ETMT: A Tool for Eye-Tracking-Based Trail-Making Test to Detect Cognitive Impairment
Abstract
1. Introduction
2. Related Works
2.1. Conventional Methods
2.2. Eye-Tracking Techniques
2.3. Cognitive Impairment Associated with Diseases
2.4. Trail-Making Test
2.5. Summary
3. Materials and Methods
3.1. Data Collection
3.2. Feature Extraction
| Algorithm 1 Scanpath string generation |
| Define the AOIs |
| Get the fixations |
| while N1 do |
| while N2 do |
| if Fixation falls within AOI then |
| Print AOI Name |
| end if |
| end while |
| end while |
| Algorithm 2 Error rate |
| Define the AOIs |
| Get the fixations |
| while N2 do |
| while N1 do |
| if Fixation not falls within AOI then |
| error_rate+=1 |
| end if |
| end while |
| end while |
| Print error_rate |
| Algorithm 3 Inattentional blindness |
| Require: Scanpath String |
| Ensure: Inattentional Blindness Score |
| function CalculateInattentionalBlindness() |
| while do |
| if repetition of a pattern in the scanpath starting from index i then |
| ▹ Skip the repeated pattern |
| else |
| end if |
| end while |
| return |
| end function |
3.3. Visual-Search-Speed Fuzzy-Inference System
3.4. Focused-Attention Fuzzy-Inference System
3.5. Adaptive Neuro-Fuzzy-Inference System (ANFIS)
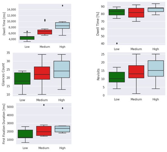
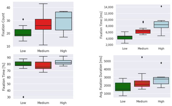
4. Result Analysis
5. Discussion
6. Conclusions
Author Contributions
Funding
Institutional Review Board Statement
Informed Consent Statement
Data Availability Statement
Acknowledgments
Conflicts of Interest
References
- Jyotsna, C.; Amudha, J.; Rao, R.; Nayar, R. Intelligent gaze tracking approach for trail making test. J. Intell. Fuzzy Syst. 2020, 38, 6299–6310. [Google Scholar] [CrossRef]
- Wasef, S.; Laksono, I.; Kapoor, P.; Tang-Wei, D.; Gold, D.; Saripella, A.; Riazi, S.; Islam, S.; Englesakis, M.; Wong, J.; et al. Screening for subjective cognitive decline in the elderly via subjective cognitive complaints and informant-reported questionnaires: A systematic review. BMC Anesthesiol. 2021, 21, 277. [Google Scholar] [CrossRef] [PubMed]
- Conner, K.; Sweeney, C.Y.; Brown, T.; Childs, L.; Rogers, S.; Gregory, T. Practical applications of physical activity for successful cognitive aging. JAAPA 2017, 30, 30–35. [Google Scholar] [CrossRef] [PubMed]
- Whitson, H.E.; Malhotra, R.; Chan, A.; Matchar, D.B.; ∅stbye, T. Comorbid visual and cognitive impairment: Relationship with disability status and self-rated health among older Singaporeans. Asia Pac. J. Public Health 2014, 26, 310–319. [Google Scholar] [CrossRef]
- Pu, L.; Pan, D.; Wang, H.; He, X.; Zhang, X.; Yu, Z.; Hu, N.; Du, Y.; He, S.; Liu, X.; et al. A predictive model for the risk of cognitive impairment in community middle-aged and older adults. Asian J. Psychiatry 2023, 79, 103380. [Google Scholar] [CrossRef]
- Morimoto, R.; Kawanaka, H.; Hicks, Y.; Setchi, R. Development of Recreation Game for Measurement of Eye Movement Using Tangram. Procedia Comput. Sci. 2021, 192, 4924–4932. [Google Scholar] [CrossRef]
- Oyama, A.; Takeda, S.; Ito, Y.; Nakajima, T.; Takami, Y.; Takeya, Y.; Yamamoto, K.; Sugimoto, K.; Shimizu, H.; Shimamura, M.; et al. Novel method for rapid assessment of cognitive impairment using high-performance eye-tracking technology. Sci. Rep. 2019, 9, 12932. [Google Scholar] [CrossRef]
- Surendran, H.P.; Narmadha, M.; Kalavagunta, S.; Sasidharan, A.; Dutta, D. Preservation of cognitive function after brain irradiation. J. Oncol. Pharm. Pract. 2022, 28, 1182–1188. [Google Scholar] [CrossRef]
