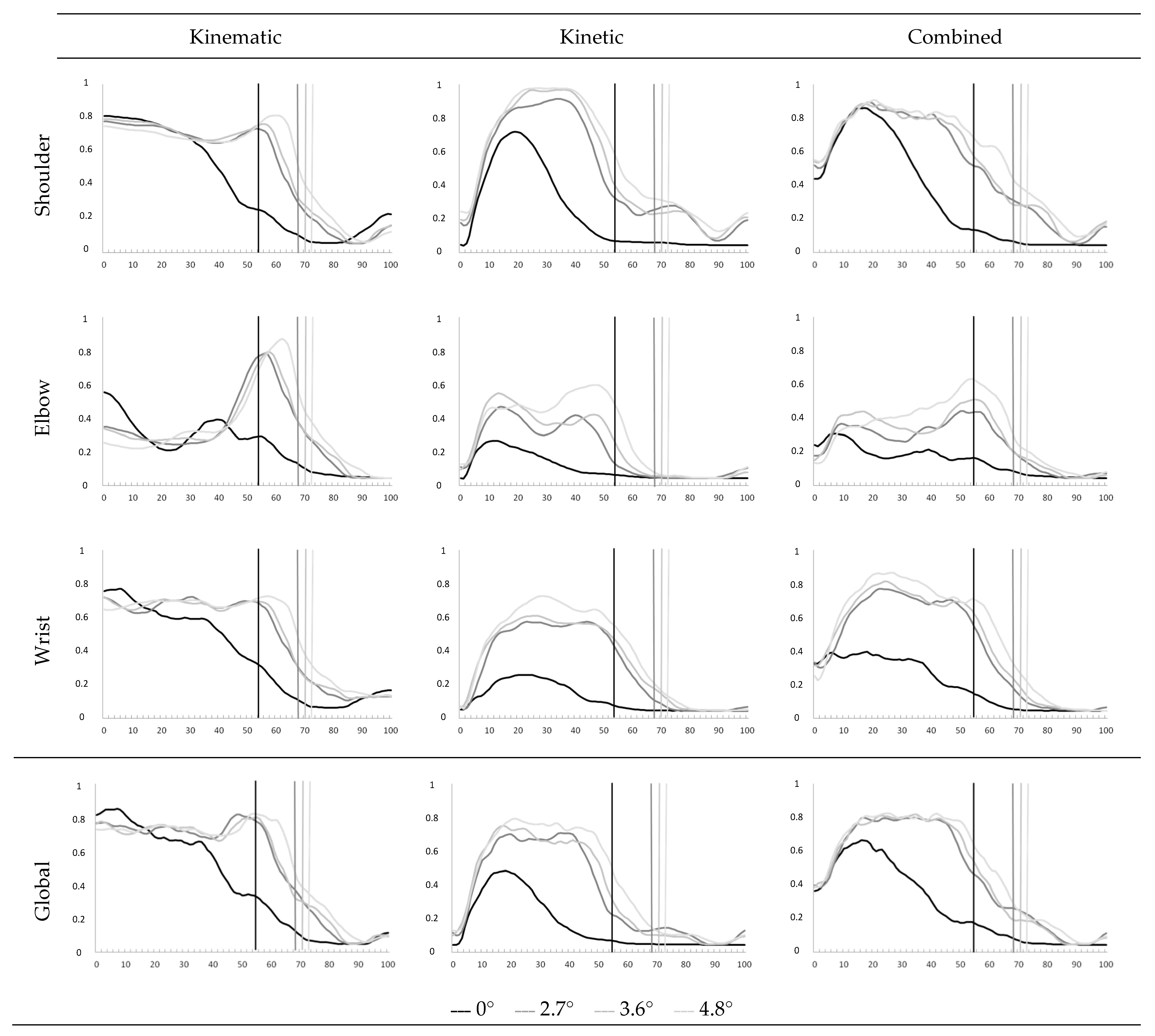
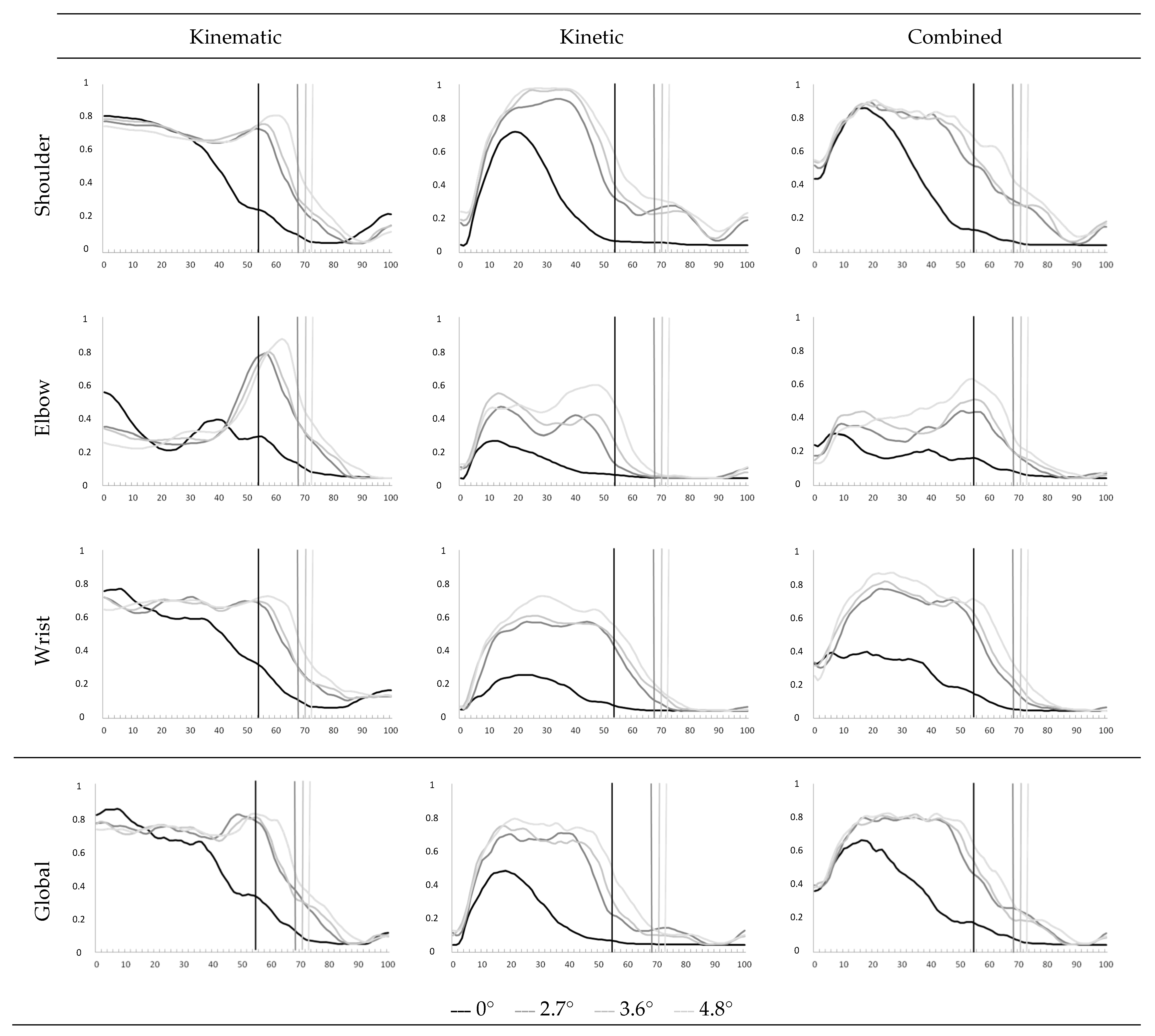
3.2. MD Analysis
3.2.1. Global Articular Discomfort Index
3.2.2. Focused Articular Discomfort Index
- Shoulder:
- Elbow:
- Wrist:
- Recovery Phase
4. Discussion
5. Conclusions
Author Contributions
Funding
Institutional Review Board Statement
Informed Consent Statement
Data Availability Statement
Acknowledgments
Conflicts of Interest
References
- Buckle, P.W.; Devereux, J.J. The nature of work-related neck and upper limb musculoskeletal disorders. Appl. Ergon. 2002, 33, 207–217. [Google Scholar] [CrossRef] [PubMed]
- Aptel, M.; Aublet-Cuvelier, A.; Cnockaert, J.C. Work-related musculoskeletal disorders of the upper limb. Jt. Bone Spine 2002, 69, 546–555. [Google Scholar] [CrossRef] [PubMed]
- Bernard, B.P.; Putz-Anderson, V.; Burt, S.E.; Cole, L.L.; Fairfield-Estill, C.; Fine, L.J.; Grant, C.; Gjessing, K.A.; Jenkins, L.; Hurrell, J.J.; et al. Musculoskeletal Disorders and Workplace Factors: A Critical Review of Epidemiologic Evidence for Work-Related Musculoskeletal Disorders of the Neck, Upper Extremity, and Low Back. 1997. Available online: https://stacks.cdc.gov/view/cdc/21745 (accessed on 19 July 2023).
