Magnetoimpedance Effect in Cobalt-Based Amorphous Ribbons with an Inhomogeneous Magnetic Structure
Abstract
:1. Introduction
2. Samples, Experimental Methods and Computer Simulation
2.1. Description of the Samples
2.2. Experimental Methods
2.3. Computer Simulation of the MI
2.4. Implementation of Magnetic Impedance Tomography of Amorphous Ribbons
- The distribution of the magnetic permeability was set according to the system of Equation (5) and Table 2. In this case, μi varied from 1 to 25,000.
- Using solutions for the electric and magnetic field obtained with Comsol Multiphysics for various combinations of μi values, the dependences of the reduced impedance on the ac frequency Z(f)/RDC were calculated.
- In the array of the simulated Z(f)/RDC dependences, we found the one that had the smallest absolute deviation from the Z(f)/RDC dependence obtained experimentally.
- The combination of μi values at which the simulated dependence Z(f)/RDC has the smallest deviation from the experimental one is, presumably, an approximation of the actual distribution of the magnetic permeability over the ribbon cross section.
3. Results and Discussion
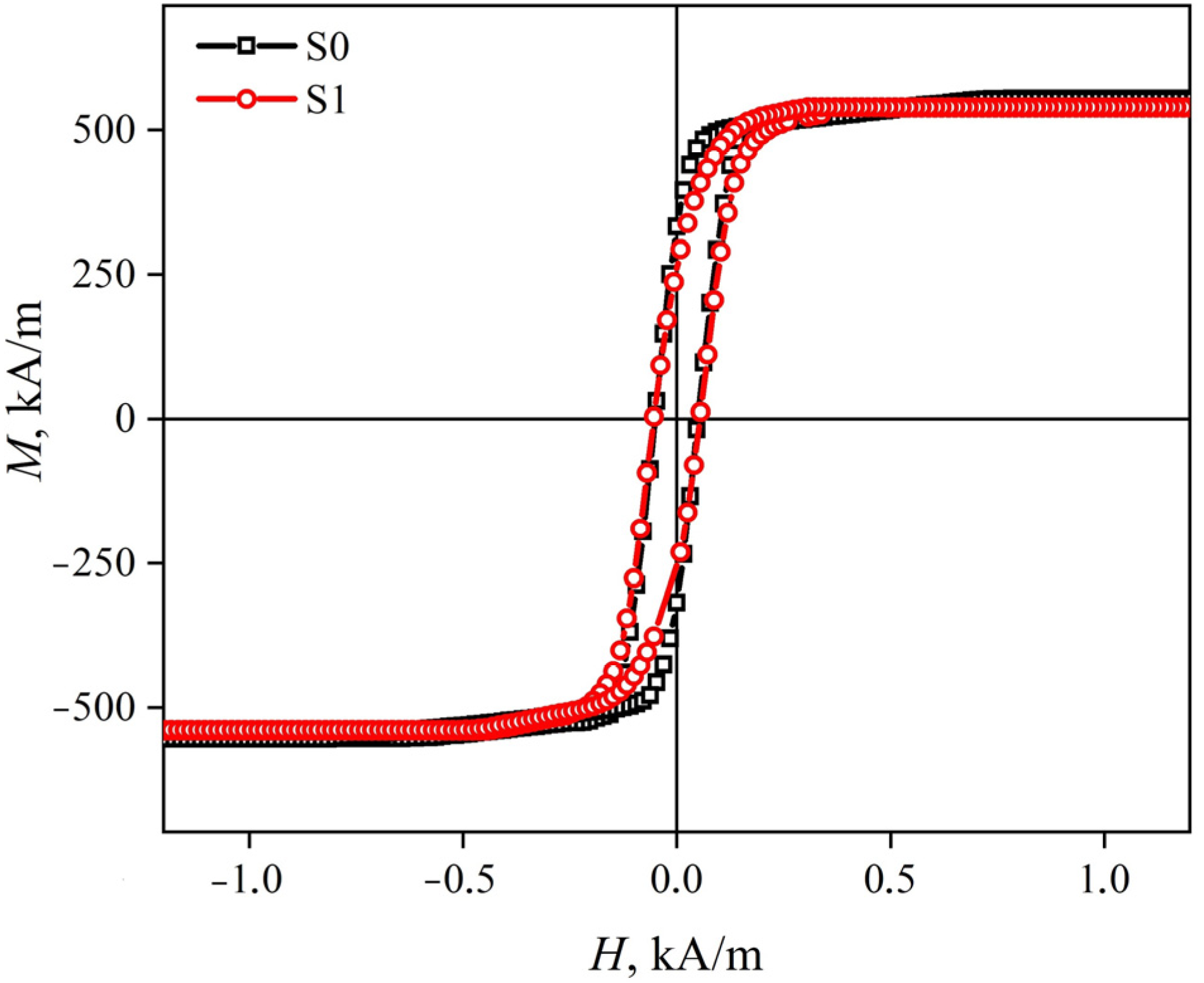
3.1. Experimental Results
3.2. MIT Results
4. Conclusions
Author Contributions
Funding
Institutional Review Board Statement
Informed Consent Statement
Data Availability Statement
Conflicts of Interest
References
- Beach, R.S.; Berkowitz, A.E. Sensitive field- and frequency-dependent impedance spectra of amorphous FeCoSiB wire and ribbon (invited). J. Appl. Phys. 1994, 76, 6209–6213. [Google Scholar] [CrossRef]
- Kurlyandskaya, G.V.; Lezama, L.; Pasynkova, A.A.; Volchkov, S.O.; Lukshina, V.A.; Larrañaga, A.; Dmitrieva, N.V.; Timofeeva, A.V.; Orue, I. Amorphous FeCoCrSiB Ribbons with Tailored Anisotropy for the Development of Magnetic Elements for High Frequency Applications. Materials 2022, 15, 4160. [Google Scholar] [CrossRef] [PubMed]
- Arzuza, L.C.C.; Béron, F.; Pirota, K.R. High-frequency GMI hysteresis effect analysis by first-order reversal curve (FORC) method. J. Magn. Magn. Mater. 2021, 534, 168008. [Google Scholar] [CrossRef]
- Tejedor, M.; Hernando, B.; Sánchez, M.; Prida, V.; Garcia-Beneytez, J.; Vázquez, M.; Herzer, G. Magnetoimpedance effect in zero magnetostriction nanocrystalline Fe73.5Cu1Nb3Si16.5B6 ribbons. J. Magn. Magn. Mater. 1998, 185, 61–65. [Google Scholar] [CrossRef]
- Dwevedi, S.; Markandeyulu, G.; Ohodnicki, P.R.; Leary, A.; McHenry, M.E. Stress-MI and domain studies in Co-based nanocrystalline ribbons. J. Magn. Magn. Mater. 2011, 323, 1929–1933. [Google Scholar] [CrossRef]