- Jorde, R.; Mathiesen, E.B.; Rogne, S.; Wilsgaard, T.; Kjærgaard, M.; Grimnes, G.; Schirmer, H. Vitamin D and cognitive function: The Tromsø Study. J. Neurol. Sci. 2015, 355, 155–161. [Google Scholar] [CrossRef]
- Petersen, R.C.; Negash, S. Mild cognitive impairment: An overview. CNS Spectrums 2008, 13, 45–53. [Google Scholar] [CrossRef]
- Carvalho, C.M.; Seixas, F.L.; Conci, A.; Muchaluat-Saade, D.C.; Laks, J.; Boechat, Y. A dynamic decision model for diagnosis of dementia, Alzheimer’s disease and Mild Cognitive Impairment. Comput. Biol. Med. 2020, 126, 104010. [Google Scholar] [CrossRef]
- Tadokoro, K.; Yamashita, T.; Fukui, Y.; Nomura, E.; Ohta, Y.; Ueno, S.; Nishina, S.; Tsunoda, K.; Wakutani, Y.; Takao, Y.; et al. Early detection of cognitive decline in mild cognitive impairment and Alzheimer’s disease with a novel eye tracking test. J. Neurol. Sci. 2021, 427, 117529. [Google Scholar] [CrossRef] [PubMed]
- Nasreddine, Z.S.; Phillips, N.A.; Bédirian, V.; Charbonneau, S.; Whitehead, V.; Collin, I.; Cummings, J.L.; Chertkow, H. The Montreal Cognitive Assessment, MoCA: A brief screening tool for mild cognitive impairment. J. Am. Geriatr. Soc. 2005, 53, 695–699. [Google Scholar] [CrossRef] [PubMed]
- Guo, Y. A selective review of the ability for variants of the Trail Making Test to assess cognitive impairment. In Applied Neuropsychology: Adult; Taylor & Francis: Abingdon, UK, 2021; pp. 1–12. [Google Scholar]
- Haque, R.U.; Pongos, A.L.; Manzanares, C.M.; Lah, J.J.; Levey, A.I.; Clifford, G.D. Deep convolutional neural networks and transfer learning for measuring cognitive impairment using eye-tracking in a distributed tablet-based environment. IEEE Trans. Biomed. Eng. 2020, 68, 11–18. [Google Scholar] [CrossRef] [PubMed]
- Belkhiria, C.; Peysakhovich, V. EOG metrics for cognitive workload detection. Procedia Comput. Sci. 2021, 192, 1875–1884. [Google Scholar] [CrossRef]
- Folstein, M.F.; Folstein, S.E.; McHugh, P.R. “Mini-mental state”: A practical method for grading the cognitive state of patients for the clinician. J. Psychiatr. Res. 1975, 12, 189–198. [Google Scholar] [CrossRef]
- Jyotsna, C.; Amudha, J. Eye gaze as an indicator for stress level analysis in students. In Proceedings of the 2018 International Conference on Advances in Computing, Communications and Informatics (ICACCI), Bangalore, India, 19–22 September 2018; pp. 1588–1593. [Google Scholar]
- Wilcockson, T.D.; Mardanbegi, D.; Xia, B.; Taylor, S.; Sawyer, P.; Gellersen, H.W.; Leroi, I.; Killick, R.; Crawford, T.J. Abnormalities of saccadic eye movements in dementia due to Alzheimer’s disease and mild cognitive impairment. Aging 2019, 11, 5389. [Google Scholar] [CrossRef]
- Woods, D.L.; Kishiyama, M.M.; Yund, E.W.; Herron, T.J.; Edwards, B.; Poliva, O.; Hink, R.F.; Reed, B. Improving digit span assessment of short-term verbal memory. J. Clin. Exp. Neuropsychol. 2011, 33, 101–111. [Google Scholar] [CrossRef]
- Wiechmann, A.; Hall, J.R.; O’Bryant, S.E. The utility of the spatial span in a clinical geriatric population. Aging Neuropsychol. Cogn. 2010, 18, 56–63. [Google Scholar] [CrossRef]
- Martinez-Marquez, D.; Pingali, S.; Panuwatwanich, K.; Stewart, R.A.; Mohamed, S. Application of eye tracking technology in aviation, maritime, and construction industries: A systematic review. Sensors 2021, 21, 4289. [Google Scholar] [CrossRef]
- Akshay, S.; Vincent, K. Identification of Parkinson disease patients classification using feed forward technique based on speech signals. Int. J. Eng. Adv. Technol 2019, 8, 1769–1778. [Google Scholar]
