RSS Model Improvement Considering Road Conditions for the Application of a Variable Focus Function Camera
Abstract
1. Introduction
1.1. Background
1.2. Related Work
1.3. Problem Definitions and Paper Composition
2. Necessity of Research
2.1. Existing Car-Following Models
2.2. Stopping Sight Distance and RSS Model
2.3. Introduction to the Variable Focus Function Camera
2.4. Need to Consider the External Environment
3. Methodology
3.1. Identification of External Environmental Factors
3.2. Derivation of RSS Model Using Weather Environments
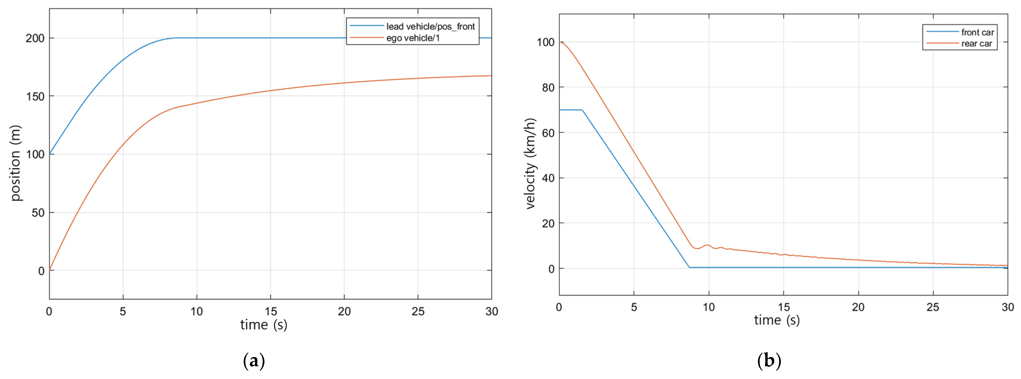
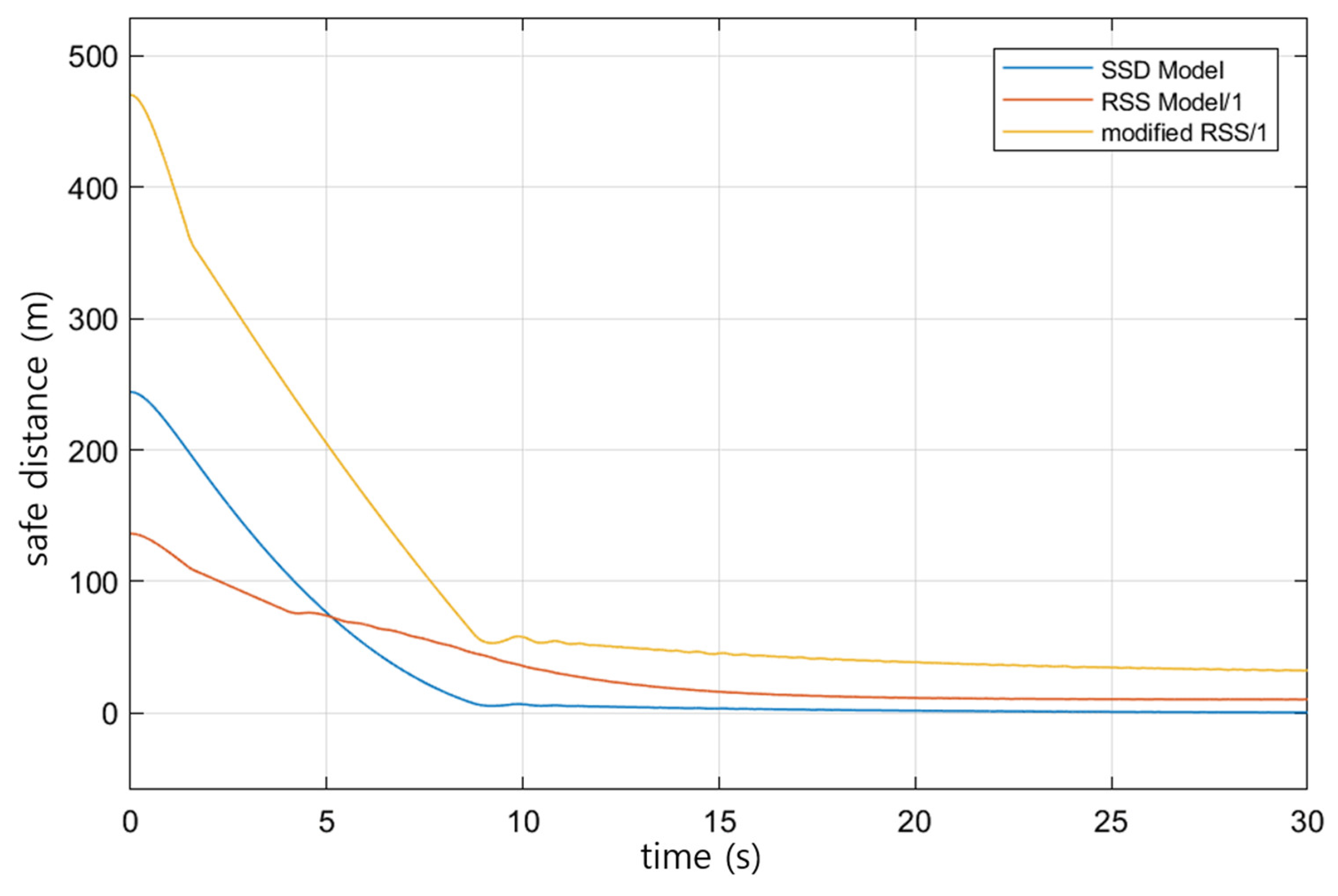
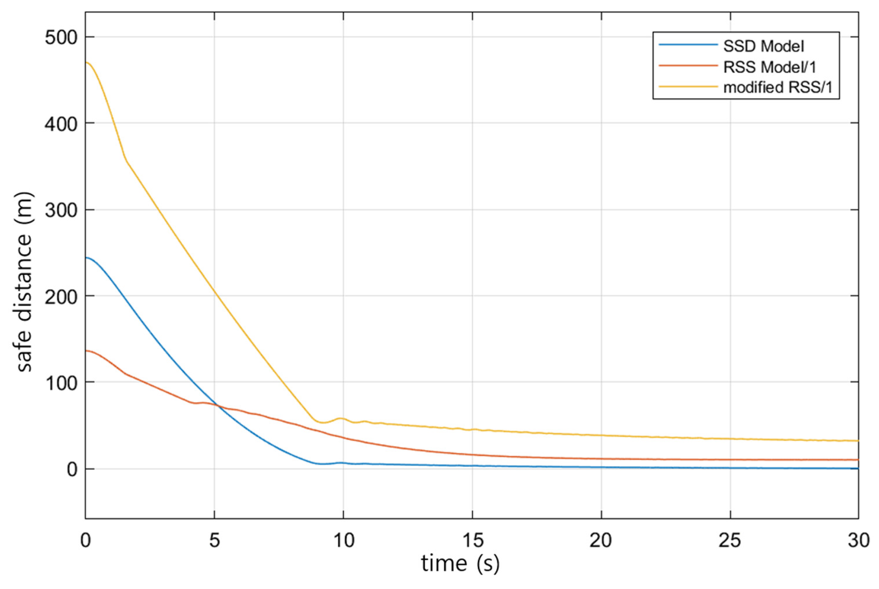
4. Results and Verification
5. Conclusions
Author Contributions
Funding
Institutional Review Board Statement
Informed Consent Statement
Data Availability Statement
Acknowledgments
Conflicts of Interest
References
- Hörl, S.; Ciari, F.; Axhausen, K.W. Recent perspectives on the impact of autonomous vehicles. Arb. Verk. Raumplan. 2016, 1216. [Google Scholar] [CrossRef]
- Dixit, V.V.; Chand, S.; Nair, D.J. Autonomous Vehicles: Disengagements, Accidents and Reaction Times. PLoS ONE 2016, 11, e0168054. [Google Scholar] [CrossRef] [PubMed]
- Wang, J.; Zhang, L.; Huang, Y.; Zhao, J. Safety of autonomous vehicles. J. Adv. Transp. 2020, 2020, 8867757. [Google Scholar] [CrossRef]
- Brackstone, M.; McDonald, M. Car-following: A historical review. Transp. Res. Part F Traffic Psychol. Behav. 1999, 2, 181–196. [Google Scholar] [CrossRef]
- Magdici, S.; Althoff, M. Adaptive Cruise Control with Safety Guarantees for Autonomous Vehicles. IFAC Pap. 2017, 50, 5774–5781. [Google Scholar] [CrossRef]
- Shalev-Shwartz, S.; Shaked, S.; Amnon, S. On a formal model of safe and scalable self-driving cars. arXiv 2017, arXiv:1708.06374. [Google Scholar]
- Gipps, P. A behavioural car-following model for computer simulation. Transp. Res. Part B Methodol. 1981, 15, 105–111. [Google Scholar] [CrossRef]
