Detection of Water Contaminants by Organic Transistors as Gas Sensors in a Bottom-Gate/Bottom-Contact Cross-Linked Structure
Abstract
:1. Introduction
2. Materials and Methods
2.1. Materials
2.2. Device Processing
- (A) room temperature and 1 atm in a fume hood overnight;
- (EA) room temperature and 0.2 bar in a vacuum oven for 20 min;
- (H80) 80 C and 1 atm on a hot plate in a fume hood for 20 min;
- (E80) 80 C and 0.2 bar in a vacuum oven for 20 min;
- (H150) 150 C and 1 atm on a hot plate in a fume hood for 20 min;
- (E150) 150 C and 0.2 bar in a vacuum oven for 20 min;
- (H150N) 150 C and 1 atm on a hot plate inside an N-filled glovebox (i.e., O and moisture levels under 10 ppm) for 20 min.
2.3. Morphological and Surface Characterization
2.4. Electrical Characterization
2.4.1. Capacitors
2.4.2. Transistors
2.5. Gas-Sensing Measurements
3. Results and Discussion
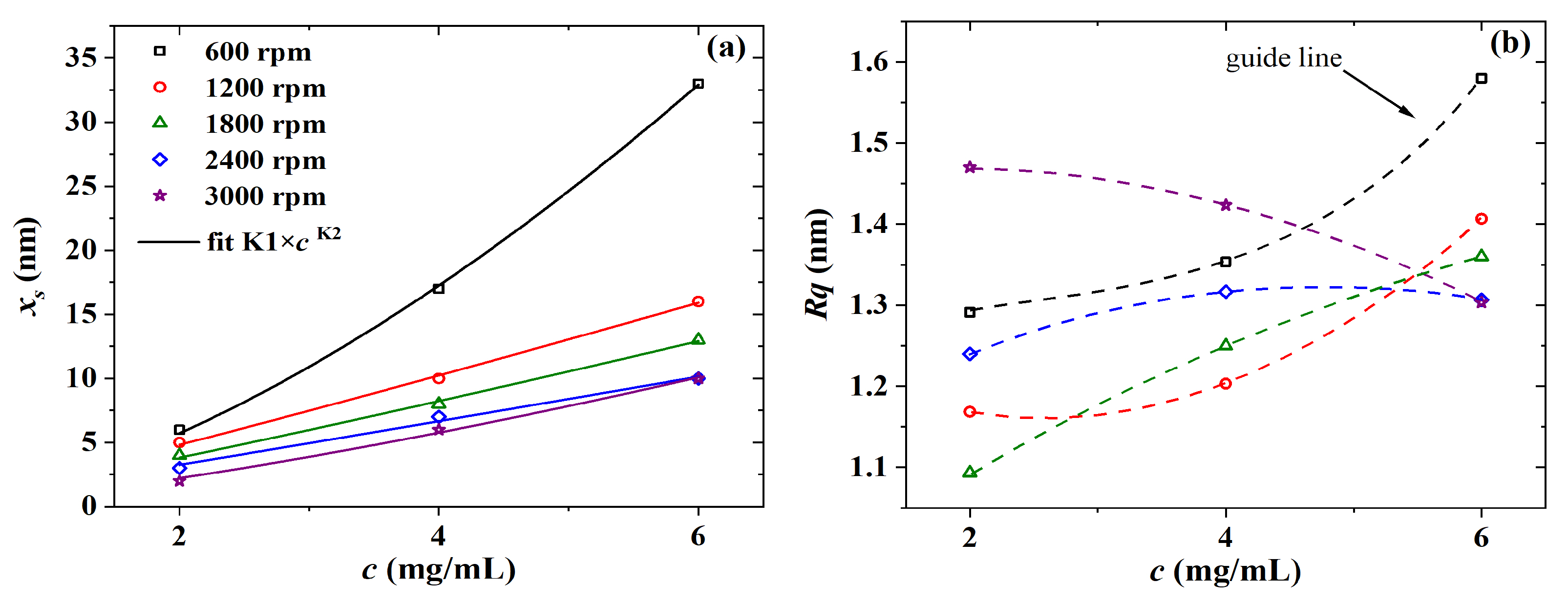
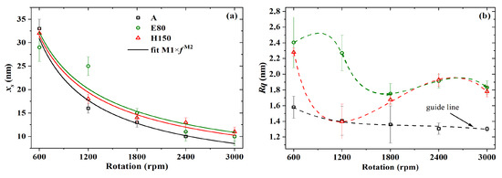
3.1. Morphological and Surface Studies of PBTTT-C14 Thin Films
3.2. Validation of PVP:PMF Cross-Linking from Optical and Electrical Measurements
3.3. PBTTT-C14 Transistor Characterization
3.4. Gas-Sensing Response
4. Conclusions
Supplementary Materials
Author Contributions
Funding
Institutional Review Board Statement
Informed Consent Statement
Data Availability Statement
Acknowledgments
Conflicts of Interest
References
- Chou, W.-Y.; Fang, P.-H.; Fang, P.-H.; Wu, F.-C.; Tien, Y.-C.; Sheu, H.-S.; Cheng, H.-L.; Ruan, J. Air-Stable Crystalline Polymer-Based Field-Effect Transistors Fabricated by a Thermal Gradient Process. Cryst. Growth Des. 2022, 22, 3760–3769. [Google Scholar] [CrossRef]
- Singh, A.K.; Dwivedi, A.D.D.; Pandey, A.; Chakrabarti, P. Design and implementation of an inverter and its application in ring oscillator circuits using an organic-thin-film-transistor based on an FTM-derived channel. Semicond. Sci. Technol. 2021, 36, 125006. [Google Scholar] [CrossRef]
- Dumitru, L.M.; Manoli, K.; Magliulo, M.; Sabbatini, L.; Palazzo, G.; Torsi, L. Plain poly(acrylic acid) gated organic field-effect transistors on a flexible substrate. ACS Appl. Mater. Interfaces 2013, 5, 10819–10823. [Google Scholar] [CrossRef] [PubMed]
- Sun, J.; Park, H.; Jung, Y.; Rajbhandari, G.; Maskey, B.B.; Sapkota, A.; Azuma, Y.; Majima, Y.; Cho, G. Proving scalability of an organic semiconductor to print a TFT-Active Matrix using a Roll-to-Roll gravure. ACS Omega 2017, 2, 5766–5774. [Google Scholar] [CrossRef] [PubMed]
- Doumbia, A.; Tong, J.; Wilson, R.J.; Turner, M.L. Investigation of the Performance of Donor–Acceptor Conjugated Polymers in Electrolyte-Gated Organic Field-Effect Transistors. Adv. Electron. Mater. 2021, 7, 2100071. [Google Scholar] [CrossRef]
- Cavallari, M.R.; Izquierdo, J.E.E.; Braga, G.S.; Dirani, E.A.T.; Pereira-da-Silva, M.A.; Rodríguez, E.F.G.; Fonseca, F.J. Enhanced Sensitivity of Gas Sensor Based on Poly(3-hexylthiophene) Thin-Film Transistors for Disease Diagnosis and Environment Monitoring. Sensors 2015, 15, 9592–9609. [Google Scholar] [CrossRef] [PubMed]
- Lu, L.; Deng, S.; Zhu, Z.; Tian, S. Classification of rice by combining electronic tongue and nose. Food Anal. Methods 2015, 8, 1893–1902. [Google Scholar] [CrossRef]
- Hayasaka, T.; Lin, A.; Copa, V.C.; Lopez, L.P., Jr.; Loberternos, R.A.; Ballesteros, L.I.M.; Kubota, Y.; Liu, Y.; Salvador, A.A.; Lin, L. An electronic nose using a single graphene FET and machine learning for water, methanol, and ethanol. Microsyst. Nanoeng. 2020, 6, 50. [Google Scholar] [CrossRef]
- Nurputra, D.K.; Kusumaatmaja, A.; Hakim, M.S.; Hidayat, S.N.; Julian, T.; Sumanto, B.; Mahendradhata, Y.; Saktiawati, A.M.I.; Wasisto, H.S.; Triyana, K. Fast and noninvasive electronic nose for sniffing out COVID-19 based on exhaled breath-print recognition. NPJ Digit. Med. 2022, 5, 115. [Google Scholar] [CrossRef]