- Kikuchi, H.; Kamata, S.; Takahashi, Y.; Nakai, T.; Hashi, S.; Ishiyama, K. Investigation of driving power dependence on magnetoimpedance properties of thin-film elements with uniaxial anisotropy. IEEE Trans. Magn. 2015, 51. [Google Scholar] [CrossRef]
- Garcίa, D.; Muñoz, J.; Kurlyandskaya, G.; Vázquez, M.; Ali, M.; Gibbs, M.R. Induced anisotropy, magnetic domain structure and magnetoimpedance effect in CoFeB amorphous thin films. J. Magn. Magn. Mater. 1999, 191, 339–344. [Google Scholar] [CrossRef]
- García-Arribas, A.; Fernández, E.; Svalov, A.; Kurlyandskaya, G.V.; Barandiaran, J.M. Thin-film magneto-impedance structures with very large sensitivity. J. Magn. Magn. Mater. 2016, 400, 321–326. [Google Scholar] [CrossRef]
- Chen, J.-A.; Ding, W.; Zhou, Y.; Cao, Y.; Zhou, Z.-M.; Zhang, Y.-M. Stress-impedance effects in sandwiched FeCuNbCrSiB/Cu/FeCuNbCrSiB films. Mater. Lett. 2006, 60, 2554–2557. [Google Scholar] [CrossRef]
- Antonov, A.S.; Gadetskii, S.N.; Granovskii, A.B.; D’yachkov, A.L.; Paramonov, V.P.; Perov, N.S.; Prokoshin, A.F.; Usov, N.A.; Lagar’kov, A.N. Giant magnetoimpedance in amorphous and nanocrystalline multilayers. Phys. Met. Metallogr. 1997, 83, 612–618. [Google Scholar]
- Bukreev, D.A.; Derevyanko, M.S.; Moiseev, A.A.; Semirov, A.V.; Savin, P.A.; Kurlyandskaya, G.V. Magnetoimpedance and Stress-Impedance Effects in Amorphous CoFeSiB Ribbons at Elevated Temperatures. Materials 2020, 13, 3216. [Google Scholar] [CrossRef] [PubMed]
- Zhan, Z.; Yaoming, L.; Jin, C.; Yunfeng, X. Current sensor utilizing giant magneto-impedance effect in amorphous ribbon toroidal core and CMOS inverter multivibrator. Sens. Actuators A Phys. 2007, 137, 64–67. [Google Scholar] [CrossRef]
- Gazda, P.; Szewczyk, R. Novel Giant Magnetoimpedance Magnetic Field Sensor. Sensors 2020, 20, 691. [Google Scholar] [CrossRef] [PubMed]
- Feng, Z.; Zhi, S.; Wei, M.; Zhou, Y.; Liu, C.; Lei, C. An integrated three-dimensional micro-solenoid giant magnetoimpedance sensing system based on MEMS technology. Sens. Actuators A Phys. 2019, 299, 111640. [Google Scholar] [CrossRef]
- Kurlyandskaya, G.V.; Sánchez, M.L.; Hernando, B.; Prida, V.M.; Gorria, P.; Tejedor, M. Giant-magnetoimpedance-based sensitive element as a model for biosensors. Appl. Phys. Lett. 2003, 82, 3053–3055. [Google Scholar] [CrossRef]
- Yang, H.; Chen, L.; Lei, C.; Zhang, J.; Li, D.; Zhou, Z.-M.; Bao, C.-C.; Hu, H.-Y.; Chen, X.; Cui, F.; et al. Giant magnetoimpedance-based microchannel system for quick and parallel genotyping of human papilloma virus type 16/18. Appl. Phys. Lett. 2010, 97, 043702. [Google Scholar] [CrossRef]
- Yang, Z.; Wang, H.; Dong, X.; Yan, H.; Lei, C.; Luo, Y. Giant magnetoimpedance based immunoassay for cardiac biomarker myoglobin. Anal. Methods 2017, 9, 3636–3642. [Google Scholar] [CrossRef]