- Chai, C.; Zeng, X.; Wu, X.; Wang, X. Evaluation and Optimization of Responsibility-Sensitive Safety Models on Autonomous Car-Following Maneuvers. Transp. Res. Rec. J. Transp. Res. Board 2020, 2674, 662–673. [Google Scholar] [CrossRef]
- Xu, X.; Wang, X.; Wu, X.; Hassanin, O.; Chai, C. Calibration and evaluation of the Responsibility-Sensitive Safety model of autonomous car-following maneuvers using naturalistic driving study data. Transp. Res. Part C Emerg. Technol. 2021, 123, 102988. [Google Scholar] [CrossRef]
- Li, L.; Peng, X.; Wang, F.-Y.; Cao, D.; Li, L. A situation-aware collision avoidance strategy for car-following. IEEE CAA J. Autom. Sin. 2018, 5, 1012–1016. [Google Scholar] [CrossRef]
- Liu, S.; Wang, X.; Hassanin, O.; Xu, X.; Yang, M.; Hurwitz, D.; Wu, X. Calibration and evaluation of responsibility-sensitive safety (RSS) in automated vehicle performance during cut-in scenarios. Transp. Res. Part C Emerg. Technol. 2021, 125, 103037. [Google Scholar] [CrossRef]
- Zhao, C.; Xing, Y.; Li, Z.; Li, L.; Wang, X.; Wang, F.Y.; Wu, X. A Negotiation-based Right-of-way Assignment Strategy to Ensure Traffic Safetyand Efficiency in Lane Changes. IET Intell. Transp. Syst. 2019, 15, 1345–1358. [Google Scholar] [CrossRef]
- Khayatian, M.; Mehrabian, M.; Allamsetti, H.; Liu, K.W.; Huang, P.Y.; Lin, C.W.; Shrivastava, A. Cooperative Driving of Connected Autonomous Vehicles Using Responsibility-Sensitive Safety (RSS) Rules. In Proceedings of the ACM/IEEE 12th International Conference on Cyber-Physical Systems, Nashville, TN, USA, 19–21 May 2021; pp. 11–20. [Google Scholar]
- Orzechowski, P.F.; Li, K.; Lauer, M. Towards Responsibility-Sensitive Safety of Automated Vehicles with Reachable Set Analysis. In 2019 IEEE International Conference on Connected Vehicles and Expo (ICCVE); IEEE: New York, NY, USA, 2019; pp. 1–6. [Google Scholar]