- Cavallari, M.R.; Pastrana, L.M.; Sosa, C.D.F.; Marquina, A.M.R.; Izquierdo, J.E.E.; Fonseca, F.J.; Amorim, C.A.; Paterno, L.G.; Kymissis, I. Organic Thin-Film Transistors as Gas Sensors: A Review. Materials 2021, 14, 3. [Google Scholar] [CrossRef]
- Ferreira Filho, S.S.; Alves, R. Técnicas de avaliação de gosto e odor em águas de abastecimento: Método analítico, análise sensorial e percepção dos consumidores. Eng. Sanit. Ambient. 2006, 11, 362–370. [Google Scholar] [CrossRef]
- Chislock, M.F.; Olsen, B.K.; Choi, J.; Abebe, A.; Bleier, T.L.; Wilson, A.E. Contrasting patterns of 2-methylisoborneol (MIB) vs. geosmin across depth in a drinking water reservoir are mediated by cyanobacteria and actinobacteria. Environ. Sci. Pollut. Res. 2021, 28, 32005–32014. [Google Scholar] [CrossRef]
- Devi, A.; Chiu, Y.-T.; Hsueh, H.-T.; Lin, T.-F. Quantitative PCR based detection system for cyanobacterial geosmin/2-methylisoborneol (2-MIB) events in drinking water sources: Current status and challenges. Water Res. 2021, 188, 116478. [Google Scholar] [CrossRef] [PubMed]
- Braga, G.S.; Paterno, L.G.; Fonseca, F.J. Off-flavors monitoring in raw and treated water by means of an electronic tongue system. In Proceedings of the 14th International Meeting on Chemical Sensors 2012 (IMCS 2012), Nuremberg, Germany, 20–23 May 2012; pp. 1243–1245. [Google Scholar] [CrossRef]
- Mustapha, S.; Tijani, J.O.; Ndamitso, M.M.; Abdulkareem, A.S.; Shuaib, D.T.; Mohammed, A.K. A critical review on geosmin and 2-methylisoborneol in water: Sources, effects, detection, and removal techniques. Environ. Monit. Assess. 2021, 193, 204. [Google Scholar] [CrossRef] [PubMed]
- Wu, T.; Zhu, G.; Wang, Z.; Zhu, M.; Xu, H. Seasonal dynamics of odor compounds concentration driven by phytoplankton succession in a subtropical drinking water reservoir, southeast China. J. Hazard. Mater. 2022, 425, 128056. [Google Scholar] [CrossRef] [PubMed]
- Xu, H.; Zhang, J.; Wang, W.; Li, Y.; Pei, H. Moderate pre-ozonation coupled with a post-peroxone process remove filamentous cyanobacteria and 2-MIB efficiently: From bench to pilot-scale study. J. Hazard. Mater. 2022, 424, 127530. [Google Scholar] [CrossRef] [PubMed]
- Lu, Q.; Zou, Y.; Zhang, Y.; Huang, L.; Liu, H.; Dong, Z.; Yin, X.; Storebakken, T. The ratio between digestible protein and digestible energy affects accumulation and depuration of geosmin and 2-methylisoborneol (2-MIB) in Japanese seabass (Lateolabrax japonicus) raised in a recirculated aquaculture system. Aquac. Res. 2022, 53, 75–86. [Google Scholar] [CrossRef]
- Son, M.; Cho, D.-G.; Lim, J.H.; Park, J.; Hong, S.; Ko, H.J.; Park, T.H. Real-time monitoring of geosmin and 2-methylisoborneol, representative odor compounds in water pollution using bioelectronic nose with human-like performance. Biosens. Bioelectron. 2015, 74, 199–206. [Google Scholar] [CrossRef]
- Park, S.J.; Seo, S.E.; Kim, K.H.; Lee, S.H.; Kim, J.; Ha, S.; Song, H.S.; Lee, S.H.; Kwon, O.S. Real-time monitoring of geosmin based on an aptamer-conjugated graphene field-effect transistor. Biosens. Bioelectron. 2021, 174, 112804. [Google Scholar] [CrossRef]
- Yu, S.H.; Cho, J.; Sim, K.M.; Ha, J.U.; Chung, D.S. Morphology-driven high-performance polymer transistor-based ammonia gas sensor. ACS Appl. Mater. Interfaces 2016, 8, 6570–6576. [Google Scholar] [CrossRef]
- Sahu, P.K.; Chandra, L.; Pandey, R.K.; Mehta, N.S.; Dwivedi, R.; Mishra, V.N.; Prakash, R. Fast Development of Self-Assembled, Highly Oriented Polymer Thin Film and Observation of Dual Sensing Behavior of Thin Film Transistor for Ammonia Vapor. Macromol. Chem. Phys. 2019, 220, 1900010. [Google Scholar] [CrossRef]
