Wearable Bioimpedance-Based Deep Learning Techniques for Live Fish Health Assessment under Waterless and Low-Temperature Conditions
Abstract
:1. Introduction
2. Materials and Methods
2.1. Experimental Scheme for Health Evaluation
2.1.1. Experimental Equipment
2.1.2. Experimental Scheme
2.2. Health Monitoring System
2.2.1. Wearable Bioelectrical Bioimpedance Analysis (WBIA)
2.2.2. Data Preprocess
2.2.3. Stress Weight Allocation and WBIA Feature Selection
2.2.4. WBIA-Based Health Monitoring System
2.3. Health Level Assessment Modeling
2.3.1. Health Level Calculations
2.3.2. Deep Learning Models
2.3.3. Health Status Assessment and Classification Modeling
- Step 1.
- Calculate the nutrient-based weight calculation for stress indicators: using the GRA in Equation (7).
- Step 2.
- Eliminate the gross errors using the Romanovsky criterion in Equation (4).
- Step 3.
- Smooth the WBIA signals using the Savitzky–Golay filter in Equation (5).
- Step 4.
- Calculate the maximum mutual information between and according to Equation (8).
- Step 5.
- Select the maximum stress-related WBIA features if to establish a training data set.
- Step 6.
- Extract features of the WBIA series using a CNN: .
- Step 7.
- Utilize LSTM for the estimation of one stress each time and calculate the residual series with an attention mechanism.
- Step 8.
- Regress the residual series using the BiGRU network (hidden status: ) with an attention mechanism using Equations (12)–(14).
- Step 9.
- Input the learning features of the fully connected layer to generate an estimated stress result at time point , and then normalize the i-th stress to obtain .
- Step 10.
- Finally, evaluate the health status by the total normalized stress at time with the temperature zone () and the ZMF adjustment coefficients (a and b).
3. Results and Discussion
3.1. Evaluation Criterion
3.2. WBIA Feature Selection
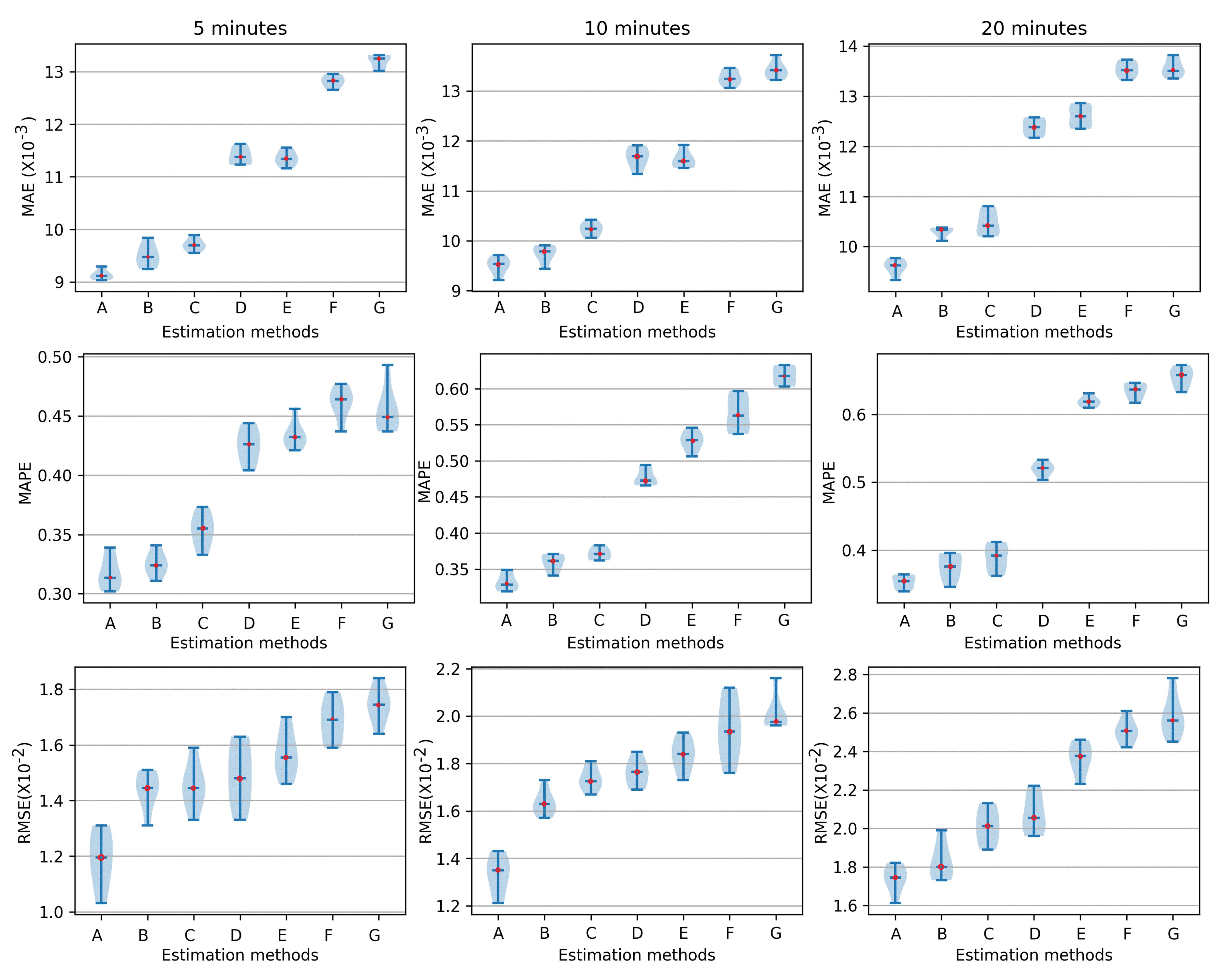
3.3. Stress Evaluation Verification
3.4. Health Fuzzy Evaluation Verification
3.5. System Evaluation and Suggestions
4. Conclusions
Author Contributions
Funding
Institutional Review Board Statement
Informed Consent Statement
Data Availability Statement
Acknowledgments
Conflicts of Interest
References
- Feng, H.; Fu, Y.; Huang, S.; Glamuzina, B.; Zhang, X. Novel flexible sensing technology for non-destructive detection on live fish health/quality during waterless and low-temperature transportation. Biosens. Bioelectron. 2023, 228, 115211. [Google Scholar] [CrossRef] [PubMed]
- Fan, X.; Qin, X.; Zhang, C.; Zhu, Q.; Chen, J.; Chen, P. Metabolic and anti-oxidative stress responses to low temperatures during the waterless preservation of the hybrid grouper (Epinephelus fuscogutatus female Epinephelus lanceolatus male). Aquaculture 2019, 508, 10–18. [Google Scholar] [CrossRef]
- Li, D.; Wang GDu, L.; Zheng, Y.; Wang, Z. Recent advances in intelligent recognition methods for fish stress behavior. Aquac. Eng. 2022, 96, 102222. [Google Scholar] [CrossRef]