- Gutierrez, R.; Arango, J.F.; Gomez-Huelamo, C.; Bergasa, L.M.; Barea, R.; Araluce, J. Validation Method of a Self-Driving Architecture for Unexpected Pedestrian Scenario in CARLA Simulator. In 2021 IEEE Intelligent Vehicles Symposium (IV); IEEE: New York, NY, USA, 2021; pp. 1144–1149. [Google Scholar] [CrossRef]
- Kordani, A.A.; Rahmani, O.; Nasiri, A.S.A.; Boroomandrad, S.M. Effect of Adverse Weather Conditions on Vehicle Braking Distance of Highways. Civ. Eng. J. 2018, 4, 46. [Google Scholar] [CrossRef]
- Zhao, G.; Liu, L.; Li, S.; Tighe, S. Assessing Pavement Friction Need for Safe Integration of Autonomous Vehicles into Current Road System. J. Infrastruct. Syst. 2021, 27, 04021007. [Google Scholar] [CrossRef]
- Tang, T.; Anupam, K.; Kasbergen, C.; Scarpas, A. Study of Influence of Operating Parameters on Braking Distance. Transp. Res. Rec. J. Transp. Res. Board 2017, 2641, 139–148. [Google Scholar] [CrossRef]
- Yimer, T.H.; Wen, C.; Yu, X.; Jiang, C. A study of the minimum safe distance between human driven and driverless cars using safe distance model. arXiv 2020, arXiv:2006.07022. [Google Scholar]
- Xiang, L. Simulation System of Car Crash Test in C-NCAP Analysis Based on an Improved Apriori Algorithm. Phys. Procedia 2012, 25, 2066–2071. [Google Scholar] [CrossRef]
- Jimenez-Martinez, M. Artificial Neural Networks for Passive Safety Assessment. Eng. Lett. 2022, 30, 1–9. [Google Scholar]
- Kometani, E.; Sasaki, T. Dynamic Behaviour of Traffic with a Nonlinear Spacing-Speed Relationship. In Proceedings of the Sym-posium on Theory of Traffic Flow, Research Laboratories, General Motors, Detroit, MI, USA, 7–8 December 1959; pp. 105–119. [Google Scholar]
- Michaels, R.M. Perceptual Factors in Car Following. In Proceedings of the Second International Symposium on the Theory of Road Traffic Flow, London, UK; 1963; pp. 44–59. Available online: https://trid.trb.org/view.aspx?id=1187086 (accessed on 2 January 2023).