- Singh, A.K.; Pandey, A.; Chakrabarti, P. Poly[2,5-bis(3-tetradecylthiophen-2-yl) thieno [3,2-b] thiophene] organic polymer based-interdigitated channel enabled thin film transistor for detection of selective low ppm Ammonia sensing at 25 °C. IEEE Sens. J. 2020, 20, 4047–4055. [Google Scholar] [CrossRef]
- Lee, M.J.; Gupta, D.; Zhao, N.; Heeney, M.; McCulloch, I.; Sirringhaus, H. Anisotropy of charge transport in a uniaxially aligned and chain-extended, high-mobility, conjugated polymer semiconductor. Adv. Funct. Mater. 2011, 21, 932–940. [Google Scholar] [CrossRef]
- Dumitru, L.M.; Manoli, K.; Magliulo, M.; Palazzo, G.; Torsi, L. Low-voltage solid electrolyte-gated OFETs for gas sensing applications. Microelectron. J. 2014, 45, 1679–1683. [Google Scholar] [CrossRef]
- Zan, H.W.; Li, C.H.; Yu, C.K.; Meng, H.F. Sensitive gas sensor embedded in a vertical polymer space-charge-limited transistor. Appl. Phys. Lett. 2012, 101, 023303. [Google Scholar] [CrossRef]
- Wu, M.; Hou, S.; Yu, X.; Yu, J. Recent progress in chemical gas sensors based on organic thin film transistors. J. Mater. Chem. C 2020, 8, 13482–13500. [Google Scholar] [CrossRef]
- Kang, D.-H.; Choi, W.-Y.; Woo, H.; Jang, S.; Park, H.Y.; Shim, J.; Choi, J.-W.; Kim, S.; Jeon, S.; Lee, S.; et al. Poly-4-vinylphenol (PVP) and Poly(melamine-co-formaldehyde) (PMF)-based atomic switching device and its application to logic gate circuits with low operating voltage. ACS Appl. Mater. Interfaces 2017, 9, 27073–27082. [Google Scholar] [CrossRef]
- Schuettfort, T.; Watts, B.; Thomsen, L.; Lee, M.; Sirringhaus, H.; McNeill, C.R. Microstructure of polycrystalline PBTTT films: Domain mapping and structure formation. ACS Nano 2012, 6, 1849–1864. [Google Scholar] [CrossRef]
- Surya, S.G.; Raval, H.N.; Ahmad, R.; Sonar, P.; Salama, K.N.; Rao, V.R. Organic field effect transistors (OFETs) in environmental sensing and health monitoring: A review. TrAC Trends Analyt. Chem. 2019, 111, 27–36. [Google Scholar] [CrossRef]
- Xue, X.; Chandler, G.; Zhang, X.; Kline, R.J.; Fei, Z.; Heeney, M.; Diemer, P.J.; Jurchescu, O.D.; O’Connor, B.T. Oriented Liquid Crystalline Polymer Semiconductor Films with Large Ordered Domains. ACS Appl. Mater. Interfaces 2015, 7, 26726–26734. [Google Scholar] [CrossRef]
- Paternò, G.; Robbiano, V.; Fraser, K.; Frost, C.; García Sakai, V.; Cacialli, F. Neutron Radiation Tolerance of Two Benchmark Thiophene-Based Conjugated Polymers: The Importance of Crystallinity for Organic Avionics. Sci. Rep. 2017, 7, 41013. [Google Scholar] [CrossRef] [PubMed]
- Lee, M.J.; Chen, Z.; di Pietro, R.; Heeney, M.; Sirringhaus, H. Electrooptical spectroscopy of uniaxially aligned polythiophene films in field-effect transistors. Chem. Mater. 2013, 25, 2075–2082. [Google Scholar] [CrossRef]
- Ajoyan, Z.; Copeman, C.; Bicalho, H.A.; Do, J.-L.; Te, T.; Romero, J.; Howarth, A.J. A Simple Method for Teaching Bragg’s Law in an Undergraduate Teaching Laboratory with the Use of Metal–Organic Frameworks. J. Chem. Educ. 2023, 100, 1990–1996. [Google Scholar] [CrossRef]
- Kaiser, C.J. The Capacitor Handbook; Springer Science and Business Media: Berlin, Germany, 2012. [Google Scholar]
- Cavallari, M.R.; Zanchin, V.R.; Valle, M.A.; Izquierdo, J.E.E.; Rodríguez, E.M.; Rodríguez, E.F.G.; Pereira-da-Silva, M.A.; Fonseca, F.J. On the Performance Degradation of Poly(3-Hexylthiophene) Field-Effect Transistors. IEEE Trans. Device Mater. Reliab. 2015, 15, 342–351. [Google Scholar] [CrossRef]
- Izquierdo, J.E.E.; Oliveira, J.D.S.; Nogueira, V.A.M.; García, D.C.; Cavallari, M.R.; Kymissis, I.; Fonseca, F.J. Bias Stress in Organic Thin-Film Transistors Towards Low-Cost Flexible Gas Sensors. J. Integr. Circuits Syst. 2021, 16, 11. [Google Scholar] [CrossRef]