- World Health Organization. International Classification of Functioning, Disability and Health: ICF; WHO: Geneva, Switzerland, 2001. [Google Scholar]
- Lilja, M.; Borell, L. Elderly people’s daily activities and need for mobility support. Scand. J. Caring Sci. 1997, 11, 73–80. [Google Scholar] [CrossRef]
- Smith, R.O. Measuring the outcomes of assistive technology: Challenge and innovation. Assist. Technol. 1996, 8, 71–81. [Google Scholar] [CrossRef] [PubMed]
- Vignier, N.; Ravaud, J.F.; Winance, M.; Lepoutre, F.X.; Ville, I. Demographics of wheelchair users in France: Results of national community-based handicaps-incapacités-dépendance surveys. J. Rehabil. Med. 2008, 40, 231–239. [Google Scholar] [CrossRef] [PubMed]
- Sanford, J.A.; Story, M.F.; Jones, M.L. An analysis of the effects of ramp slope on people with mobility impairments. Assist. Technol. 1997, 9, 22–33. [Google Scholar] [CrossRef]
- Sweeney, G.M.; Harrison, R.A.; Clarke, A.K. Portable ramps for wheelchair users—An appraisal. Int. Disabil. Stud. 1989, 11, 68–70. [Google Scholar] [CrossRef]
- Paralyzed Veterans of America Consortium for Spinal Cord Medicine. Preservation of upper limb function following spinal cord injury: A clinical practice guideline for health-care professionals. J. Spinal Cord. Med. 2005, 28, 434–470. [Google Scholar] [CrossRef]
- Boninger, M.L.; Impink, B.G.; Cooper, R.A.; Koontz, A.M. Relation between median and ulnar nerve function and wrist kinematics during wheelchair propulsion. Arch. Phys. Med. Rehabil. 2004, 85, 1141–1145. [Google Scholar] [CrossRef]
- Arabi, H.; Aissaoui, R.; Rousseau, J.; Bourbonnais, D.; Dansereau, J. Evaluation of minimal mechanical effort during the ramp access of manual wheelchair. Ergon. IJEHF 2004, 26, 253–259. [Google Scholar]
- Richter, W.M.; Rodriguez, R.; Woods, K.R.; Axelson, P.W. Stroke pattern and handrim biomechanics for level and uphill wheelchair propulsion at self-selected speeds. Arch. Phys. Med. Rehabil. 2007, 88, 81–87. [Google Scholar] [CrossRef] [PubMed]
- Yang, Y.S.; Koontz, A.M.; Yeh, S.J.; Chang, J.J. Effect of backrest height on wheelchair propulsion biomechanics for level and uphill conditions. Arch. Phys. Med. Rehabil. 2012, 93, 654–659. [Google Scholar] [CrossRef] [PubMed]
- Sabick, M.B.; Kotajarvi, B.R.; An, K.N. A new method to quantify demand on the upper extremity during manual wheelchair propulsion. Arch. Phys. Med. Rehabil. 2004, 85, 1151–1159. [Google Scholar] [CrossRef] [PubMed]
- Desroches, G.; Dumas, R.; Pradon, D.; Vaslin, P.; Lepoutre, F.X.; Chèze, L. Upper limb joint dynamics during manual wheelchair propulsion. Clin. Biomech. 2010, 25, 299–306. [Google Scholar] [CrossRef]
- Boninger, M.L.; Koontz, A.M.; Sisto, S.A.; Dyson-Hudson, T.A.; Chang, M.; Price, R.; Cooper, R.A. Pushrim biomechanics and injury prevention in spinal cord injury: Recommendations based on CULP-SCI investigations. J. Rehabil. Res. Dev. 2005, 42 (Suppl. 1), 9–19. [Google Scholar] [CrossRef]
- Putz-Anderson, V. Cumulative Trauma Disorders. A Manual for Musculoskeletal Diseases of the Upper-Limbs, 1st ed.; CRC Press: London, UK, 1988; p. 168. [Google Scholar] [CrossRef]
- Curtis, K.A.; Roach, K.E.; Applegate, E.B.; Amar, T.; Benbow, C.S.; Genecco, T.D.; Gualano, J. Development of the Wheelchair User’s Shoulder Pain Index (WUSPI). Paraplegia 1995, 33, 290–293. [Google Scholar] [CrossRef]
- Wu, G.; van der Helm, F.C.; Veeger, H.E.; Makhsous, M.; Van Roy, P.; Anglin, C.; Nagels, J.; Karduna, A.R.; McQuade, K.; Wang, X.; et al. International Society of Biomechanics. ISB recommendation on definitions of joint coordinate systems of various joints for the reporting of human joint motion—Part II: Shoulder, elbow, wrist and hand. J. Biomech. 2005, 38, 981–992. [Google Scholar] [CrossRef]
- Asato, K.T.; Cooper, R.A.; Robertson, R.N.; Ster, J.F. SMARTWheels: Development and testing of a system for measuring manual wheelchair propulsion dynamics. IEEE Trans. Biomed. Eng. 1993, 40, 1320–1324. [Google Scholar] [CrossRef]
- Qi, L.; Wakeling, J.; Grange, S.; Ferguson-Pell, M. Changes in surface electromyography signals and kinetics associated with progression of fatigue at two speeds during wheelchair propulsion. J. Rehabil. Res. Dev. 2012, 49, 23–34. [Google Scholar] [CrossRef]
- Dumas, R.; Aissaoui, R.; de Guise, J.A. A 3D generic inverse dynamic method using wrench notation and quaternion algebra. Comput. Methods Biomech. Biomed. Eng. 2004, 7, 159–166. [Google Scholar] [CrossRef]
- Desroches, G.; Chèze, L.; Dumas, R. Expression of joint moment in the joint coordinate system. J. Biomech. Eng. 2010, 132, 114503. [Google Scholar] [CrossRef] [PubMed]
- Zacher, I.; Bubb, H. Strength Based Discomfort Model of Posture and Movement. In Proceedings of the Digital Human Modeling for Design and Engineering Symposium Proceedings, Oakland University, Rochester, NY, USA, 15–17 June 2004. [Google Scholar] [CrossRef]
- International Organization for Standardization. ISO 11228-3:2007 (en) Ergonomics—Manual Handling—Part 3: Handling of Low Loads at High Frequency. 2007. Available online: https://www.iso.org/obp/ui/fr/#iso:std:iso:11228:-3:ed-1:v2:en (accessed on 19 July 2023).