- Heuel, S.; Rohling, H. Pedestrian recognition in automotive radar sensors. In 2013 14th International Radar Symposium (IRS); IEEE: New York, NY, USA, 2013; pp. 732–739. [Google Scholar]
- Kutila, M.; Pyykonen, P.; Ritter, W.; Sawade, O.; Schaufele, B. Automotive LIDAR sensor development scenarios for harsh weather conditions. In 2016 IEEE 19th International Conference on Intelligent Transportation Systems (ITSC); IEEE: New York, NY, USA, 2016; pp. 265–270. [Google Scholar]
- Thorn, E.; Kimmel, S.C.; Chaka, M.; Hamilton, B.A. A Framework for Automated Driving System Testable Cases and Scenarios (No. DOT HS 812 623); US Department of Transportation, National Highway Traffic Safety Administration: Washington, DC, USA, 2018.
- Kim, M.J.; Kim, T.H.; Yu, S.H.; Kim, Y.M. Safety Verification of RSS Model-Based Variable Focus Function Camera for Autonomous Vehicle. SAE Int. J. Connect. Autom. Veh. 2022, 2022, 5. [Google Scholar] [CrossRef]
- Hoffman, J.D.; Lee, J.D.; Brown, T.L.; McGehee, D.V. Comparison of Driver Braking Responses in a High-Fidelity Simulator and on a Test Track. Transp. Res. Rec. J. Transp. Res. Board 2002, 1803, 59–65. [Google Scholar] [CrossRef]
- Ahn, D.; Shin, S.; Park, K.; Choi, I.; Lee, H. Functional Safety Concept Design and Verification for Longitudinal Driving Assistance System of an Autonomous Vehicle. Trans. Korean Soc. Automot. Eng. 2018, 26, 149–158. [Google Scholar] [CrossRef]










| External Environment | Cause | Impact on the Camera Sensor |
|---|---|---|
| Luminous source | Backlight | Possibility of failure of recognition or misrecognition by causing photo saturation on the image sensor |
| Low luminous | Possibility of the image sensor not recognizing the obstacle due to insufficient amount of light | |
| difference illumination | Image distortion occurs due to rapid illumination differences, causing the object to not be recognized or misrecognition | |
| Weather environment | Rain | Image distortion caused by water droplets or wipers may cause object or lane recognition or misrecognition |
| Snow | Image distortion caused by eye drops or wipers may cause object or lane recognition or misrecognition | |
| Fog | Visibility constraints caused by fog may cause objects and lanes to be unrecognized or misrecognized | |
| Fine matter | Pollution | Due to contamination by dust, mud, fine matter, etc., obstacles and lanes may not be recognized or misrecognized due to visibility obstruction and restrictions |
| Safe Distance (m) | Vehicle Velocity (km/h) | ||||||||
|---|---|---|---|---|---|---|---|---|---|
| Friction | Model | 60 | 70 | 80 | 90 | 100 | 110 | 120 | 130 |
| 1 | SSD | 42.51 | 52.35 | 62.97 | 74.39 | 86.59 | 99.58 | 113.36 | 127.92 |
| RSS | 61.96 | 70.54 | 79.12 | 87.69 | 96.27 | 104.85 | 113.42 | 122.00 | |
| 0.9 | SSD | 44.08 | 54.49 | 65.77 | 77.93 | 90.97 | 104.88 | 119.66 | 135.32 |