- Simoen, E.; Claeys, C.; Martino, J. Parameter Extraction of MOSFETs Operated at Low Temperature. J. Phys. IV 1996, 6, C3-29–C3-42. [Google Scholar] [CrossRef]
- Xu, Y.; Sun, H.; Liu, A.; Zhu, H.; Li, B.; Minari, T.; Balestra, F.; Ghibaudo, G.; Noh, Y.-Y. Essential Effects on the Mobility Extraction Reliability for Organic Transistors. Adv. Funct. Mater. 2018, 28, 1803907. [Google Scholar] [CrossRef]
- Terao, A.; Flandre, D.; Lora-Tamayo, E.; Van de Wiele, F. Measurement of threshold voltages of thin-film accumulation-mode PMOS/SOI transistors. IEEE Electron Device Lett. 1991, 12, 682–684. [Google Scholar] [CrossRef]
- Chudpooti, N.; Duangrit, N.; Sangpet, P.; Akkaraekthalin, P.; Imberg, B.U.; Robertson, I.D.; Somjit, N. In-Situ Self-Aligned NaCl-Solution Fluidic-Integrated Microwave Sensors for Industrial and Biomedical Applications. IEEE Access 1991, 8, 188897–188907. [Google Scholar] [CrossRef]
- Lai, Y.-T.; Kuo, J.-C.; Yang, Y.-J. A novel gas sensor using polymer-dispersed liquid crystal doped with carbon nanotubes. Sens. Actuator A Phys. 2014, 215, 83–88. [Google Scholar] [CrossRef]
- Peregrino, P.P.; Cavallari, M.R.; Fonseca, F.J.; Moreira, S.G.C.; Sales, M.J.A.; Paterno, L.G. Starch-Mediated Immobilization, Photochemical Reduction, and Gas Sensitivity of Graphene Oxide Films. ACS Omega 2020, 5, 5001–5012. [Google Scholar] [CrossRef] [PubMed]
- Braga, G.S.; Paterno, L.G.; Fonseca, F.J. Performance of an electronic tongue during monitoring 2-methylisoborneol and geosmin in water samples. Sens. Actuators B Chem. 2012, 171–172, 181–189. [Google Scholar] [CrossRef]
- Walsh, C.B.; Franses, E.I. Ultrathin PMMA films spin-coated from toluene solutions. Thin Solid Films 2003, 429, 71–76. [Google Scholar] [CrossRef]
- Schubert, D.W.; Dunkel, T. Spin coating from a molecular point of view: Its concentration regimes, influence of molar mass and distribution. Mater. Res. Innov. 2003, 7, 314–321. [Google Scholar] [CrossRef]
- Tippo, T.; Thanachayanont, C.; Muthitamongkol, P.; Junin, C.; Hietschold, M.; Thanachayanont, A. The effects of solvents on the properties of ultra-thin poly (methyl methacrylate) films prepared by spin coating. Thin Solid Films 2013, 546, 180–184. [Google Scholar] [CrossRef]
- Wang, Y.; Feng, J.; Jin, L.; Li, C.; Gao, L. Investigation of epitaxial growth of La2Zr2O7 thin films with different carbonaceous phases. J. Mater. Sci. Mater. Electron. 2020, 31, 5573–5583. [Google Scholar] [CrossRef]
- Chang, C.-C.; Pai, C.-L.; Chen, W.-C.; Jenekhe, S.A. Spin coating of conjugated polymers for electronic and optoelectronic applications. Thin Solid Films 2005, 479, 254–260. [Google Scholar] [CrossRef]
- Yimsiri, P.; Mackley, M.R. Spin and dip coating of light-emitting polymer solutions: Matching experiment with modelling. Chem. Eng. Sci. 2006, 61, 3496–3505. [Google Scholar] [CrossRef]
- Braga, G.S.; Paterno, L.G.; Lima, J.P.H.; Fonseca, F.J.; Andrade, A.M. Influence of the deposition parameters on the morphology and electrical conductivity of PANI/PSS self-assembled films. Mater. Sci. Eng. C 2008, 28, 555–562. [Google Scholar] [CrossRef]
- Seekaew, Y.; Lokavee, S.; Phokharatkul, D.; Wisitsoraat, A.; Kerdcharoen, T.; Wongchoosuk, C. Low-cost and flexible printed graphene–PEDOT:PSS gas sensor for ammonia detection. Org. Electron. 2014, 15, 2971–2981. [Google Scholar] [CrossRef]
- Zhi, D.; Zhang, E.; Zhang, B.; Zhang, F. Advances in morphology control of organic semiconductor enabled organic transistor-based chemical sensors. Mol. Syst. Des. Eng. 2022, 7, 553–568. [Google Scholar] [CrossRef]