- AFNOR. NF EN 1005-4+A1: Safety of Machinery—Human Physical Performance—Part 4: Evaluation of Working Postures and Movements in Relation to Machinery. 2008. Available online: https://www.boutique.afnor.org/fr-fr/norme/nf-en-10054-a1/securite-des-machines-performance-physique-humaine-partie-4-evaluation-des-/fa160745/32230#AreasStoreProductsSummaryView (accessed on 19 July 2023).
- Byström, S.E.; Kilbom, A. Physiological response in the forearm during and after isometric intermittent handgrip. Eur. J. Appl. Physiol. Occup. Physiol. 1990, 60, 457–466. [Google Scholar] [CrossRef]
- Rao, S.S.; Bontrager, E.L.; Gronley, J.K.; Newsam, C.J.; Perry, J. Three-dimensional kinematics of wheelchair propulsion. IEEE Trans. Rehabil. Eng. 1996, 4, 152–160. [Google Scholar] [CrossRef] [PubMed]
- Shimada, S.D.; Robertson, R.N.; Bonninger, M.L.; Cooper, R.A. Kinematic characterization of wheelchair propulsion. J. Rehabil. Res. Dev. 1998, 35, 210–218. [Google Scholar]
- Newsam, C.J.; Rao, S.S.; Mulroy, S.J.; Gronley, J.K.; Bontrager, E.L.; Perry, J. Three dimensional upper extremity motion during manual wheelchair propulsion in men with different levels of spinal cord injury. Gait Posture. 1999, 10, 223–232. [Google Scholar] [CrossRef]
- Koontz, A.M.; Cooper, R.A.; Boninger, M.L.; Souza, A.L.; Fay, B.T. Shoulder kinematics and kinetics during two speeds of wheelchair propulsion. J. Rehabil. Res. Dev. 2002, 39, 635–649. [Google Scholar]
- Veeger, H.E.; Rozendaal, L.A.; van der Helm, F.C. Load on the shoulder in low intensity wheelchair propulsion. Clin. Biomech. 2002, 17, 211–218. [Google Scholar] [CrossRef]
- Mukhopadhyay, P.; O’Sullivan, L.; Gallwey, T. Estimating upper limb discomfort level due to intermittent isometric pronation torque with various combinations of elbow angles, forearm rotation angles, force and frequency with upper arm at 90° abduction. Int. J. Ind. Ergon. 2007, 37, 313–325. [Google Scholar] [CrossRef]
- Rushton, P.W.; Miller, W.C.; Lee Kirby, R.; Eng, J.J.; Yip, J. Development and content validation of the Wheelchair Use Confidence Scale: A mixed-methods study. Disabil. Rehabil. Assist. Technol. 2011, 6, 57–66. [Google Scholar] [CrossRef]
- Curtis, K.A.; Drysdale, G.A.; Lanza, R.D.; Kolber, M.; Vitolo, R.S.; West, R. Shoulder pain in wheelchair users with tetraplegia and paraplegia. Arch. Phys. Med. Rehabil. 1999, 80, 453–457. [Google Scholar] [CrossRef]
- McCasland, L.D.; Budiman-Mak, E.; Weaver, F.M.; Adams, E.; Miskevics, S. Shoulder pain in the traumatically injured spinal cord patient: Evaluation of risk factors and function. J. Clin. Rheumatol. 2006, 12, 179–186. [Google Scholar] [CrossRef] [PubMed]
- van Drongelen, S.; Van der Woude, L.H.; Janssen, T.W.; Angenot, E.L.; Chadwick, E.K.; Veeger, D.H. Mechanical load on the upper extremity during wheelchair activities. Arch. Phys. Med. Rehabil. 2005, 86, 1214–1220. [Google Scholar] [CrossRef]
- Qi, L.; Wakeling, J.; Grange, S.; Ferguson-Pell, M. Coordination patterns of shoulder muscles during level-ground and incline wheelchair propulsion. J. Rehabil. Res. Dev. 2013, 50, 651–662. [Google Scholar] [CrossRef] [PubMed]
