Abstract
Foreign bodies often cause belt scratching and tearing, coal stacking, and plugging during the transportation of coal via belt conveyors. To overcome the problems of large parameters, heavy computational complexity, low classification accuracy, and poor processing speed in current classification networks, a novel network based on ESCBAM and multichannel feature fusion is proposed in this paper. Firstly, to improve the utilization rate of features and the network’s ability to learn detailed information, a multi-channel feature fusion strategy was designed to fully integrate the independent feature information between each channel. Then, to reduce the computational amount while maintaining excellent feature extraction capability, an information fusion network was constructed, which adopted the depthwise separable convolution and improved residual network structure as the basic feature extraction unit. Finally, to enhance the understanding ability of image context and improve the feature performance of the network, a novel ESCBAM attention mechanism with strong generalization and portability was constructed by integrating space and channel features. The experimental results demonstrate that the proposed method has the advantages of fewer parameters, low computational complexity, high accuracy, and fast processing speed, which can effectively classify foreign bodies on the belt conveyor.
1. Introduction
Energy is the foundation and support of a country’s prosperity and sustainable economic development, and coal occupies an important position in the subdivision of energy. As the main equipment of coal transportation, the running state of the belt conveyor directly affects the production efficiency of coal. Foreign bodies such as large gangue and bolt in the coal flow not only cause belt scratching and tearing, but also cause problems such as stacking coal, plugging coal, and other problems [1,2,3].
The complex environment of an underground coal mine also challenges traditional target detection and recognition methods [4,5]. With the rapid development of computer vision technology, convolutional neural networks (CNNs) have been widely applied in many fields [6,7,8,9,10] by virtue of their powerful feature extraction ability. In recent years, some scholars have also begun to apply CNNs to the safe mining and transportation of coal. For example, based on the VGG16 network [11,12] and transfer learning, Pu et al. [13] established a foreign body classification model. By designing and improving the LeNet-5 network, as well as the training of 20,000 pictures of foreign bodies in a non-production environment, Su et al. [14] realized the recognition of foreign bodies. On the basis of multispectral imaging and CNNs, Hu et al. [15] optimized the network hyperparameters by Bayes algorithm according to the features of the foreign body image, which also realized the recognition of coal and gangue. Subsequently, by using residual structure and multi-channel feature fusion, studies have [16] established the foreign body classification network of coal belt and achieved remarkable results. Attention mechanism [17,18,19,20], which can selectively focus on some useful features while ignoring others, quickly attracted the attention of scholars as soon as it was developed. At present, attention mechanism has been widely used to further improve the performance of network models. By using the interdependence between feature maps to update the original data, Hu et al. [21] proposed the SENet network model, which can effectively enhance the importance of useful features. On the basis of SENet, Wang et al. [22] proposed ECANet, which obtains more accurate attention by summarizing cross-channel information through a one-dimensional convolution layer. By constructing two sub-modules to combine channel attention with spatial attention, the convolutional block attention module (CBAM) proposed by Woo et al. [23] can obtain more comprehensive and reliable attention information. However, the existing methods of foreign body classification in coal flow still have the following defects: high complexity, heavy computation, low precision, and poor real-time performance, which are not suitable for deployment in the edge intelligent terminal with high requirements.
To solve the above problems, a coal flow foreign body classification network based on ESCBAM and multi-channel feature fusion was constructed. In the proposed network, the key contributions can be summarized as follows: (1) A multi-feature fusion strategy was designed, which can improve the utilization rate of features and the network’s learning ability of detail information. (2) By using the depthwise separable convolution and improved residual network structure as the fundamental feature extraction unit, an information fusion network was constructed to reduce the computational amount. (3) Based on spatial attention and channel attention, and inspired by CBAM network, this paper proposes an improved attention mechanism by using the optimized ECANet and Sam module in ULSAM [24]. To simplify, the improved attention mechanism was named as ESCBAM. For the proposed ESCBAM, it not only can improve the expressive power of network features, but also realize multi-scale feature learning by establishing nonlinear dependence between feature graphs. Thus, the understanding ability of image context can also be enhanced. (4) For experimental evaluation, the proposed method has the advantages of fewer parameters, low computational complexity, high classification accuracy and fast processing speed, which can effectively classify foreign bodies on the belt and has great practical application value.