- Cho, E.; Risko, C.; Kim, D.; Gysel, R.; Cates, N.; Breiby, D.W.; McGehee, M.D.; Toney, M.F.; Kline, R.J.; Bredas, J.-L. Three-dimensional packing structure and electronic properties of biaxially oriented poly(2,5-bis(3-alkylthiophene-2-yl)thieno[3,2-b]thiophene) films. J. Am. Chem. Soc. 2012, 134, 6177–6190. [Google Scholar] [CrossRef] [PubMed]
- DeLongchamp, D.M.; Kline, R.J.; Jung, Y.; Germack, D.S.; Lin, E.K.; Moad, A.J.; Richter, L.J.; Toney, M.F.; Heeney, M.; McCulloch, I. Controlling the Orientation of Terraced Nanoscale “Ribbons” of a Poly(thiophene) Semiconductor. ACS Nano 2009, 3, 780–787. [Google Scholar] [CrossRef]
- Wang, S.; Tang, J.-C.; Zhao, L.-H.; Png, R.-Q.; Wong, L.-Y.; Chia, P.-J.; Chan, H.S.O.; Ho, P.K.-H.; Chua, L.-L. Solvent effects and multiple aggregate states in high-mobility organic field-effect transistors based on poly(bithiophene-alt-thienothiophene). Appl. Phys. Lett. 2008, 93, 162103. [Google Scholar] [CrossRef]
- Manoli, K.; Dumitru, L.M.; Mulla, M.Y.; Magliulo, M.; Franco, C.D.; Santacroce, M.V.; Scamarcio, G.; Torsi, L. A Comparative Study of the Gas Sensing Behavior in P3HT- and PBTTT-Based OTFTs: The Influence of Film Morphology and Contact Electrode Position. Sensors 2014, 14, 16869–16880. [Google Scholar] [CrossRef]
- Manceau, M.; Chambon, S.; Rivaton, A.; Gardette, J.-L.; Guillerez, S.; Lemaître, N. Effects of long-term UV–visible light irradiation in the absence of oxygen on P3HT and P3HT:PCBM blend. Sol. Energy Mater. Sol. Cells 2010, 94, 1572–1577. [Google Scholar] [CrossRef]
- Yuan, Y.; Giri, G.; Ayzner, A.L.; Zoombelt, A.P.; Mannsfeld, S.C.B.; Chen, J.; Nordlund, D.; Toney, M.F.; Huang, J.; Bao, Z. Ultra-high mobility transparent organic thin film transistors grown by an off-centre spin-coating method. Nat. Commun. 2014, 5, 3005. [Google Scholar] [CrossRef] [PubMed]
- Jung, Y.; Kline, R.J.; Fischer, D.A.; Lin, E.K.; Heeney, M.; McCulloch, I.; DeLongchamp, D.M. The effect of interfacial roughness on the thin film morphology and charge transport of high-performance polythiophenes. Adv. Funct. Mater. 2008, 18, 742–750. [Google Scholar] [CrossRef]
- Zhang, Q.; Sun, Y.; Jiao, F.; Zhang, J.; Xu, W.; Zhu, D. Effects of structural order in the pristine state on the thermoelectric power-factor of doped PBTTT films. Synth. Met. 2012, 162, 788–793. [Google Scholar] [CrossRef]
- Pandey, M.; Pandey, S.S.; Nagamatsu, S.; Hayase, S.; Takashima, W. Influence of backbone structure on orientation of conjugated polymers in the dynamic casting of thin floating-films. Thin Solid Films 2016, 619, 125–130. [Google Scholar] [CrossRef]
- Zhuo, J.-M.; Zhao, L.-H.; Png, R.-Q.; Wong, L.-Y.; Chia, P.-J.; Tang, J.-C.; Sivaramakrishnan, S.; Zhou, M.; Ou, E.C.-W.; Chua, S.-J. et al. Direct Spectroscopic Evidence for a Photodoping Mechanism in Polythiophene and Poly(bithiophene-alt-thienothiophene) Organic Semiconductor Thin Films Involving Oxygen and Sorbed Moisture. Adv. Mater. 2009, 21, 4747–4752. [Google Scholar] [CrossRef]
- DeLongchamp, D.M.; Kline, R.J.; Fischer, D.A.; Richter, L.J.; Toney, M.F. Molecular characterization of organic electronic films. Adv. Mater. 2011, 23, 319–337. [Google Scholar] [CrossRef] [PubMed]
- Nikhil; Pandey, R.K.; Sahu, P.K.; Singh, M.K.; Prakash, R. Fast grown self-assembled polythiophene/graphene oxide nanocomposite thin films at air–liquid interface with high mobility used in polymer thin film transistors. J. Mater. Chem. C 2018, 6, 9981–9989. [Google Scholar] [CrossRef]
- Singh, A.K.; Pandey, A.; Chakrabarti, P. Fabrication, modelling and characterization of green light photosensitive p-channel—Poly[2,5-bis(3-tetradecylthiophen-2-yl)thieno[3,2-b]thiophene] organic semiconductor based phototransistors. Org. Electron. 2019, 75, 105424. [Google Scholar] [CrossRef]