- Tao, L.; Wang, Q.; Liu, D.; Wang, J.; Zhu, Z.; Feng, L. Eye tracking metrics to screen and assess cognitive impairment in patients with neurological disorders. Neurol. Sci. 2020, 41, 1697–1704. [Google Scholar] [CrossRef] [PubMed]
- Saxon, J.A.; Thompson, J.C.; Harris, J.M.; Ealing, J.; Hamdalla, H.; Chaouch, A.; Young, C.; Blackburn, D.; Majeed, T.; Gall, C.; et al. The Edinburgh Cognitive and Behavioral ALS Screen (ECAS) in frontotemporal dementia. Amyotroph. Lateral Scler. Front. Degener. 2020, 21, 606–613. [Google Scholar] [CrossRef]
- Taule, T.; Morland, A.S.; Renså, M.A.; Aßmus, J.; Tysnes, O.B.; Rekand, T. Edinburgh Cognitive and Behavioral Amyotrophic Lateral Sclerosis Screen (ECAS) in Norway: Protocol for validation and a prospective cohort study. Contemp. Clin. Trials Commun. 2019, 14, 100347. [Google Scholar] [CrossRef]
- Keller, J.; Gorges, M.; Horn, H.T.; Aho-Özhan, H.E.; Pinkhardt, E.H.; Uttner, I.; Kassubek, J.; Ludolph, A.C.; Lulé, D. Eye-tracking controlled cognitive function tests in patients with amyotrophic lateral sclerosis: A controlled proof-of-principle study. J. Neurol. 2015, 262, 1918–1926. [Google Scholar] [CrossRef]
- Keller, J.; Krimly, A.; Bauer, L.; Schulenburg, S.; Böhm, S.; Aho-Özhan, H.E.; Uttner, I.; Gorges, M.; Kassubek, J.; Pinkhardt, E.H.; et al. A first approach to a neuropsychological screening tool using eye-tracking for bedside cognitive testing based on the Edinburgh Cognitive and Behavioural ALS Screen. Amyotroph. Lateral Scler. Front. Degener. 2017, 18, 443–450. [Google Scholar] [CrossRef]
- Proudfoot, M.; Menke, R.A.; Sharma, R.; Berna, C.M.; Hicks, S.L.; Kennard, C.; Talbot, K.; Turner, M.R. Eye-tracking in amyotrophic lateral sclerosis: A longitudinal study of saccadic and cognitive tasks. Amyotroph. Lateral Scler. Front. Degener. 2016, 17, 101–111. [Google Scholar] [CrossRef] [PubMed]
- Abazid, M.; Houmani, N.; Dorizzi, B.; Boudy, J.; Mariani, J.; Kinugawa, K. Weighted Brain Network Analysis on Different Stages of Clinical Cognitive Decline. Bioengineering 2022, 9, 62. [Google Scholar] [CrossRef] [PubMed]
- Polden, M.; Wilcockson, T.D.; Crawford, T.J. The disengagement of visual attention: An eye-tracking study of cognitive impairment, ethnicity and age. Brain Sci. 2020, 10, 461. [Google Scholar] [CrossRef]
- Li, X.; Jia, S.; Zhou, Z.; Jin, Y.; Zhang, X.; Hou, C.; Zheng, W.; Rong, P.; Jiao, J. The role of the Montreal Cognitive Assessment (MoCA) and its memory tasks for detecting mild cognitive impairment. Neurol. Sci. 2018, 39, 1029–1034. [Google Scholar] [CrossRef]
- Fraga, F.J.; Mamani, G.Q.; Johns, E.; Tavares, G.; Falk, T.H.; Phillips, N.A. Early diagnosis of mild cognitive impairment and Alzheimer’s with event-related potentials and event-related desynchronization in N-back working memory tasks. Comput. Methods Programs Biomed. 2018, 164, 1–13. [Google Scholar] [CrossRef] [PubMed]
- Lestari, S.; Mistivani, I.; Rumende, C.M.; Kusumaningsih, W. Comparison between mini mental state examination (MMSE) and Montreal cognitive assessment Indonesian version (MoCA-Ina) as an early detection of cognitive impairments in post-stroke patients. J. Physics Conf. Ser. 2017, 884, 012153. [Google Scholar] [CrossRef]
- Araújo, T.; Teixeira, J.P.; Rodrigues, P.M. Smart-data-driven system for alzheimer disease detection through electroencephalographic signals. Bioengineering 2022, 9, 141. [Google Scholar] [CrossRef] [PubMed]
- Russo, M.; Amboni, M.; Barone, P.; Pellecchia, M.T.; Romano, M.; Ricciardi, C.; Amato, F. Identification of a Gait Pattern for Detecting Mild Cognitive Impairment in Parkinson’s Disease. Sensors 2023, 23, 1985. [Google Scholar] [CrossRef]