- Landau, L.D.; Lifshitz, E.M. Electrodynamics of Continuous Media; Pergamon Press: Oxford, UK, 1960. [Google Scholar]
- Kraus, L. Theory of giant magneto-impedance in the planar conductor with uniaxial magnetic anisotropy. J. Magn. Magn. Mater. 1999, 195, 764–778. [Google Scholar] [CrossRef]
- Kalantarov, P.L.; Tseytlin, L.A. Raschet Induktivnostey [Calculation of inductances], 3rd ed.; Energoatomizdat, Leningrad; 1986; 488 p., (Rus). [Google Scholar]
- Pirota, K.R.; Kraus, L.; Knobel, M.; Pagliuso, P.G.; Rettori, C. Angular dependence of giant magnetoimpedance in an amorphous Co-Fe-Si-B ribbon. Phys. Rev. B. 1999, 60, 6685–6691. [Google Scholar] [CrossRef]
- Dong, C.; Chen, S.; Hsu, T.Y. A modified model of GMI effect in amorphous films with transverse magnetic anisotropy. J. Magn. Magn. Mater. 2003, 263, 78–82. [Google Scholar] [CrossRef]
- Rouhani, A.A.; Matin, L.F.; Mohseni, S.M.; Zoriasatain, S. A Domain Dynamic Model Study of Magneto-impedance Sensor in the Presence of Inhomogeneous Magnetic Fields. J. Supercond. Nov. Magn. 2021, 34, 571–580. [Google Scholar] [CrossRef]
- Buznikov, N.A.; Kurlyandskaya, G.V. Magnetoimpedance in Symmetric and Non-Symmetric Nanostructured Multilayers: A Theoretical Study. Sensors 2019, 19, 1761. [Google Scholar] [CrossRef] [PubMed]
- García-Arribas, A.; Barandiarán, J.M.; de Cos, D. Finite element method calculations of GMI in thin films and sandwiched structures: Size and edge effects. J. Magn. Magn. Mater. 2008, 320, e4–e7. [Google Scholar] [CrossRef]
- Li, B.; Kosel, J. Three dimensional simulation of giant magneto-impedance effect in thin film structures. J. Appl. Phys. 2011, 109, 07E519. [Google Scholar] [CrossRef]
- Volchkov, S.O.; Pasynkova, A.A.; Derevyanko, M.S.; Bukreev, D.A.; Kozlov, N.V.; Svalov, A.V.; Semirov, A.V. Magnetoimpedance of CoFeCrSiB Ribbon-Based Sensitive Element with FeNi Covering: Experiment and Modeling. Sensors 2021, 21, 6728. [Google Scholar] [CrossRef]
- Bengus, V.Z.; Duhaj, P.; Korolkova, E.B.; Ocelík, V. Internal Stress Contribution to the Yield Stress Anisotropy of Amorphous Alloy Ribbons. Solid State Phenom. 1993, 35–36, 575–580. [Google Scholar] [CrossRef]
- Tejedor, M.; Garcı, J.A.; Carrizo, J.; Elbaile, L.; Santos, J.D. Effect of residual stresses and surface roughness on coercive force in amorphous alloys. J. Appl. Phys. 2002, 91, 8435. [Google Scholar] [CrossRef]
- Takahashi, M.; Miyazaki, T. Magnetic Anisotropy in an Amorphous Fe80P13C7 Alloy. Jpn. J. Appl. Phys. 1979, 18, 743–752. [Google Scholar] [CrossRef]