The remaining sections are organized as follows. Section II briefly reviews the related work. Section III describes the proposed network and its technical essentials. Section IV presents the extensive experimental results. Conclusions and future work are given in Section V.
2. Related Work
2.1. Depthwise Separable Convolution
Depthwise separable convolution [25,26] is a plug-and-play module, which consists of a depthwise convolution and pointwise convolution, and has been widely used in the convolutional neural network model structure.
As shown in Figure 1, given the same input as the standard convolution, after two steps of sequential operation, the output is the same as the result of the standard convolution, but the computation cost is reduced, and the requirements of lightweight parameters and computation amount can be achieved. M and N denote the number of input and output characteristic channels, respectively. and are the length and width of the input feature, and is the size of the convolutional kernel, whereas and represent the length and width of the output feature, respectively.
Figure 1.
Standard convolution and depthwise separable convolution. (a) Standard convolution; (b) Depthwise separable convolution.
As can be seen from Figure 1a, the computational amount of a standard convolution for N convolutional kernels is given by:
In contrast, the specific structure of a depthwise separable convolution is shown in Figure 1b, and its computation can be expressed by the following formulas:
Therefore, the ratio of the calculational amount of depthwise separable convolution to standard convolution can be expressed by the following formula:
As can be seen from Formula (4), with the increase in the number of convolutional kernels, the computational amount of depth separable convolution is significantly lower than that of the standard convolution. The simplified result of the Formula (4) can be given by:
2.2. CBAM
As a lightweight module and giving a feature map first, a CBAM module can serialize the attention feature map information in both channel and spatial dimensions. Subsequently, to produce the final feature map, it multiplies the two kinds of feature map information with the original input feature map for adaptive feature correction. The structure diagram of CBAM model is shown in Figure 2.
Figure 2.
The structure of the CBAM.
In the CBAM, the channel attention mechanism generates the channel attention feature map according to the channel relationship between features. Each channel is considered as a feature detector to compress the feature dimension, and the combination of maximum pooling and average pooling can improve the feature performance of the network. The structure of the channel attention mechanism model is shown in Figure 3.
Figure 3.
The structure of the channel attention.
Firstly, the two feature maps and are spliced by multi-layer perceptron, in which the multi-layer perceptron contains a hidden layer. Then, the splicing results are sent to the full connection layer, and finally generates the channel feature diagram through the processing of the activation function. To reduce the number of parameters, the activation size of the hidden layer is set to , where r is the reduction ratio. The channel feature diagram can be computed by the Formula (6):
where and are the weights, respectively, and shared for both inputs.
The spatial attention mechanism generates spatial attention feature maps through spatial relationships among features, and its model structure is shown in Figure 4.
Figure 4.
The structure of the spatial attention.
As shown in Figure 4, the input feature graph is processed by maximum pooling and average pooling to generate two feature graphs and . After the two feature graphs are spliced, the spatial feature graph is generated through the convolution layer, and can be computed by the following formula:
3. Proposed Method
In view of the problems existing in a coal flow foreign body classification network, such as large amount of network calculation, poor real-time performance, low recognition accuracy, and not being suitable for deployment in edge intelligent terminal, a novel network based on ESCBAM and multichannel feature fusion is proposed in this paper. The overall structure of the proposed coal flow foreign body classification network is shown in Figure 5 and Table 1. In addition, the detailed structure of the information fusion network in Figure 5 is also presented in Figure 6.
Figure 5.
The structure of the proposed network.
Table 1.
The detailed structure of the proposed network.
Figure 6.