- Sharpe, M. Auditory attention in early Parkinson’s disease: An impairment in focused attention. Neuropsychologia 1992, 30, 101–106. [Google Scholar] [CrossRef] [PubMed]
- Beylergil, S.B.; Kilbane, C.; Shaikh, A.G.; Ghasia, F.F. Eye movements in Parkinson’s disease during visual search. J. Neurol. Sci. 2022, 440, 120299. [Google Scholar] [CrossRef]
- Kulisevsky, J.; Pagonabarraga, J. Cognitive impairment in Parkinson’s disease: Tools for diagnosis and assessment. Mov. Disord. 2009, 24, 1103–1110. [Google Scholar] [CrossRef]
- Lagun, D.; Manzanares, C.; Zola, S.M.; Buffalo, E.A.; Agichtein, E. Detecting cognitive impairment by eye movement analysis using automatic classification algorithms. J. Neurosci. Methods 2011, 201, 196–203. [Google Scholar] [CrossRef]
- Crutcher, M.D.; Calhoun-Haney, R.; Manzanares, C.M.; Lah, J.J.; Levey, A.I.; Zola, S.M. Eye tracking during a visual paired comparison task as a predictor of early dementia. Am. J. Alzheimer’s Dis. Other Dementias 2009, 24, 258–266. [Google Scholar] [CrossRef]
- Huntley, J.D.; Hampshire, A.; Bor, D.; Owen, A.M.; Howard, R.J. The importance of sustained attention in early Alzheimer’s disease. Int. J. Geriatr. Psychiatry 2017, 32, 860–867. [Google Scholar] [CrossRef]
- Liu, Z.; Yang, Z.; Gu, Y.; Liu, H.; Wang, P. The effectiveness of eye tracking in the diagnosis of cognitive disorders: A systematic review and meta-analysis. PLoS ONE 2021, 16, e0254059. [Google Scholar] [CrossRef] [PubMed]
- Karim, M.; Venkatachalam, J. A randomized pilot study of a cognitive intervention for the elderly with Mild Cognitive Impairment. ECS Trans. 2022, 107, 8383. [Google Scholar] [CrossRef]
- Mannan, F.A.; Porffy, L.A.; Joyce, D.W.; Shergill, S.S.; Celiktutan, O. Automatic Detection of Cognitive Impairment with Virtual Reality. Sensors 2023, 23, 1026. [Google Scholar] [CrossRef] [PubMed]
- Huggins, C.J.; Escudero, J.; Parra, M.A.; Scally, B.; Anghinah, R.; De Araújo, A.V.L.; Basile, L.F.; Abasolo, D. Deep learning of resting-state electroencephalogram signals for three-class classification of Alzheimer’s disease, mild cognitive impairment and healthy ageing. J. Neural Eng. 2021, 18, 046087. [Google Scholar] [CrossRef]
- Venugopal, D.; Amudha, J.; Jyotsna, C. Developing an application using eye tracker. In Proceedings of the 2016 IEEE International Conference on Recent Trends in Electronics, Information & Communication Technology (RTEICT), Bangalore, India, 20–21 May 2016; pp. 1518–1522. [Google Scholar]
- Al-Qazzaz, N.K.; Ali, S.H.; Ahmad, S.A.; Islam, S.; Mohamad, K. Cognitive impairment and memory dysfunction after a stroke diagnosis: A post-stroke memory assessment. Neuropsychiatr. Dis. Treat. 2014, 10, 1677–1691. [Google Scholar] [CrossRef]
- Moon, S.J.; Park, C.H.; Jung, S.I.; Yu, J.W.; Son, E.C.; Lee, H.N.; Jeong, H.; Jang, S.; Park, E.; Jung, T.D. Effects of an eye-tracking linkage attention training system on cognitive function compared to conventional computerized cognitive training system in patients with stroke. Healthcare 2022, 10, 456. [Google Scholar] [CrossRef] [PubMed]
- Paulsen, J.S. Cognitive impairment in Huntington disease: Diagnosis and treatment. Curr. Neurol. Neurosci. Rep. 2011, 11, 474–483. [Google Scholar] [CrossRef]
- Júlio, F.; Caetano, G.; Januário, C.; Castelo-Branco, M. The effect of impulsivity and inhibitory control deficits in the saccadic behavior of premanifest Huntington’s disease individuals. Orphanet J. Rare Dis. 2019, 14, 246. [Google Scholar] [CrossRef]
- Turner, T.H.; Goldstein, J.; Hamilton, J.M.; Jacobson, M.; Pirogovsky, E.; Peavy, G.; Corey-Bloom, J. Behavioral measures of saccade latency and inhibition in manifest and premanifest Huntington’s disease. J. Mot. Behav. 2011, 43, 295–302. [Google Scholar] [CrossRef]