- Chow, J.W.; Millikan, T.A.; Carlton, L.G.; Chae, W.S.; Lim, Y.T.; Morse, M.I. Kinematic and electromyographic analysis of wheelchair propulsion on ramps of different slopes for young men with paraplegia. Arch. Phys. Med. Rehabil. 2009, 90, 271–278. [Google Scholar] [CrossRef] [PubMed]
- Gagnon, D.H.; Babineau, A.C.; Champagne, A.; Desroches, G.; Aissaoui, R. Pushrim biomechanical changes with progressive increases in slope during motorized treadmill manual wheelchair propulsion in individuals with spinal cord injury. J. Rehabil. Res. Dev. 2014, 51, 789–802. [Google Scholar] [CrossRef] [PubMed]
- van der Woude, L.H.; Veeger, H.E.; Rozendal, R.H. Propulsion technique in hand rim wheelchair ambulation. J. Med. Eng. Technol. 1989, 13, 136–141. [Google Scholar] [CrossRef] [PubMed]
- Gagnon, D.; Babineau, A.C.; Champagne, A.; Desroches, G.; Aissaoui, R. Trunk and shoulder kinematic and kinetic and electromyographic adaptations to slope increase during motorized treadmill propulsion among manual wheelchair users with a spinal cord injury. Biomed. Res. Int. 2015, 2015, 636319. [Google Scholar] [CrossRef] [PubMed]
- Holloway, C.S.; Symonds, A.; Suzuki, T.; Gall, A.; Smitham, P.; Taylor, S. Linking wheelchair kinetics to glenohumeral joint demand during everyday accessibility activities. Annu. Int. Conf. IEEE Eng. Med. Biol. Soc. 2015, 2015, 2478–2481. [Google Scholar] [CrossRef]
- Pierret, B.; Desbrosses, K.; Paysant, J.; Meyer, J.P. Cardio-respiratory and subjective strains sustained by paraplegic subjects, when travelling on a cross slope in a manual wheelchair (MWC). Appl. Ergon. 2014, 45, 1056–1062. [Google Scholar] [CrossRef]
- Pradon, D.; Garrec, E.; Vaugier, I.; Weissland, T.; Hugeron, C. Effect of power-assistance on upper limb biomechanical and physiological variables during a 6-minute, manual wheelchair propulsion test: A randomised, cross-over study. Disabil. Rehabil. 2022, 44, 6783–6787. [Google Scholar] [CrossRef]


| N° | Gender * | Age (Years) | Time Since Injury (Years) | Height (m) | Weight (kg) | Dominance | Lesion Level | WUSPI * Score | Pattern | |||
|---|---|---|---|---|---|---|---|---|---|---|---|---|
| sc | arc | slop | dlop | |||||||||
| 1 | M | 22.3 | 0.7 | 1.83 | 57.5 | Right | T8 | 0.29 | X | |||
| 2 | M | 58.3 | 3.4 | 1.88 | 98.9 | Right | T10 | 0.26 | X | |||
| 3 | M | 42.8 | 9.1 | 1.84 | 86 | Right | T7 | 0.46 | X | |||
| 4 | M | 34.4 | 10.3 | 1.80 | 77.1 | Right | T6 | 0.30 | X | |||
| 5 | M | 51.2 | 7.9 | 1.73 | 77.5 | Right | T12 | 0.45 | X | |||
| 6 | M | 54.2 | 3.4 | 1.80 | 106.3 | Left | T3 | 0.00 | X | |||
| 7 | W | 26.6 | 3.3 | 1.65 | 45.2 | Right | T11 | 0.08 | X | |||
| 8 | M | 45.0 | 3.2 | 1.73 | 76.9 | Right | T10 | 0.14 | X | |||
| 9 | M | 31.9 | 6.5 | 1.93 | 71.8 | Right | T12 | 0.1 | X | |||
| 10 | M | 31.4 | 7.5 | 1.75 | 66.7 | Right | T8 | 0.0 | X | |||
| 11 | M | 53.0 | 17.1 | 1.75 | 93.0 | Right | T10 | 0.1 | X | |||
| 12 | M | 30.8 | 4.0 | 1.91 | 93.5 | Right | T10 | 0.0 | X | |||
| 13 | M | 27.0 | 9.2 | 1.9 | 67.7 | Right | T12 | 0.0 | X | |||
| 14 | M | 40.0 | 4.8 | 1.8 | 75.3 | Right | C6 | 0.0 | X | |||
| 15 | M | 42.7 | 20.8 | 1.7 | 65.1 | Right | C4 | 0.0 | X | |||