- Zhang, Y.; Ning, Y.; Zhang, X.; Glamuzina, B.; Xing, S. Multi-Sensors-Based Physiological Stress Monitoring and Online Survival Prediction System for Live Fish Waterless Transportation. IEEE Access 2020, 99, 40955–40965. [Google Scholar] [CrossRef]
- Feng, H.; Zhang, M.; Gecevska, V.; Chen, B.; Saeed, R.; Zhang, X. Modeling and evaluation of quality monitoring based on wireless sensor and blockchain technology for live fish waterless transportation. Comput. Electron. Agric. 2022, 193, 106642. [Google Scholar] [CrossRef]
- Makaras, T.; Razumienė, J.; Gurevičienė, V.; Šakinytė, I.; Stankevičiūtė, M.; Kazlauskienė, N. A new approach of stress evaluation in fish using β-D-Glucose measurement in fish holding-water. Ecol. Indic. 2020, 109, 105829. [Google Scholar] [CrossRef]
- Sadoul, B.; Geffroy, B. Measuring cortisol, the major stress hormone in fishes. J. Fish Biol. 2019, 94, 540–555. [Google Scholar] [CrossRef] [PubMed]
- Xiong, X.; Tan, Y.; Mubango, E.; Shi, C.; Regenstein, J.M.; Yang, Q.; Hong, H.; Luo, Y. Rapid freshness and survival monitoring biosensors of fish: Progress, challenge, and future perspective. Trends Food Sci. Technol. 2022, 129, 61–73. [Google Scholar] [CrossRef]
- Nie, X.; Zhang, F.; Wang, T.; Zheng, X.; Li, Y.; Huang, B.; Zhang, C. Physiological and morphological changes in Turbot (Psetta maxima) gill tissue during waterless storage. Aquaculture 2019, 508, 30–35. [Google Scholar] [CrossRef]
- Herrera, M.; Salamanca, N.; Ferrer, J.; De La Rosa, I. Use of tissue chromogranin A as chronic and acute stress marker in fish. Aquaculture 2023, 565, 739120. [Google Scholar] [CrossRef]
- Takase, M.; Yoneyama, Y.; Murata, M.; Hibi, K.; Ren, H.; Endo, H. Mediator-type biosensor for real-time wireless monitoring of blood glucose concentrations in fish. Fish. Sci. 2012, 78, 691–698. [Google Scholar] [CrossRef]
- Wu, H.; Ohnuki, H.; Ota, S.; Murata, M.; Yoshiura, Y.; Endo, H. New approach for monitoring fish stress: A novel enzyme-functionalized label-free immunosensor system for detecting cortisol levels in fish. Biosens. Bioelectron. 2017, 93, 57–64. [Google Scholar] [CrossRef] [PubMed]
- Hibi, K.; Hatanaka, K.; Takase, M.; Ren, H.; Endo, H. Wireless Biosensor System for Real-Time L-Lactic Acid Monitoring in Fish. Sensors 2012, 12, 6269–6281. [Google Scholar] [CrossRef] [PubMed]
- Wang, M.; Yang, Y.; Mu, B.; Nikitina, M.A.; Xiao, X. Millimeter Wave-Based Non-Destructive Biosensor System for Live Fish Monitoring. Biosensors 2022, 12, 541. [Google Scholar] [CrossRef] [PubMed]
- Zhang, Y.; Xiao, X.; Feng, H.; Nikitina, M.A.; Zhang, X.; Zhao, Q. Stress fusion evaluation modeling and verification based on non-invasive blood glucose biosensors for live fish waterless transportation. Front. Sustain. Food Syst. 2023, 7, 1172522. [Google Scholar] [CrossRef]
- Feng, H.; Zhang, M.; Zhang, L.; Chen, B.; Zhang, X. Evaluation of dynamic stress level and physiological change for live salmon in waterless and low-temperature transportation. Aquaculture 2021, 544, 737128. [Google Scholar] [CrossRef]