- Tomer, E.; Lupu, T.; Golan, L.; Wagner, M.; Braw, Y. Eye tracking as a mean to detect feigned cognitive impairment in the Word Memory Test. In Applied Neuropsychology: Adult; Taylor & Francis: Abingdon, UK, 2018. [Google Scholar]
- Leon-Dominguez, U.; Martín-Rodríguez, J.F.; León-Carrión, J. Executive n-back tasks for the neuropsychological assessment of working memory. Behav. Brain Res. 2015, 292, 167–173. [Google Scholar] [CrossRef]
- Vigo, I.; Coelho, L.; Reis, S. Speech-and Language-Based Classification of Alzheimer’s Disease: A Systematic Review. Bioengineering 2022, 9, 27. [Google Scholar] [CrossRef] [PubMed]
- Nie, J.; Qiu, Q.; Phillips, M.; Sun, L.; Yan, F.; Lin, X.; Xiao, S.; Li, X. Early diagnosis of mild cognitive impairment based on eye movement parameters in an aging Chinese population. Front. Aging Neurosci. 2020, 12, 221. [Google Scholar] [CrossRef] [PubMed]
- Aarsland, D.; Batzu, L.; Halliday, G.M.; Geurtsen, G.J.; Ballard, C.; Ray Chaudhuri, K.; Weintraub, D. Parkinson disease-associated cognitive impairment. Nat. Rev. Dis. Prim. 2021, 7, 47. [Google Scholar] [CrossRef] [PubMed]
- Faria, C.d.A.; Alves, H.V.D.; Charchat-Fichman, H. The most frequently used tests for assessing executive functions in aging. Dement. Neuropsychol. 2015, 9, 149–155. [Google Scholar] [CrossRef]
- Zucchella, C.; Federico, A.; Martini, A.; Tinazzi, M.; Bartolo, M.; Tamburin, S. Neuropsychological testing. Pract. Neurol. 2018, 18, 227–237. [Google Scholar] [CrossRef]
- Lange, R.T.; Iverson, G.L.; Zakrzewski, M.J.; Ethel-King, P.E.; Franzen, M.D. Interpreting the trail making test following traumatic brain injury: Comparison of traditional time scores and derived indices. J. Clin. Exp. Neuropsychol. 2005, 27, 897–906. [Google Scholar] [CrossRef]
- Fellows, R.P.; Dahmen, J.; Cook, D.; Schmitter-Edgecombe, M. Multicomponent analysis of a digital Trail Making Test. Clin. Neuropsychol. 2017, 31, 154–167. [Google Scholar] [CrossRef]
- Hicks, S.L.; Sharma, R.; Khan, A.N.; Berna, C.M.; Waldecker, A.; Talbot, K.; Kennard, C.; Turner, M.R. An eye-tracking version of the trail-making test. PLoS ONE 2013, 8, e84061. [Google Scholar] [CrossRef]
- Ramachandra, C.K.; Joseph, A. IEyeGASE: An intelligent eye gaze-based assessment system for deeper insights into learner performance. Sensors 2021, 21, 6783. [Google Scholar] [CrossRef]
- Krishnan, S.; Amudha, J.; Tejwani, S. Gaze exploration index (GE i)-explainable detection model for glaucoma. IEEE Access 2022, 10, 74334–74350. [Google Scholar] [CrossRef]
- Chandrika, K.; Amudha, J. A fuzzy inference system to recommend skills for source code review using eye movement data. J. Intell. Fuzzy Syst. 2018, 34, 1743–1754. [Google Scholar] [CrossRef]
- Bhatia, T.; Shriharsh, V.; Adlakha, S.; Bisht, V.; Garg, K.; Deshpande, S.N. The trail making test in India. Indian J. Psychiatry 2007, 49, 113. [Google Scholar]
- Iñesta, C.; Oltra-Cucarella, J.; Bonete-López, B.; Calderón-Rubio, E.; Sitges-Maciá, E. Regression-based normative data for independent and cognitively active Spanish older adults: Digit span, letters and numbers, Trail Making Test and Symbol Digit Modalities Test. Int. J. Environ. Res. Public Health 2021, 18, 9958. [Google Scholar] [CrossRef] [PubMed]
- Kumar, A.; Timmermans, N.; Burch, M.; Mueller, K. Clustered eye movement similarity matrices. In Proceedings of the 11th ACM Symposium on Eye Tracking Research & Applications, Denver, CO, USA, 25–28 June 2019; pp. 1–9. [Google Scholar]