| 16 | M | 47.8 | 3.1 | 1.7 | 81.5 | Right | T7 | 0.3 | X | |||
| 17 | M | 37.8 | 1.5 | 1.8 | 97.4 | Left | T9 | 0.1 | X | |||
| mean | 39.8 | 6.8 | 179 | 78.7 | 0.2 | |||||||
| SD | 10.8 | 5.4 | 0.1 | 16 | 0.2 | |||||||
| 0° | 2.8° | 3.6° | 4.2° | ||
| Spatio-temporal parameters | |||||
| Push Phase | (s) | 0.55 ± 0.1 * | 0.44 ± 0.1 | 0.43 ± 0.1 | 0.42 ± 0.1 |
| (%) | 54.4 | 67.5 | 69.3 | 72.5 | |
| Recovery Phase | (s) | 0.46 ± 0.2 * | 0.21 ± 0.1 | 0.19 ± 0.1 | 0.16 ± 0.1 |
| (%) | 45.6 | 32.5 | 30.7 | 27.5 | |
| Cycle Time | (s) | 1.01 ± 0.2 * | 0.65 ± 0.1 | 0.63 ± 0.1 | 0.58 ± 0.1 |
| Push angle | |||||
| start | (°) | −33.00 ± 9.75 * | −19.84 ± 12.02 | −17.60 ± 9.70 | −11.08 ± 10.20 |
| end | (°) | 45.97 ± 9.04 * | 52.04 ± 9.20 | 53.46 ± 10.36 | 57.92 ± 11.82 |
| Total | (°) | 78.97 ± 13.27 * | 68.94 ± 22.92 | 69.90 ± 14.77 | 66.91 ± 15.36 |
| Propulsion pattern | |||||
| Semi circular | 4 | 4 | 4 | 4 | |
| arc | 4 | 5 | 8 | 8 | |
| Simple loop | 2 | 5 | 4 | 4 | |
| Double loop | 7 | 2 | 1 | 1 | |
| Risk Level | 0.0 | 2.7 | 3.6 | 4.8 | ||||||
|---|---|---|---|---|---|---|---|---|---|---|
| Shoulder Flexion Extension | Push | Low | 13.6 | 4.1 | 0.7 | 2.2 | 1.7 | 2.7 | 0.5 | 2.0 |
| Medium | 74.1 | 17.4 | 54.8 | 4.5 | 51.3 | 1.9 | 54.3 | 6.3 | ||
| High | 12.2 | 15.8 | 44.5 | 2.8 | 47.0 | 1.9 | 45.2 | 4.6 | ||
| Recovery | Low | 99.2 | 1.1 | 21.0 | 6.6 | 20.7 | 6.5 | 4.7 | 7.5 | |
| Medium | 0.8 | 1.1 | 79.0 | 6.6 | 79.3 | 6.5 | 95.3 | 7.5 | ||
| High | 0 | 0 | 0 | 0 | 0 | 0 | 0 | 0 | ||
| Shoulder Abduction Adduction | Push | Low | 96.7 | 6.8 | 43.0 | 5.2 | 40.5 | 5.7 | 37.0 | 3.8 |
| Medium | 3.3 | 6.8 | 55.7 | 6.8 | 59.1 | 5.9 | 59.7 | 7.5 | ||
| High | 0 | 0 | 1.3 | 4.9 | 0.5 | 1.8 | 3.3 | 7.9 | ||
| Recovery | Low | 99.5 | 1.0 | 66.8 | 8.5 | 73.8 | 8.6 | 69.9 | 7.7 | |
| Medium | 0.5 | 1.0 | 33.2 | 8.5 | 26.2 | 8.6 | 29.5 | 6.5 | ||
| High | 0 | 0 | 0 | 0 | 0 | 0 | 0.5 | 2.1 | ||
| Shoulder Internal External Rotation | Push | Low | 11.6 | 2.8 | 6.8 | 1.2 | 5.1 | 1.7 | 0.6 | 2.1 |
| Medium | 55.3 | 8.8 | 57.6 | 7.4 | 76.4 | 5.1 | 83.2 | 6.4 | ||
| High | 33.0 | 8.0 | 35.6 | 7.4 | 18.5 | 3.6 | 16.2 | 5.1 | ||
| Recovery | Low | 93.7 | 5.1 | 55.6 | 9.3 | 52.5 | 9.0 | 17.8 | 9.5 | |
| Medium | 6.3 | 5.1 | 44.4 | 9.3 | 47.5 | 9.0 | 82.2 | 9.5 | ||
| High | 0 | 0 | 0 | 0 | 0 | 0 | 0 | 0 | ||
| Elbow Flexion Extension | Push | Low | 55.3 | 8.2 | 24.1 | 4.0 | 22.7 | 11.2 | 17.5 | 2.6 |
| Medium | 44.7 | 8.2 | 75.9 | 4.0 | 77.3 | 11.2 | 82.5 | 2.6 | ||
| High | 0 | 0 | 0 | 0 | 0 | 0 | 0 | 0 | ||
| Recovery | Low | 100 | 0 | 100 | 0 | 99.3 | 2.5 | 98.2 | 4.9 | |
| Medium | 0 | 0 | 0 | 0 | 0.7 | 2.5 | 1.8 | 4.9 | ||
| High | 0 | 0 | 0 | 0 | 0 | 0 | 0 | 0 | ||
| Elbow Pronation Supination | Push | Low | 17.4 | 7.9 | 3.9 | 4.5 | 6.0 | 10.2 | 6.2 | 12.4 |
| Medium | 82.6 | 7.9 | 96.1 | 4.5 | 94.0 | 10.2 | 93.8 | 12.4 | ||
| High | 0 | 0 | 0 | 0 | 0 | 0 | 0 | 0 | ||
| Recovery | Low | 99.9 | 0.5 | 80.0 | 5.7 | 82.1 | 9.2 | 79.6 | 9.6 | |
| Medium | 0.1 | 0.5 | 20.0 | 5.7 | 17.9 | 9.2 | 20.4 | 9.6 | ||
| High | 0 | 0 | 0 | 0 | 0 | 0 | 0 | 0 | ||