- Saeed, R.; Feng, H.; Wang, X.; Zhang, X.; Fu, Z. Fish quality evaluation by sensor and machine learning: A mechanistic review. Food Control 2022, 137, 108902. [Google Scholar] [CrossRef]
- Fan, X.; Lin, X.; Wu, C.; Zhang, N.; Cheng, Q.; Qi, H.; Konno, K.; Dong, X. Estimating freshness of ice storage rainbow trout using bioelectrical impedance analysis. Food Sci. Nutr. 2020, 9, 154–163. [Google Scholar] [CrossRef]
- Yuan, P.; Wang, Y.; Miyazaki, R.; Liang, J.; Hirasaka, K.; Tachibana, K.; Taniyama, S. A convenient and nondestructive method using bioimpedance analysis to determine fish freshness during ice storage. Fish. Sci. 2018, 84, 1099–1108. [Google Scholar] [CrossRef]
- Sun, J.; Zhang, R.; Zhang, Y.; Liang, Q.; Li, G.; Yang, N.; Xu, P.; Guo, J. Classifying fish freshness according to the relationship between EIS parameters and spoilage stages. J. Food Eng. 2018, 219, 101–110. [Google Scholar] [CrossRef]
- Champion, C.; Hobday, A.J.; Pecl, G.T.; Tracey, S.R. Maximising the utility of bioelectrical impedance analysis for measuring fish condition requires identifying and controlling for sources of error. Fish. Res. 2020, 229, 105575. [Google Scholar] [CrossRef]
- Shahjahan, M.; Islam, J.; Hossain, T.; Alam Mishu, M.; Hasan, J.; Brown, C. Blood biomarkers as diagnostic tools: An overview of climate-driven stress responses in fish. Sci. Total Environ. 2022, 843, 156910. [Google Scholar] [CrossRef]
- Pali, M.; Garvey, J.E.; Small, B.; Suni, I.I. Detection of Fish Hormones by Electrochemical Impedance Spectroscopy and Quartz Crystal Microbalance. Sens. Bio-Sens. Res. 2017, 13, 1–8. [Google Scholar] [CrossRef]
- Hartman, K.J.; Margraf, F.J.; Hafs, A.W.; Cox, M.K. Bioelectrical Impedance Analysis: A New Tool for Assessing Fish Condition. Fisheries 2015, 40, 590–600. [Google Scholar] [CrossRef]
- Hafs, A.W.; Hartman, K.J. Development of temperature correction equations for bioelectrical impedance analysis models for brook trout Salvelinus fontinalis. J. Fish Biol. 2015, 86, 304–316. [Google Scholar] [CrossRef] [PubMed]
- Courtney, K.R.; Falke, J.A.; Cox, M.K.; Nichols, J. Energetic Status of Alaskan Chinook Salmon: Interpopulation Comparisons and Predictive Modeling Using Bioelectrical Impedance Analysis. N. Am. J. Fish. Manag. 2020, 40, 209–224. [Google Scholar] [CrossRef]
- Li, D.; Li, X.; Wang, Q.; Hao, Y. Advanced Techniques for the Intelligent Diagnosis of Fish Diseases: A Review. Animals 2022, 12, 2938. [Google Scholar] [CrossRef]
- Cano-Garcia, H.; Saha, S.; Sotiriou, I.; Kosmas, P.; Gouzouasis, I.; Kallos, E. Millimeter-Wave Sensing of Diabetes-Relevant Glucose Concentration Changes in Pigs. J. Infrared Millim. Terahertz Waves 2018, 39, 761–772. [Google Scholar] [CrossRef]
- Juan, C.G.; García, H.; Ávila-Navarro, E.; Bronchalo, E.; Galiano, V.; Moreno, Ó.; Orozco, D.; Sabater-Navarro, J.M. Feasibility study of portable microwave microstrip open-loop resonator for non-invasive blood glucose level sensing: Proof of concept. Med. Biol. Eng. Comput. 2019, 57, 2389–2405. [Google Scholar] [CrossRef]