- Popelka, S.; Beitlova, M. Scanpath Comparison using ScanGraph for Education and Learning Purposes: Summary of previous educational studies performed with the use of ScanGraph. In Proceedings of the 2022 Symposium on Eye Tracking Research and Applications, Seattle, WA, USA, 8–11 June 2022; pp. 1–6. [Google Scholar]
- Ekelund, M.; Fernsund, H.; Karlsson, S.; Mac Giolla, E. Does expertise reduce rates of inattentional blindness? A meta-analysis. Perception 2022, 51, 131–147. [Google Scholar] [CrossRef] [PubMed]
- Kreitz, C.; Furley, P.; Memmert, D.; Simons, D.J. Inattentional blindness and individual differences in cognitive abilities. PLoS ONE 2015, 10, e0134675. [Google Scholar] [CrossRef]
- Seegmiller, J.K.; Watson, J.M.; Strayer, D.L. Individual differences in susceptibility to inattentional blindness. J. Exp. Psychol. Learn. Mem. Cogn. 2011, 37, 785. [Google Scholar] [CrossRef] [PubMed][Green Version]
- Sánchez-Cubillo, I.; Periáñez, J.A.; Adrover-Roig, D.; Rodríguez-Sánchez, J.M.; Ríos-Lago, M.; Tirapu, J.; Barceló, F. Construct validity of the Trail Making Test: Role of task-switching, working memory, inhibition/interference control, and visuomotor abilities. J. Int. Neuropsychol. Soc. 2009, 15, 438–450. [Google Scholar] [CrossRef] [PubMed]
- Mann, D.L.; Causer, J.; Nakamoto, H.; Runswick, O.R. Visual search behaviors in expert perceptual judgements. In Anticipation and Decision Making in Sport; Routledge: New York, NY, USA, 2019; pp. 59–78. [Google Scholar]
- Kosel, C.; Holzberger, D.; Seidel, T. Identifying expert and novice visual scanpath patterns and their relationship to assessing learning-relevant student characteristics. Front. Educ. 2021, 5, 612175. [Google Scholar] [CrossRef]
- Zhang, Y.; Wilcockson, T.; Kim, K.I.; Crawford, T.; Gellersen, H.; Sawyer, P. Monitoring dementia with automatic eye movements analysis. In Intelligent Decision Technologies; Springer: Berlin/Heidelberg, Germany, 2016; pp. 299–309. [Google Scholar]
- Palliya Guruge, C.; Oviatt, S.; Delir Haghighi, P.; Pritchard, E. Advances in multimodal behavioral analytics for early dementia diagnosis: A review. In Proceedings of the 2021 International Conference on Multimodal Interaction, Montreal, QC, Canada, 18–22 October 2021; pp. 328–340. [Google Scholar]
- Fahimi, R.; Bruce, N.D. On metrics for measuring scanpath similarity. Behav. Res. Methods 2021, 53, 609–628. [Google Scholar] [CrossRef]
- Borys, M.; Plechawska-Wójcik, M. Eye-tracking metrics in perception and visual attention research. EJMT 2017, 3, 11–23. [Google Scholar]
- Arbuthnott, K.; Frank, J. Trail making test, part B as a measure of executive control: Validation using a set-switching paradigm. J. Clin. Exp. Neuropsychol. 2000, 22, 518–528. [Google Scholar] [CrossRef] [PubMed]
- Chauhan, H.; Satapathy, S.; Sahoo, A.K. Farmer Workplace Discomfort Levels Leading to Adverse Mental Health. Int. J. Soc. Ecol. Sustain. Dev. IJSESD 2022, 13, 1–14. [Google Scholar] [CrossRef]
- Seifallahi, M.; Mehraban, A.H.; Khamseh, F.; Salehi, M.; Hajati, G.; Khansari, M.; Ahmadzadeh, M.; Babaie, M. Detection of mild cognitive Impairment from gait using Adaptive Neuro-Fuzzy Inference system. Biomed. Signal Process. Control 2022, 71, 103195. [Google Scholar] [CrossRef]
- Mahadas, S.; Semkewyc, C.; Suresh, S.; Hung, G.K. Scan path during change-detection visual search. Comput. Biol. Med. 2021, 131, 104233. [Google Scholar] [CrossRef] [PubMed]
- Mental Health Care Analysis. Available online: https://timesofindia.indiatimes.com/blogs/voices/mental-health-care-analysis/ (accessed on 1 February 2023).

