- Tsukahara, S.; Satoh, T.; Tsushima, T. Magnetic anisotropy distribution near the surface of amorphous ribbons. IEEE Trans. Magn. 1978, 14, 1022–1024. [Google Scholar] [CrossRef]
- Kraus, L.; Tomáš, I.; Keatociivílová, E.; Speingmann, B.; Müller, K. Magnetic anisotropy caused by oriented surface roughness of amorphous ribbons. Phys. Status Solidi. 1987, 100, 289–299. [Google Scholar] [CrossRef]
- Vavassori, P.; Callegaro, L.; Puppin, E.; Malizia, F.; Ronconi, F. Surface magnetic characterization of FeB amorphous ribbons. J. Magn. Magn. Mater. 1996, 157–158, 171–172. [Google Scholar] [CrossRef]
- Semirov, A.V.; Bukreev, D.A.; Moiseev, A.A.; Derevyanko, M.S.; Kudryavtsev, V.O. Relationship Between the Temperature Changes of the Magnetostriction Constant and the Impedance of Amorphous Elastically Deformed Soft Magnetic Cobalt-Based Ribbons. Russ. Phys. J. 2013, 55, 977–982. [Google Scholar] [CrossRef]
- Amalou, F.; Gijs, M.A.M. Giant magnetoimpedance of chemically thinned and polished magnetic amorphous ribbons. J. Appl. Phys. 2001, 90, 3466–3470. [Google Scholar] [CrossRef]
- Lotfollahi, Z.; Amirabadizadeh, A.; Safronov, A.P.; Beketov, I.V.; Kurlyandskaya, G.V. Magnetoimpedance Effect in CoFeMoSiB As-Quenched and Surface Modified Amorphous Ribbons in the Presence of Igon Oxide Nanoparticles of Water-Based Ferrofluid. J. Sensors. 2017, 2017, 1–9. [Google Scholar] [CrossRef]
- Yang, Z.; Chlenova, A.A.; Golubeva, E.V.; Volchkov, S.O.; Guo, P.; Shcherbinin, S.V.; Kurlyandskaya, G.V. Magnetoimpedance Effect in the Ribbon-Based Patterned Soft Ferromagnetic Meander-Shaped Elements for Sensor Application. Sensors 2019, 19, 2468. [Google Scholar] [CrossRef]
- Bukreev, D.A.; Derevyanko, M.S.; Moiseev, A.A.; Svalov, A.V.; Semirov, A.V. The Study of the Distribution of Electrical and Magnetic Properties over the Conductor Cross-Section Using Magnetoimpedance Tomography: Modeling and Experiment. Sensors 2022, 22, 9512. [Google Scholar] [CrossRef]
- Knobel, M.; Gómez-Polo, C.; Vázquez, M. Evaluation of the linear magnetostriction in amorphous wires using the giant magneto-impedance effect. J. Magn. Magn. Mater. 1996, 160, 243–244. [Google Scholar] [CrossRef]
- Usov, N.A.; Antonov, A.S.; Lagar’kov, A.N. Theory of giant magneto-impedance effect in amorphous wires with different types of magnetic anisotropy, J. Magn. Magn. Mater. 1998, 185, 159–173. [Google Scholar] [CrossRef]
- Ménard, D.; Britel, M.; Ciureanu, P.; Yelon, A. Giant magnetoimpedance in a cylindrical magnetic conductor. J. Appl. Phys. 1998, 84, 2805–2814. [Google Scholar] [CrossRef]