- Endo, H.; Wu, H. Biosensors for the assessment of fish health: A review. Fish. Sci. 2019, 85, 641–654. [Google Scholar] [CrossRef]
- Yu, R.H.; Rhee, S.Y.; Kim, K.H. Basic Study on Measurement of Return Loss and Smith Chart Change Using Microstrip Patch Antenna with Concentration Transition for Non-invasive Blood Glucose Measurement. J. Electr. Eng. Technol. 2023, 18, 1389–1396. [Google Scholar] [CrossRef] [PubMed]
- Endo, H.; Takahashi, E.; Murata, M.; Ohnuki, H.; Ren, H.; Tsugawa, W.; Sode, K. Wireless monitoring of blood glucose levels in flatfish with a needle biosensor. Fish. Sci. 2010, 76, 687–694. [Google Scholar] [CrossRef]
- Pautsina, A.; Císař, P.; Štys, D.; Terjesen, B.F.; Espmark, M.O. Infrared reflection system for indoor 3D tracking of fish. Aquac. Eng. 2015, 69, 7–17. [Google Scholar] [CrossRef]
- Zhang, L.; Li, Y.; Du, J.; Mu, B.; Hu, J.; Zhang, X. Flexible bioimpedance-based dynamic monitoring of stress levels in live oysters. Aquaculture 2023, 577, 39957. [Google Scholar] [CrossRef]
- Ermolaev, V.I. Correlation between algal species diversity index and phytoplankton community biomass in a mesotrophic lake (West Siberia, Russia). Contemp. Probl. Ecol. 2009, 2, 388–391. [Google Scholar] [CrossRef]
- Rahman, A.; Kondo, N.; Ogawa, Y.; Suzuki, T.; Shirataki, Y.; Wakita, Y. Prediction of K value for fish flesh based on ultraviolet–visible spectroscopy of fish eye fluid using partial least squares regression. Comput. Electron. Agric. 2015, 117, 149–153. [Google Scholar] [CrossRef]
- Nowak, L.J.; Lankheet, M. Fish Detection Using Electrical Impedance Spectroscopy. IEEE Sens. J. 2022, 22, 20855–20865. [Google Scholar] [CrossRef]
- Yuan, P.; Jiang, T.; Hirasaka, K.; Wang, Y.; Matsuo, K.; Miyazaki, R.; Tachibana, K.; Taniyama, S. Application of Bio-Impedance Analysis to Estimate the Condition of Yellowtail (Seriola quinqueradiata) Muscle at Different Storage Temperatures. Bioelectromagnetics 2019, 40, 488–497. [Google Scholar] [CrossRef]
- Yin, K.; Xu, Y.; Li, X.; Jin, X. Sectoral relationship analysis on China’s marine-land economy based on a novel grey periodic relational model. J. Clean. Prod. 2018, 197, 815–826. [Google Scholar] [CrossRef]
- Wang, Y.; Tang, H.; Wen, T.; Ma, J. A hybrid intelligent approach for constructing landslide displacement prediction intervals. Appl. Soft Comput. 2019, 81, 105506. [Google Scholar] [CrossRef]
- Martin, D.M.; Hermoso, V.; Pantus, F.; Olley, J.; Linke, S.; Poff, N.L. A proposed framework to systematically design and objectively evaluate non-dominated restoration tradeoffs for watershed planning and management. Ecol. Econ. 2016, 127, 146–155. [Google Scholar] [CrossRef]
- Livieris, I.E.; Pintelas, E.; Pintelas, P. A CNN–LSTM model for gold price time-series forecasting. Neural Comput. Appl. 2020, 32, 17351–17360. [Google Scholar] [CrossRef]