| Paper | Disease | Cognitive Impairment | Stimulus | Standard Cognitive Assessment Tools | Shortcomings of Standard Assessment Tools | Eye-Tracking Measures | Observations |
|---|---|---|---|---|---|---|---|
| [24] | ALS | Motor impairment | Visual paired- comparison task | ECAS | Cannot handle lower motor neuron atrophy | Antisaccadic error rate, saccadic latency | Higher antisaccades, error rate, saccadic latency |
| [7] [12] [24] [31] [32] [33] | AD | Memory impairment, impaired visual attention, attentional disengagement | Working memory tasks, deductive reasoning, memory recall task, visual memory task | ADAS-Cog, MMSE, MOCA | Longer time duration, not simple, subjects may feel highly stressed | Saccades, fixations, smooth pursuit | Longer time to fixate the target, shorter fixation duration, imprecise saccadic movements |
| [24] [57] | PD | Focused attention impairment, movement impairment, memory impairment | Saccadic task, TMT | SCOPA-COG PD-CRS, MOCA | Low sensitivity in recognizing cognitive deficits in the early stages of PD | Pupil diameter | Ocular abnormalities, longer response time |
| [40] [41] [43] | MCI | Memory impairment | Visual paired- comparison task, animal fluency, WLM, constructional praxis, TMT, Digit Span Subtest, Clock Drawing Test | MMSE, MOCA | Expensive, invasive, cannot detect early stages of the disease | Fixations, saccades, re-fixations, pupil diameter, total looking time, fixation count, percentage looking time on novel image | Percentage time in viewing the novel pictures could differentiate control group from MCI group |
| [24] | MS | Impairment of attention, executive function impairment, memory impairment | Saccadic task, ocular working memory task | MRI, MACFIMS | A trained evaluator needs at least 90 min for a full evaluation | Fixations, saccadic latency | Fixation instability, higher saccadic error rates, impaired pursuit |
| [24] | Epilepsy | Neuropsychological impairment | Vision-guided saccades, antisaccadic response inhibition, prosaccades, antisaccadic tasks | ET, PNS | Limited sensitivity, unsuitability for repeated assessment, sole focus on one aspect of cognition | Saccades, fixations | Increased error rate, longer reflexive time at the start of saccades |
| Feature | Impairment | Disease |
|---|---|---|
| Inattentional blindness | Memory | PD, AD, MCI |
| Error rate | Memory, imprecise saccadic movement | AD, ALS, MCI, MS |
| Total completion time | Memory | AD, PD, MCI |
| Scanpath comparison score | Visual attention, diminished visual curiosity, abnormal visuospatial behavior | AD |
| Shorter fixation duration | Attentional disengagement | AD, MS |
| Higher saccadic latency | Motor impairment | ALS |
| Fixation instability | Impaired mobility and cognition | MS |
| Impaired pursuit | Impaired mobility and cognition | MS |
| Type | Feature | Description |
|---|---|---|
| Low level | Fixation count (FL1) | Total number of fixation points |
| Low level | Fixation time (ms) (FL2) | Sum of the time duration on each fixation point |
| Low level | Fixation time (%) (FL3) | Percentage of fixation time with respect to total time |
| Low level | Fixation duration Average (ms) (FL4) | Average of all the fixation durations concerning the trial |
| Middle level | Dwell time (FM1) | Amount of time that respondents spend looking at a particular AOI |
| Middle level | Dwell time (%) (FM2) | Percentage of dwell time with respect to total time |
| Middle level | Glances count (FM3) | Count of fixation points in an AOI |
| Middle level | Revisits (FM4) | Number of times a participant returns their gaze to a particular spot or AOI |
| Middle level | First fixation duration ms (FM5) | Time duration of first fixation in an AOI |
| High level | Scanpath score (FH1) | Score based on the comparison of each participant’s scanpath and expected scanpath |
| High level | Total time (FH2) | Total completion time |
| High level | Error rate (FH3) | Rate of mistakes during the TMT task |
| High level | Inattentional blindness (FH4) | Indication of presence of inattentional blindness |
| Parameter | Description |
|---|---|
| Fuzzy structure | Mamdani |