| RSS | 65.06 | 74.06 | 83.07 | 92.07 | 101.08 | 110.08 | 119.09 | 128.09 | |
| 0.8 | SSD | 46.05 | 57.17 | 69.27 | 82.36 | 96.43 | 111.49 | 127.53 | 144.56 |
| RSS | 68.92 | 78.46 | 88.00 | 97.55 | 107.09 | 116.63 | 126.17 | 135.71 | |
| 0.7 | SSD | 48.58 | 60.61 | 73.77 | 88.06 | 103.47 | 120.00 | 137.66 | 156.44 |
| RSS | 73.90 | 84.12 | 94.35 | 104.58 | 114.81 | 125.04 | 135.27 | 145.50 | |
| 0.6 | SSD | 51.96 | 65.21 | 79.77 | 95.65 | 112.84 | 131.34 | 151.15 | 172.28 |
| RSS | 80.53 | 91.67 | 102.82 | 113.97 | 125.11 | 136.26 | 147.41 | 158.56 | |
| 0.5 | SSD | 56.68 | 71.64 | 88.17 | 106.28 | 125.96 | 147.22 | 170.05 | 194.46 |
| RSS | 89.81 | 102.24 | 114.67 | 127.10 | 139.54 | 151.97 | 164.40 | 176.83 | |
| 0.4 | SSD | 63.77 | 81.28 | 100.77 | 122.22 | 145.65 | 171.04 | 198.40 | 227.73 |
| RSS | 103.73 | 118.09 | 132.45 | 146.81 | 161.17 | 175.53 | 189.89 | 204.25 | |
| 0.3 | SSD | 75.58 | 97.36 | 121.77 | 148.80 | 178.46 | 210.74 | 245.64 | 283.17 |
| RSS | 126.94 | 144.51 | 162.08 | 179.65 | 197.23 | 214.8 | 232.37 | 249.94 | |
| 0.2 | SSD | 99.20 | 129.51 | 163.76 | 201.95 | 244.07 | 290.13 | 340.13 | 394.07 |
| RSS | 173.35 | 197.35 | 221.34 | 245.34 | 269.34 | 293.33 | 317.33 | 341.33 | |
| Parameter | Value |
|---|---|
| Leading vehicle initial speed | 70 km/h |
| Leading vehicle final speed | 0 km/h |
| Following vehicle initial speed | 100 km/h |
| Initial vehicle spacing | 100 m |
| Response time | 1.7 s |
| Friction coefficient | 0.2 |
Disclaimer/Publisher’s Note: The statements, opinions and data contained in all publications are solely those of the individual author(s) and contributor(s) and not of MDPI and/or the editor(s). MDPI and/or the editor(s) disclaim responsibility for any injury to people or property resulting from any ideas, methods, instructions or products referred to in the content. |
© 2023 by the authors. Licensee MDPI, Basel, Switzerland. This article is an open access article distributed under the terms and conditions of the Creative Commons Attribution (CC BY) license (https://creativecommons.org/licenses/by/4.0/).
Share and Cite
Kim, M.J.; Kim, Y.M. RSS Model Improvement Considering Road Conditions for the Application of a Variable Focus Function Camera. Sensors 2023, 23, 592. https://doi.org/10.3390/s23020592
Kim MJ, Kim YM. RSS Model Improvement Considering Road Conditions for the Application of a Variable Focus Function Camera. Sensors. 2023; 23(2):592. https://doi.org/10.3390/s23020592
Chicago/Turabian StyleKim, Min Joong, and Young Min Kim. 2023. "RSS Model Improvement Considering Road Conditions for the Application of a Variable Focus Function Camera" Sensors 23, no. 2: 592. https://doi.org/10.3390/s23020592
APA StyleKim, M. J., & Kim, Y. M. (2023). RSS Model Improvement Considering Road Conditions for the Application of a Variable Focus Function Camera. Sensors, 23(2), 592. https://doi.org/10.3390/s23020592