- Wu, Y.; Wang, X.; Wang, L.; Zhang, X.; Shi, Y.; Jiang, Y. Dynamic and explainable fish mortality prediction under low-concentration ammonia nitrogen stress. Biosyst. Eng. 2023, 228, 178–192. [Google Scholar] [CrossRef]
- Fish, J.; Yu, Y. Data-physics driven reduced order homogenization. Int. J. Numer. Methods Eng. 2023, 124, 1620–1645. [Google Scholar] [CrossRef]
- Liu, J.; Zhang, L.; Li, Y.; Liu, H. Deep residual convolutional neural network based on hybrid attention mechanism for ecological monitoring of marine fishery. Ecol. Inform. 2023, 77, 102204. [Google Scholar] [CrossRef]
- Al Muksit, A.; Hasan, F.; Emon, F.H.B.; Haque, R.; Anwary, A.R.; Shatabda, S. YOLO-Fish: A robust fish detection model to detect fish in realistic underwater environment. Ecol. Inform. 2022, 72, 101847. [Google Scholar] [CrossRef]
- Detrez, E.; Kerzérho, V.; Belhaj, M.M.; Vergnet, A.; De Verdal, H.; Rouyer, T.; Bonhommeau, S.; Lamlih, A.; Julien, M.; Ali, F.B.; et al. Study differentiating fish oocyte developmental stages using bioimpedance spectroscopy, Aquaculture, 2022,547: 737396. Aquaculture 2022, 547, 737396. [Google Scholar] [CrossRef]
- Zhang, Z.; Li, X.; Tian, J.; Chen, J.; Gao, G. A review: Application and research progress of bioimpedance in meat quality inspection. J. Food Process Eng. 2022, 45, e14153. [Google Scholar] [CrossRef]
- Melado-Herreros, Á.; Nieto-Ortega, S.; Olabarrieta, I.; Ramilo-Fernández, G.; Sotelo, C.G.; Teixeira, B.; Velasco, A.; Mendes, R. Comparison of three rapid non-destructive techniques coupled with a classifier to increase transparency in the seafood value chain: Bioelectrical impedance analysis (BIA), near-infrared spectroscopy (NIR) and time domain reflectometry (TDR). J. Food Eng. 2022, 322, 110979. [Google Scholar] [CrossRef]
- Kerzérho, V.; Azaïs, F.; Bernard, S.; Bonhommeau, S.; Brisset, B.; De Knyff, L.; Julien, M.; Renovell, M.; Rouyer, T.; Saraux, C.; et al. Multilinear Regression Analysis between Local Bioimpedance Spectroscopy and Fish Morphological Parameters. Fishes 2023, 8, 88. [Google Scholar] [CrossRef]









| Measurement Mode | Detection Means | Pros | Cons | References |
|---|---|---|---|---|
| Invasive blood stress factors test | Vein blood extraction from fishtail or tail amputation extraction; blood analysis (microplate reader, medical blood analysis equipment) | Rich detection indicators; the comprehensive reflection of fish stress and health status; high accuracy | Injury or fatal to the fish; no in situ-based test; discontinuous; unable to truly reflect fish dynamic health level | [9,10] |
| Minimally invasive blood factors test | Implantation of biosensors in fish eye interstitial fluid | Dynamically collect changes in blood glucose, sterols, lactate, and cortisol levels of fish | Anesthetize the fish before deploying the sensors; may cause discomfort; may introduce additional stress | [11,12,13] |