| Wrist Flexion Extension | Push | Low | 64.5 | 26.1 | 10.2 | 1.0 | 7.7 | 0.9 | 6.9 | 0.8 |
| Medium | 35.5 | 26.1 | 87.5 | 8.5 | 89.4 | 10.7 | 55.7 | 12.5 | ||
| High | 0 | 0 | 2.3 | 8.9 | 2.9 | 10.5 | 37.5 | 12.7 | ||
| Recovery | Low | 100 | 0 | 98.3 | 1.9 | 97.7 | 3.0 | 97.3 | 1.8 | |
| Medium | 0 | 0 | 1.7 | 1.9 | 2.3 | 3.0 | 2.7 | 1.8 | ||
| High | 0 | 0 | 0 | 0 | 0 | 0 | 0 | 0 | ||
| Wrist Abduction Adduction | Push | Low | 67.9 | 16.1 | 26.7 | 7.5 | 16.5 | 5.3 | 23.8 | 17.2 |
| Medium | 32.1 | 16.1 | 73.3 | 7.5 | 83.5 | 5.3 | 76.2 | 17.2 | ||
| High | 0 | 0 | 0 | 0 | 0 | 0 | 0 | 0 | ||
| Recovery | Low | 100 | 0 | 100 | 0 | 99.7 | 0.9 | 99.8 | 0.7 | |
| Medium | 0 | 0 | 0 | 0 | 0.3 | 0.9 | 0.2 | 0.7 | ||
| High | 0 | 0 | 0 | 0 | 0 | 0 | 0 | 0 | ||
| Risk Level | 0.0 | 2.7 | 3.6 | 4.8 | ||||||
|---|---|---|---|---|---|---|---|---|---|---|
| Shoulder Flexion Extension | Push | Low | 13.6 | 4.1 | 0.7 | 2.2 | 1.7 | 2.7 | 0.5 | 2.0 |
| Medium | 74.1 | 17.4 | 54.8 | 4.5 | 51.3 | 1.9 | 54.3 | 6.3 | ||
| High | 12.2 | 15.8 | 44.5 | 2.8 | 47.0 | 1.9 | 45.2 | 4.6 | ||
| Recovery | Low | 99.2 | 1.1 | 21.0 | 6.6 | 20.7 | 6.5 | 4.7 | 7.5 | |
| Medium | 0.8 | 1.1 | 79.0 | 6.6 | 79.3 | 6.5 | 95.3 | 7.5 | ||
| High | 0 | 0 | 0 | 0 | 0 | 0 | 0 | 0 | ||
| Shoulder Abduction Adduction | Push | Low | 96.7 | 6.8 | 43.0 | 5.2 | 40.5 | 5.7 | 37.0 | 3.8 |
| Medium | 3.3 | 6.8 | 55.7 | 6.8 | 59.1 | 5.9 | 59.7 | 7.5 | ||
| High | 0 | 0 | 1.3 | 4.9 | 0.5 | 1.8 | 3.3 | 7.9 | ||
| Recovery | Low | 99.5 | 1.0 | 66.8 | 8.5 | 73.8 | 8.6 | 69.9 | 7.7 | |
| Medium | 0.5 | 1.0 | 33.2 | 8.5 | 26.2 | 8.6 | 29.5 | 6.5 | ||
| High | 0 | 0 | 0 | 0 | 0 | 0 | 0.5 | 2.1 | ||
| Shoulder Internal External Rotation | Push | Low | 11.6 | 2.8 | 6.8 | 1.2 | 5.1 | 1.7 | 0.6 | 2.1 |
| Medium | 55.3 | 8.8 | 57.6 | 7.4 | 76.4 | 5.1 | 83.2 | 6.4 | ||
| High | 33.0 | 8.0 | 35.6 | 7.4 | 18.5 | 3.6 | 16.2 | 5.1 | ||
| Recovery | Low | 93.7 | 5.1 | 55.6 | 9.3 | 52.5 | 9.0 | 17.8 | 9.5 | |
| Medium | 6.3 | 5.1 | 44.4 | 9.3 | 47.5 | 9.0 | 82.2 | 9.5 | ||
| High | 0 | 0 | 0 | 0 | 0 | 0 | 0 | 0 | ||
| Elbow Flexion Extension | Push | Low | 55.3 | 8.2 | 24.1 | 4.0 | 22.7 | 11.2 | 17.5 | 2.6 |
| Medium | 44.7 | 8.2 | 75.9 | 4.0 | 77.3 | 11.2 | 82.5 | 2.6 | ||
| High | 0 | 0 | 0 | 0 | 0 | 0 | 0 | 0 | ||
| Recovery | Low | 100 | 0 | 100 | 0 | 99.3 | 2.5 | 98.2 | 4.9 | |
| Medium | 0 | 0 | 0 | 0 | 0.7 | 2.5 | 1.8 | 4.9 | ||
| High | 0 | 0 | 0 | 0 | 0 | 0 | 0 | 0 | ||
| Elbow Pronation Supination | Push | Low | 17.4 | 7.9 | 3.9 | 4.5 | 6.0 | 10.2 | 6.2 | 12.4 |
| Medium | 82.6 | 7.9 | 96.1 | 4.5 | 94.0 | 10.2 | 93.8 | 12.4 | ||
| High | 0 | 0 | 0 | 0 | 0 | 0 | 0 | 0 | ||
| Recovery | Low | 99.9 | 0.5 | 80.0 | 5.7 | 82.1 | 9.2 | 79.6 | 9.6 | |
| Medium | 0.1 | 0.5 | 20.0 | 5.7 | 17.9 | 9.2 | 20.4 | 9.6 | ||
| High | 0 | 0 | 0 | 0 | 0 | 0 | 0 | 0 | ||
| Wrist Flexion Extension | Push | Low | 64.5 | 26.1 | 10.2 | 1.0 | 7.7 | 0.9 | 6.9 | 0.8 |
| Medium | 35.5 | 26.1 | 87.5 | 8.5 | 89.4 | 10.7 | 55.7 | 12.5 | ||
| High | 0 | 0 | 2.3 | 8.9 | 2.9 | 10.5 | 37.5 | 12.7 | ||
| Recovery | Low | 100 | 0 | 98.3 | 1.9 | 97.7 | 3.0 | 97.3 | 1.8 | |
| Medium | 0 | 0 | 1.7 | 1.9 | 2.3 | 3.0 | 2.7 | 1.8 | ||