- Lotfollahi, Z.; García-Arribas, A.; Amirabadizadeh, A.; Orue, I.; Kurlyandskaya, G.V. Comparative study of magnetic and magnetoimpedance properties of CoFeSiB-based amorphous ribbons of the same geometry with Mo or W additions. J. Alloys Compd. 2017, 693, 767–776. [Google Scholar] [CrossRef]
- Liu, J.; Du, Z.; Jiang, S.; Shen, H.; Li, Z.; Xing, D.; Ma, W.; Sun, J. Tailoring giant magnetoimpedance effect of Co-based microwires for optimum efficiency by self-designed square-wave pulse current annealing. J. Magn. Magn. Mater. 2015, 385, 145–150. [Google Scholar] [CrossRef]
- Tehranchi, M.M.; Ghanaatshoar, M.; Mohseni, S.M.; Coisson, M.; Vázquez, M. Temperature dependence of magnetoimpedance in annealed Co-based ribbons. J. Non. Cryst. Solids. 2005, 351, 2983–2986. [Google Scholar] [CrossRef]










| Sample | Composition | Length l0, mm | Width a, mm | Thickness 2b, µm | Magnetostriction Sign | Specific Conductivity, kS/m |
|---|---|---|---|---|---|---|
| S0 | Co68.5Fe4.0Si15.0B12.5 | 30 | 0.71 | 24 | − | 615 |
| S1 | Co68.6Fe3.9Mo3.0Si12.0B12.5 | 30 | 0.78 | 26 | + | 618 |
| Sample | Layer Boundary Coordinates, µm | |||||
|---|---|---|---|---|---|---|
| y1 | y2 | y3 | y4 | y5 | y6 | |
| S0 | 4 | 6 | 8 | 10 | 11 | 12 |
| S1 | 4 | 6 | 8 | 10 | 12 | 13 |
Disclaimer/Publisher’s Note: The statements, opinions and data contained in all publications are solely those of the individual author(s) and contributor(s) and not of MDPI and/or the editor(s). MDPI and/or the editor(s) disclaim responsibility for any injury to people or property resulting from any ideas, methods, instructions or products referred to in the content. |
© 2023 by the authors. Licensee MDPI, Basel, Switzerland. This article is an open access article distributed under the terms and conditions of the Creative Commons Attribution (CC BY) license (https://creativecommons.org/licenses/by/4.0/).
Share and Cite
Bukreev, D.A.; Derevyanko, M.S.; Semirov, A.V. Magnetoimpedance Effect in Cobalt-Based Amorphous Ribbons with an Inhomogeneous Magnetic Structure. Sensors 2023, 23, 8283. https://doi.org/10.3390/s23198283
Bukreev DA, Derevyanko MS, Semirov AV. Magnetoimpedance Effect in Cobalt-Based Amorphous Ribbons with an Inhomogeneous Magnetic Structure. Sensors. 2023; 23(19):8283. https://doi.org/10.3390/s23198283
Chicago/Turabian StyleBukreev, Dmitry A., Michael S. Derevyanko, and Alexander V. Semirov. 2023. "Magnetoimpedance Effect in Cobalt-Based Amorphous Ribbons with an Inhomogeneous Magnetic Structure" Sensors 23, no. 19: 8283. https://doi.org/10.3390/s23198283
APA StyleBukreev, D. A., Derevyanko, M. S., & Semirov, A. V. (2023). Magnetoimpedance Effect in Cobalt-Based Amorphous Ribbons with an Inhomogeneous Magnetic Structure. Sensors, 23(19), 8283. https://doi.org/10.3390/s23198283