| Non-invasive stress detection | Applying acceleration sensors; multi-gas sensors; fish skin mucus sensors; millimeter-level radar wave-based sensors for health monitoring | Easy sensor deployment and monitoring carrying out; non-invasive and continuous health status detections | Cannot accurately reflect stress and health status; easily influenced by variations in surroundings | [14,15,16,17] |
| Bioimpedance (Frequency: 30–100 KHZ; Interval: 10 KHZ) | Glucose | Lactate | Cortisol |
|---|---|---|---|
| 30 | 0.225 | 0.378 | 0.225 |
| 40 | 0.378 | 0.378 | 0.378 |
| 50 | 0.558 | 0.558 | 0.558 |
| 60 | 0.225 | 0.558 | 0.225 |
| 70 | 0.791 | 0.991 | 0.791 |
| 80 | 0.991 | 0.991 | 0.991 |
| 90 | 0.991 | 0.991 | 0.991 |
| 100 | 0.991 | 0.991 | 0.991 |
| Phase (Frequency: 30–100 KHZ; Interval: 10 KHZ) | Glucose | Lactate | Cortisol |
|---|---|---|---|
| 30 | 0.5900 | 0.5577 | 0.5900 |
| 40 | 0.5577 | 0.5900 | 0.5577 |
| 50 | 0.5900 | 0.5900 | 0.5900 |
| 60 | 0.5900 | 0.5900 | 0.5900 |
| 70 | 0.9911 | 0.9911 | 0.9911 |
| 80 | 0.9911 | 0.9911 | 0.9911 |
| 90 | 0.9911 | 0.9911 | 0.9911 |
| 100 | 0.4789 | 0.5789 | 0.3789 |
| Health Levels | Respiratory Rate (times/min) | Gill Flapping Amplitude | Body Surface Color | Converged Fin Angle | Behavior Changes | Duration (hours) |
|---|---|---|---|---|---|---|
| SLL | 16–21 | Normal | Normal | Normal | The respiratory rate is lower than normal, with regular intermittent oscillations of the side fins | 0–12 |
| MLL | 12–15 | Slightly reduced | Partially Slightly darkening | Basic | The respiratory rate is even more lower than normal, and the edge fins occasionally oscillate | 13–48 |
| BLL | 9–11 | Reduced | Overall darkening | Normal | Breathing weakly, and the side fins are not swinging | 49–72 |
| WLL | 6–8 | Weak | Overall darkening and Partial graying | Slightly | Intermittent cessation of breathing and with low frequency, body stiffness | 73–84 |
| DS | 0 | Motionless | Overall darkening, large area grayish white | Converged | Repeated stimulation without response, the disappearance of vital signs | Larger than 84 |
| Temperature Ranges | Health Status | Suggested Health Score Ranges | Total Normalized Stress Ranges |
|---|---|---|---|
| 1–3 °C | SLL | [1, 0.857) | 0 0.406 |
| MLL | [0.857, 0.429) | 0.406 0.625 | |
| BLL | [0.429, 0.143) | 0.625 0.783 | |
| WLL | [0.143, 0.131) | 0.783 0.792 | |
| DS | [0.131, 0) | 0.792 1 | |
| 3–6 °C | SLL | [1, 0.857) | 0 0.368 |
| MLL | [0.857, 0.429) | 0.368 0.597 | |
| BLL | [0.429, 0.143) | 0.597 0.767 | |
| WLL | [0.143, 0.131) | 0.767 0.779 | |
| DS | [0.131, 0) | 0.779 1 |
| Temperature Ranges | Criterion | Scores |
|---|---|---|
| 1–3 °C | Precision (micro) | 0.917 |
| Recall (micro) | 0.917 | |
| Precision (macro) | 0.938 | |
| Recall (macro) | 0.917 | |
| Accuracy | 0.917 | |
| F1 score (micro) | 0.917 | |
| F1 score (macro) | 0.914 | |
| 3–6 °C | Precision (micro) | 0.832 |
| Recall (micro) | 0.833 | |
| Precision (macro) | 0.875 | |
| Recall (macro) | 0.831 | |
| Accuracy | 0.833 | |
| F1 score (micro) | 0.833 | |
| F1 score (macro) | 0.829 |