- Arndt, K.-F.; Lechner, M.D. Landolt-Börnstein: Numerical Data and Functional Relationships in Science and Technology—New Series. Subvolume A: Polymer Solids and Polymer Melts. Part 1: Definitions and Physical Properties I. Group VIII: Condensed Matter Volume 6, 1st ed.; Springer: Berlin/Heidelberg, Germany, 2013; pp. 154–196. [Google Scholar]
- Pandey, M.; Gowda, A.; Nagamatsu, S.; Kumar, S.; Takashima, W.; Hayase, S.; Pandey, S.S. Rapid formation and macroscopic self-assembly of liquid-crystalline, high-mobility, semiconducting thienothiophene. Adv. Mater. Interfaces 2018, 5, 1700875. [Google Scholar] [CrossRef]
- Francis, C.; Fazzi, D.; Grimm, S.B.; Paulus, F.; Beck, S.; Hillebrandt, S.; Pucci, A.; Zaumseil, J. Raman spectroscopy and microscopy of electrochemically and chemically doped high-mobility semiconducting polymers. J. Mater. Chem. C 2017, 5, 6176–6184. [Google Scholar] [CrossRef]
- Furukawa, Y.; Akiyama, K.; Enokida, I.; Yamamoto, J. Raman spectra of carriers in ionic-liquid-gated transistors fabricated with poly(2,5-bis(3-tetradecylthiophen-2-yl)thieno[3,2-b]thiophene). Vib. Spectrosc. 2016, 85, 29–34. [Google Scholar] [CrossRef]
- Pandey, M.; Pandey, S.S.; Nagamatsu, S.; Hayase, S.; Takashima, W. Solvent driven performance in thin floating-films of PBTTT for organic field effect transistor: Role of macroscopic orientation. Org. Electron. 2017, 43, 240–246. [Google Scholar] [CrossRef]
- Yun, H.-J.; Baek, K.-H.; Do, L.-M.; Jeong, K.-S.; Kim, Y.-M.; Yang, S.-D.; Lee, S.-Y.; Lee, H.-D.; Lee, G.-W. Additive effect of poly (4-vinylphenol) gate dielectric in organic thin film transistor at low temperature process. J. Nanosci. Nanotechnol. 2013, 13, 3313–3316. [Google Scholar] [CrossRef]
- Singh, S.; Mohapatra, Y.N. Dielectric optimization for inkjet printed TIPS-pentacene organic thin-film transistors. In Proceedings of the 2014 IEEE 2nd International Conference on Emerging Electronics (ICEE), Bengalore, India, 3–6 December 2014; pp. 1–4. [Google Scholar] [CrossRef]
- García, D.C.; Izquierdo, J.E.E.; Nogueira, V.A.M.; Oliveira, J.D.S.; Cavallari, M.R.; Quivy, A.A.; Fonseca, F.J. Organic Dielectric Films for Flexible Transistors as Gas Sensors. J. Integr. Circuits Syst. 2020, 15, 1–7. [Google Scholar] [CrossRef]
- Bourara, H.; Hadjout, S.; Benabdelghani, Z.; Etxeberria, A. Miscibility and hydrogen bonding in blends of poly(4-vinylphenol)/poly(vinylmethyl ketone). Polymers 2014, 6, 2752–2763. [Google Scholar] [CrossRef]
- Choe, Y.-S.; Yi, M.H.; Kim, J.-H.; Ryu, G.-S.; Noh, Y.-Y.; Kim, Y.H.; Jang, K.-S. Crosslinked polymer-mixture gate insulator for high performance organic thin-film transistors. Org. Electron. 2016, 36, 171–176. [Google Scholar] [CrossRef]
- Tozlu, C.; Mutlu, A. Poly(melamine-co-formaldehyde) methylated effect on the interface states of metal/polymer/p-Si Schottky barrier diode. Synth. Met. 2016, 211, 99–106. [Google Scholar] [CrossRef]
- Lim, M.-H.; Jung, W.-S.; Park, J.-H. Curing temperature- and concentration-dependent dielectric properties of cross-linked poly-4-vinylphenol (PVP). Curr. Appl. Phys. 2013, 13, 1554–1557. [Google Scholar] [CrossRef]
- Larkin, P.J.; Makowski, M.P.; Colthup, N.B.; Flood, L.A. Vibrational analysis of some important group frequencies of melamine derivatives containing methoxymethyl, and carbamate substituents: Mechanical coupling of substituent vibrations with triazine ring modes. Vib. Spectrosc. 1998, 17, 53–72. [Google Scholar] [CrossRef]
- Smith, R.E.; Larsen, F.N.; Long, C.L. Epoxy resin cure. II. FTIR analysis. J. Appl. Polym. Sci. 1984, 29, 3713–3726. [Google Scholar] [CrossRef]
- Karamancheva, I.; Stefov, V.; Šoptrajanov, B.; Danev, G.; Spasova, E.; Assa, J. FTIR spectroscopy and FTIR microscopy of vacuum-evaporated polyimide thin films. Vib. Spectrosc. 1999, 19, 369–374. [Google Scholar] [CrossRef]