| Membership function | Trapezoidal |
| Number of membership functions for each input | 3 |
| Number of inputs | 2 |
| Number of outputs | 1 |
| Rules generated | 9 |
| Parameter | Description |
|---|---|
| Fuzzy structure | Sugeno |
| Membership function | Gaussian |
| Number of membership functions | 3 |
| Number of inputs | 13 |
| Number of outputs | 1 |
| Optimization method | Hybrid |
| Training number of epochs | 30 |
| Training samples | 75% |
| Testing samples | 25% |
| Error Statistic | Testing for Epoch Number = 20 | Testing for Epoch Number = 30 | Testing for Epoch Number = 40 | Testing for Epoch Number= 50 |
|---|---|---|---|---|
| RMSE | 0.6702 | 0.3581 | 0.6504 | 0.8041 |
| Error mean | −0.0851 | 0.1262 | −0.0988 | 0.1835 |
| Error STD | 0.7107 | 0.3583 | 0.6873 | 0.8369 |
| Machine Learning Algorithm | Testing Accuracy |
|---|---|
| Decision tree | 100% |
| Linear discriminant | 75% |
| Neural network | 87.5% |
| KNN | 87.5% |
| SVM | 75% |
| Naive Bayes | 87.5% |
| Stimulus | Correlation Score | p-Value |
|---|---|---|
| TMT A Simple | 0.727 | 0.003 |
| TMT A Complex | 0.769 | 0.001 |
| TMT B Simple | 0.734 | 0.002 |
| TMT B Complex | 0.725 | 0.003 |
| Motor Impairment | Visual Attention | Attentional Disengagement | Memory | Neuropsychological Impairment | Social Cognition | Executive Functioning | Processing Speed | |
|---|---|---|---|---|---|---|---|---|
| ETMT | ✓ | ✓ | ✓ | ✓ | ✓ | ✓ | ✓ | |
| ECAS | ✓ | ✓ | ✓ | ✓ | ||||
| MMSE | ✓ | ✓ | ✓ | |||||
| ADAS-Cog | ✓ | ✓ | ✓ | ✓ | ✓ | |||
| SCOPA-COG | ✓ | ✓ | ✓ | ✓ | ✓ | ✓ | ||
| PD-CRS | ✓ | ✓ | ✓ | ✓ | ||||
| MoCA | ✓ | ✓ | ✓ | ✓ | ||||
| MACFIMS | ✓ | ✓ | ✓ | ✓ | ✓ | |||
| MRI and CT scans | ✓ | ✓ | ✓ |
| Expensive | Need for Trained Evaluator | Difficult Detection During Early Stages of the Diseases | Longer Time Duration for the Tests | Cannot Handle Lower Motor Neuron Atrophy | Makes the Participant Highly Stressed | |
|---|---|---|---|---|---|---|
| ETMT model | ||||||
| Traditional TMT | ✓ | |||||
| ECAS | ✓ | ✓ | ✓ | ✓ | ||
| MMSE | ✓ | |||||
| ADAS-Cog | ✓ | ✓ | ||||
| SCOPA-COG | ✓ | |||||
| PD-CRS | ✓ | |||||
| MoCA | ✓ | |||||
| MACFIMS | ✓ | ✓ | ||||
| MRI and CT scans | ✓ | ✓ | ✓ |
| ETMT | Traditional TMT | ||
|---|---|---|---|
| TMT-A simple | Min time (ms) | 4042 | 3800 |
| Max time (ms) | 17,402.8 | 10,200 | |
| TMT-A complex | Min time (ms) | 16,821.8 | 12,000 |
| Max time (ms) | 60,461.3 | 52,000 | |
| TMT-B simple | Min time (ms) | 3654.9 | 3500 |
| Max time (ms) | 17,202.6 | 19,900 | |
| TMT-B complex | Min time (ms) | 33,438 | 18,200 |
| Max time (ms) | 108,670.7 | 102,100 | |
| Entire test duration | Min time (ms) | 66,619.1 | 37,500 |
| Max time (ms) | 167,504.9 | 184,200 |
Disclaimer/Publisher’s Note: The statements, opinions and data contained in all publications are solely those of the individual author(s) and contributor(s) and not of MDPI and/or the editor(s). MDPI and/or the editor(s) disclaim responsibility for any injury to people or property resulting from any ideas, methods, instructions or products referred to in the content. |
© 2023 by the authors. Licensee MDPI, Basel, Switzerland. This article is an open access article distributed under the terms and conditions of the Creative Commons Attribution (CC BY) license (https://creativecommons.org/licenses/by/4.0/).
Share and Cite
Chandrasekharan, J.; Joseph, A.; Ram, A.; Nollo, G. ETMT: A Tool for Eye-Tracking-Based Trail-Making Test to Detect Cognitive Impairment. Sensors 2023, 23, 6848. https://doi.org/10.3390/s23156848
Chandrasekharan J, Joseph A, Ram A, Nollo G. ETMT: A Tool for Eye-Tracking-Based Trail-Making Test to Detect Cognitive Impairment. Sensors. 2023; 23(15):6848. https://doi.org/10.3390/s23156848
Chicago/Turabian StyleChandrasekharan, Jyotsna, Amudha Joseph, Amritanshu Ram, and Giandomenico Nollo. 2023. "ETMT: A Tool for Eye-Tracking-Based Trail-Making Test to Detect Cognitive Impairment" Sensors 23, no. 15: 6848. https://doi.org/10.3390/s23156848
APA StyleChandrasekharan, J., Joseph, A., Ram, A., & Nollo, G. (2023). ETMT: A Tool for Eye-Tracking-Based Trail-Making Test to Detect Cognitive Impairment. Sensors, 23(15), 6848. https://doi.org/10.3390/s23156848