| Content | Previous Health Monitoring System | WBIA-Based Health Monitoring System | Suggestion |
|---|---|---|---|
| Acquisition mode of stress factors | Invasive; minimal invasive; destructive | Non-invasive; wearable | Improvement of WBIA sensors’ flexibility and conformability; reducing the deformation interferences |
| Multiple stress detection | Relatively simple features for stress signal extractions; cannot track various stress indexes at one time | Multiple frequencies and multiple features in WBIA for selections; can track multiple stress indexes at one time | To select more suitable referenced WBIA features |
| Weights of stress factors | No definition or calculations | To scientifically allocate the weight of the specified stresses | To dynamically assign the weight for each stress factor during the health status monitoring |
| Stress evaluation and health classification | Less accuracy; relatively simple modeling; less reasonable mapping calculation; only based on blood biomarkers | More accuracy; deep learning-based modeling; continuous fuzzy mapping based on the blood biomarkers and muscle nutrients | To extend the stress factors (not confined to glucose, lactate, and cortisol) for health evaluations |
Disclaimer/Publisher’s Note: The statements, opinions and data contained in all publications are solely those of the individual author(s) and contributor(s) and not of MDPI and/or the editor(s). MDPI and/or the editor(s) disclaim responsibility for any injury to people or property resulting from any ideas, methods, instructions or products referred to in the content. |
© 2023 by the authors. Licensee MDPI, Basel, Switzerland. This article is an open access article distributed under the terms and conditions of the Creative Commons Attribution (CC BY) license (https://creativecommons.org/licenses/by/4.0/).
Share and Cite
Zhang, Y.; Chen, L.; Feng, H.; Xiao, X.; Nikitina, M.A.; Zhang, X. Wearable Bioimpedance-Based Deep Learning Techniques for Live Fish Health Assessment under Waterless and Low-Temperature Conditions. Sensors 2023, 23, 8210. https://doi.org/10.3390/s23198210
Zhang Y, Chen L, Feng H, Xiao X, Nikitina MA, Zhang X. Wearable Bioimpedance-Based Deep Learning Techniques for Live Fish Health Assessment under Waterless and Low-Temperature Conditions. Sensors. 2023; 23(19):8210. https://doi.org/10.3390/s23198210
Chicago/Turabian StyleZhang, Yongjun, Longxi Chen, Huanhuan Feng, Xinqing Xiao, Marina A. Nikitina, and Xiaoshuan Zhang. 2023. "Wearable Bioimpedance-Based Deep Learning Techniques for Live Fish Health Assessment under Waterless and Low-Temperature Conditions" Sensors 23, no. 19: 8210. https://doi.org/10.3390/s23198210
APA StyleZhang, Y., Chen, L., Feng, H., Xiao, X., Nikitina, M. A., & Zhang, X. (2023). Wearable Bioimpedance-Based Deep Learning Techniques for Live Fish Health Assessment under Waterless and Low-Temperature Conditions. Sensors, 23(19), 8210. https://doi.org/10.3390/s23198210