- Ma, H.A.; Jia, X.P.; Chen, L.X.; Zhu, P.W.; Guo, W.L.; Guo, X.B.; Wang, Y.D.; Li, S.Q.; Zou, G.T.; Zhang, G. High-pressure pyrolysis study of C3N6H6: A route to preparing bulk C3N4. J. Phys. Condens. Matter 2002, 14, 11269–11273. [Google Scholar] [CrossRef]
- Dong, J.; Ozaki, Y. FTIR and FT-Raman studies of partially miscible Poly(methyl methacrylate)/Poly(4-vinylphenol) blends in solid states. J. Macromol. 1997, 30, 286–292. [Google Scholar] [CrossRef]
- Ren, Y.; Matsushita, A.; Matsukawa, K.; Inoue, H.; Minami, Y.; Noda, I.; Ozaki, Y. Two-dimensional Fourier-transform-Raman and nearinfrared correlation spectroscopy studies of poly (methyl methacrylate) blends: 2. Partially miscible blends of poly (methyl methacrylate) and poly (4-vinylphenol). Vib. Spectrosc. 2000, 23, 207–218. [Google Scholar] [CrossRef]
- Lin-Vien, D.; Colthup, N.B.; Fateley, W.G.; Grasselli, J.G. Triazine [1,3,5]. In The Handbook of Infrared and Raman Characteristic Frequencies of Organic Molecules; Elsevier: San Diego, CA, USA, 1991; pp. 300–302. [Google Scholar]
- Yang, J.; Xie, H.; Chen, H.; Shi, Z.; Wu, T.; Yang, Q.; Xiong, C. Cellulose nanofibril/boron nitride nanosheet composites with enhanced energy density and thermal stability by interfibrillar cross-linking through Ca2+. J. Mater. Chem. A 2018, 6, 1403–1411. [Google Scholar] [CrossRef]
- Xing, Z.; Zhao, J.; Shao, L.; Xiao, H.; Liu, T.; Cui, Z. Highly flexible printed carbon nanotube thin film transistors using cross-linked poly(4-vinylphenol) as the gate dielectric and application for photosenstive light-emitting diode circuit. Carbon 2018, 133, 390–397. [Google Scholar] [CrossRef]
- Yang, F.-Y.; Hsu, M.-Y.; Hwang, G.-W.; Chang, K.-J. High performance poly(3-hexylthiophene) top-gate transistors incorporating TiO2 nanocomposite dielectrics. Org. Electron. 2010, 11, 81–88. [Google Scholar] [CrossRef]
- García, D.C.; Izquierdo, J.E.E.; Cavallari, M.R.; Fonseca, F.J. Cross-linked poly (4-vinylphenol) in thin-film transistors for water analysis. In Proceedings of the 2021 IEEE Latin America Electron Devices Conference (LAEDC), Mexico City, Mexico, 19–21 April 2021; pp. 1–4. [Google Scholar] [CrossRef]
- Izquierdo, J.E.E. Organic Thin Film Transistors Design, Characterization and Evaluation for Use in Electronic Noses. Ph.D. Thesis, University of São Paulo, São Paulo, Brazil, 2021. [Google Scholar] [CrossRef]
- Lide, D.R. CRC Handbook of Chemistry and Physics; CRC Press: Boca Raton, FL, USA, 2005. [Google Scholar]
- Williams, D.E.; Smyth, C.P. The Dielectric Relaxation of Dibromodichloromethane, Succinonitrile and Several Camphor Derivatives in the Solid State. J. Am. Chem. Soc. 1962, 84, 1808–1812. [Google Scholar] [CrossRef]
- Amadei, G.; Ross, B.M. The reactions of a series of terpenoids with H3O+, NO+ and O2+ studied using selected ion flow tube mass spectrometry. Rapid Commun. Mass Spectrom. 2011, 25, 162–168. [Google Scholar] [CrossRef]
- Lu, M.-Y.; Xie, Y.; Huang, H.; Zhao, Y.-L.; An, H.-T.; Zhang, X.; Li, J.-R. Purification of borneol from its isomeric mixture by using metal–organic frameworks. Sep. Purif. Technol. 2023, 304, 122213. [Google Scholar] [CrossRef]
- Sharma, N.; Sharma, N.; Srinivasan, P.; Kumar, S.; Balaguru Rayappan, J.B.; Kailasam, K. Heptazine based organic framework as a chemiresistive sensor for ammonia detection at room temperature. J. Mater. Chem. A 2018, 6, 18389–18395. [Google Scholar] [CrossRef]
- Jeevitha, G.; Abhinayaa, R.; Mangalaraj, D.; Ponpandian, N.; Meena, P.; Mounasamy, V.; Madanagurusamy, S. Porous reduced graphene oxide (rGO)/WO3 nanocomposites for the enhanced detection of NH3 at room temperature. Nanoscale Adv. 2019, 1, 1799–1811. [Google Scholar] [CrossRef]