| High | 0 | 0 | 0 | 0 | 0 | 0 | 0 | 0 | ||
| Wrist Abduction Adduction | Push | Low | 67.9 | 16.1 | 26.7 | 7.5 | 16.5 | 5.3 | 23.8 | 17.2 |
| Medium | 32.1 | 16.1 | 73.3 | 7.5 | 83.5 | 5.3 | 76.2 | 17.2 | ||
| High | 0 | 0 | 0 | 0 | 0 | 0 | 0 | 0 | ||
| Recovery | Low | 100 | 0 | 100 | 0 | 99.7 | 0.9 | 99.8 | 0.7 | |
| Medium | 0 | 0 | 0 | 0 | 0.3 | 0.9 | 0.2 | 0.7 | ||
| High | 0 | 0 | 0 | 0 | 0 | 0 | 0 | 0 | ||
| Risk Level | 0.0 | 2.7 | 3.6 | 4.8 | ||||||
|---|---|---|---|---|---|---|---|---|---|---|
| Kinematic | Push | Low | 0 | 0 | 0 | 0 | 0 | 0 | 0 | 0 |
| Medium | 0 | 0 | 0 | 0 | 0 | 0 | 0 | 0 | ||
| High | 100 | 0 | 100 | 0 | 100 | 0 | 100 | 0 | ||
| Recovery | Low | 0 | 0 | 0 | 0 | 0 | 0 | 0 | 0 | |
| Medium | 0 | 0 | 2.2 | 6.9 | 1.1 | 4.4 | 0.9 | 3.5 | ||
| High | 100 | 0 | 97.8 | 6.9 | 98.9 | 4.4 | 99.1 | 3.5 | ||
| Kinetic | Push | Low | 0 | 0 | 0 | 0 | 0 | 0 | 0 | 0 |
| Medium | 48.2 | 2.2 | 20.3 | 3.8 | 17.9 | 2.1 | 11.9 | 1.7 | ||
| High | 51.8 | 2.2 | 79.7 | 3.8 | 82.1 | 2.1 | 88.1 | 1.7 | ||
| Recovery | Low | 0 | 0 | 0.6 | 2.5 | 2.0 | 4.0 | 0 | 0 | |
| Medium | 0 | 0 | 99.0 | 3.7 | 98.0 | 4.0 | 97.8 | 5.7 | ||
| High | 100 | 0 | 0.3 | 1.2 | 0 | 0 | 2.2 | 5.7 | ||
| Global | Push | Low | 0 | 0 | 0 | 0 | 0 | 0 | 0 | 0 |
| Medium | 0 | 0 | 0 | 0 | 0 | 0 | 0 | 0 | ||
| High | 100 | 0 | 100 | 0 | 100 | 0 | 100 | 0 | ||
| Recovery | Low | 0 | 0 | 0 | 0 | 0 | 0 | 0 | 0 | |
| Medium | 0 | 0 | 0.6 | 2.5 | 0 | 0 | 0 | 0 | ||
| High | 100 | 0 | 99.4 | 2.5 | 100 | 0 | 100 | 0 | ||
Disclaimer/Publisher’s Note: The statements, opinions and data contained in all publications are solely those of the individual author(s) and contributor(s) and not of MDPI and/or the editor(s). MDPI and/or the editor(s) disclaim responsibility for any injury to people or property resulting from any ideas, methods, instructions or products referred to in the content. |
© 2023 by the authors. Licensee MDPI, Basel, Switzerland. This article is an open access article distributed under the terms and conditions of the Creative Commons Attribution (CC BY) license (https://creativecommons.org/licenses/by/4.0/).
Share and Cite
Marchiori, C.; Gagnon, D.H.; Pradon, D. Quantification of the Risk of Musculoskeletal Disorders of the Upper Limb Using Fuzzy Logic: A Study of Manual Wheelchair Propulsion. Sensors 2023, 23, 8659. https://doi.org/10.3390/s23218659
Marchiori C, Gagnon DH, Pradon D. Quantification of the Risk of Musculoskeletal Disorders of the Upper Limb Using Fuzzy Logic: A Study of Manual Wheelchair Propulsion. Sensors. 2023; 23(21):8659. https://doi.org/10.3390/s23218659
Chicago/Turabian StyleMarchiori, Claire, Dany H. Gagnon, and Didier Pradon. 2023. "Quantification of the Risk of Musculoskeletal Disorders of the Upper Limb Using Fuzzy Logic: A Study of Manual Wheelchair Propulsion" Sensors 23, no. 21: 8659. https://doi.org/10.3390/s23218659
APA StyleMarchiori, C., Gagnon, D. H., & Pradon, D. (2023). Quantification of the Risk of Musculoskeletal Disorders of the Upper Limb Using Fuzzy Logic: A Study of Manual Wheelchair Propulsion. Sensors, 23(21), 8659. https://doi.org/10.3390/s23218659