- Duarte, D.; Sharma, D.; Cobb, B.; Dodabalapur, A. Charge transport and trapping in organic field effect transistors exposed to polar analytes. Appl. Phys. Lett. 2011, 98, 133302. [Google Scholar] [CrossRef]
- Gupta, S.; Pal, B.N.; Prakash, R. Enhancement of ammonia gas sensitivity and selectivity by depleted layer of PBTTT-C14/MoS2-QDs heterojunction based thin film transistor. Sens. Actuators B Chem. 2023, 393, 134251. [Google Scholar] [CrossRef]





















| Device | c (mg/mL) | f (rpm) | Drying Procedure |
|---|---|---|---|
| CS1 | 10 | 60 | H150N |
| CS2 | 1200 | ||
| CS3 | 1800 | ||
| CS4 | 2400 |
| f (rpm) | nm (mg/mL) | (a.u.) |
|---|---|---|
| 600 | ||
| 1200 | ||
| 1800 | ||
| 2400 | ||
| 3000 |
| Annealing Process | nm (rpm)−M2 | (a.u.) |
|---|---|---|
| A | ||
| E80 | ||
| H150 |
| Annealing Process | c (mg/mL) | T (C) | (nm) | (nm) | Surface Structures |
|---|---|---|---|---|---|
| A | 6 | 25 | amorphous | ||
| EA | amorphous | ||||
| H80 | 80 | nodules | |||
| E80 | amorphous | ||||
| H150 | 150 | nodules | |||
| E150 | terraces | ||||
| H150N | terraces | ||||
| H150N | 8 | 150 | terraces |
| Dielectric | Semicond. | |||||
|---|---|---|---|---|---|---|
| (nm) | (nm) | (cm/Vs) | (cm/Vs) | (V) | (A/A) | (V/dec.) |
| PVP:PMF (1:5) | PBTTT-C14 1 | |||||
| PVP:PMF (1:5) | PBTTT-C14 2 |
| Electrical Parameter | IB/MET (%) | MET (%) | Difference (%) |
|---|---|---|---|
| 5 | 76 | ||
| 14 | 17 | ||
| 1310 | 420 | 890 | |
| 160 | |||
| 930 |
Disclaimer/Publisher’s Note: The statements, opinions and data contained in all publications are solely those of the individual author(s) and contributor(s) and not of MDPI and/or the editor(s). MDPI and/or the editor(s) disclaim responsibility for any injury to people or property resulting from any ideas, methods, instructions or products referred to in the content. |
© 2023 by the authors. Licensee MDPI, Basel, Switzerland. This article is an open access article distributed under the terms and conditions of the Creative Commons Attribution (CC BY) license (https://creativecommons.org/licenses/by/4.0/).
Share and Cite
Izquierdo, J.E.E.; Cavallari, M.R.; García, D.C.; Oliveira, J.D.d.S.; Nogueira, V.A.M.; Braga, G.d.S.; Ando Junior, O.H.; Quivy, A.A.; Kymissis, I.; Fonseca, F.J. Detection of Water Contaminants by Organic Transistors as Gas Sensors in a Bottom-Gate/Bottom-Contact Cross-Linked Structure. Sensors 2023, 23, 7981. https://doi.org/10.3390/s23187981
Izquierdo JEE, Cavallari MR, García DC, Oliveira JDdS, Nogueira VAM, Braga GdS, Ando Junior OH, Quivy AA, Kymissis I, Fonseca FJ. Detection of Water Contaminants by Organic Transistors as Gas Sensors in a Bottom-Gate/Bottom-Contact Cross-Linked Structure. Sensors. 2023; 23(18):7981. https://doi.org/10.3390/s23187981
Chicago/Turabian StyleIzquierdo, José Enrique Eirez, Marco Roberto Cavallari, Dennis Cabrera García, José Diogo da Silva Oliveira, Vinicius Augusto Machado Nogueira, Guilherme de Souza Braga, Oswaldo Hideo Ando Junior, Alain A. Quivy, Ioannis Kymissis, and Fernando Josepetti Fonseca. 2023. "Detection of Water Contaminants by Organic Transistors as Gas Sensors in a Bottom-Gate/Bottom-Contact Cross-Linked Structure" Sensors 23, no. 18: 7981. https://doi.org/10.3390/s23187981
APA StyleIzquierdo, J. E. E., Cavallari, M. R., García, D. C., Oliveira, J. D. d. S., Nogueira, V. A. M., Braga, G. d. S., Ando Junior, O. H., Quivy, A. A., Kymissis, I., & Fonseca, F. J. (2023). Detection of Water Contaminants by Organic Transistors as Gas Sensors in a Bottom-Gate/Bottom-Contact Cross-Linked Structure. Sensors, 23(18), 7981. https://doi.org/10.3390/s23187981