The structure of information fusion network.
As can be seen, the multi-channel feature fusion network is firstly used to fully integrate the independent feature information between each channel, which can improve the network’s learning ability of detailed information and improve the utilization rate of features. Then, by constructing the information fusion network and using the depthwise separable convolution as well as residual network structure as the basic feature extraction unit, the proposed network can effectively reduce the computational amount while maintaining excellent feature extraction capability during the feature extraction stage. Finally, a novel ESCBAM attention mechanism was constructed based on the idea of integrating space and channel features. The ESCBAM attention mechanism uses two one-dimensional fast convolutions to fuse the feature graphs after average pooling and maximum pooling, which can improve the feature performance of the network. Moreover, the nonlinear dependence relationship between feature maps is captured by different attention maps of two different subspaces to realize multi-scale feature learning and enhance the understanding ability of image context.
3.1. Multi-Channel Feature Fusion Network
As shown in Figure 5, multi-channel feature fusion network uses the improved residual structure as the basic feature extraction unit, which is divided into two stages: feature extraction and image classification. In the feature extraction stage, three information fusion networks with different channel numbers are constructed, and each information fusion network contains three improved residual networks. In addition, each improved residual network contains two residual blocks. Finally, the output information of the three improved residual networks is fused.
In the image classification stage, a softmax loss function is adopted. The training set is and its corresponding label category set is . Then, the loss function can be given by:
where represents the i training sample, N denotes the number of training sets, and c is the number of training data categories. represents column c of the parameters of the last layer, and denotes the feature expression of the previous layer. In the process of model training, the network parameter is obtained through the gradient descent algorithm, so as to obtain the optimal solution of the loss function. In addition, to avoid overfitting problems during model training, the loss function is further processed by threshold processing: . Herein, indicates the loss function after threshold processing, and b indicates the preset threshold.
3.2. Information Fusion Network
As can be seen from Figure 5, the proposed network in this paper contains three information fusion networks, whose channels are 64, 128, and 256, respectively. In addition, to reduce the parameter number and computational cost of the information fusion network, the depthwise separable convolution is used to replace the standard convolution in the residual network to improve the initial residual network. In the information fusion network, the input information is sent into three improved residual networks for further feature extraction. Each improved residual network contains two residual blocks, and each residual block contains three convolutional kernels with size 3 × 3 and step size 1. Finally, the three obtained features are processed by the ESCBAM attention mechanism, convolutional kernel with size 3 × 3 and step size 1, and pooling layer with size 3 × 3, respectively.
The detailed structure of the information fusion network is presented in Figure 6. The improved residual network contains two identical residual blocks, and the specific structure is shown in the blue dotted line box of the Figure 6. In addition, to avoid overfitting caused by the excessive number of parameters, we further dropout the fused features to discard some redundant features, as shown in the blue font in the Figure 6.
3.3. ESCBAM Attention Mechanism
To further increase the feature representation ability of the proposed network model and minimize the number of parameters and computation, an improved attention mechanism model ESCBAM was also proposed, whose overall structure is presented in Figure 7.
Figure 7.
The structure of the ESCBAM.
As can be seen from Figure 7, the proposed ESCBAM network mainly consists of two modules, namely ECANet-2 and ULSAM-2. The ECANet [22] is a lightweight channel attention mechanism model, which uses a local cross-channel interaction strategy without dimensionality reduction that can be realized by fast one-dimensional convolution. In this way, it can effectively overcome the paradox of trade-off between performance and complexity.
Herein, the ECANet-2 used in the ESCBAM adopts two fast one-dimensional convolutions to replace the multi-layer perceptron in CBAM. Moreover, it combines the maximum pooling and average pooling feature graphs to reduce the computational load of the model. The detailed structure of the improved ECANet-2 is shown in Figure 8. The convolutional kernel size k in the ECANet-2 is set to 5, and its output feature can be expressed by the following formula:
where represents average pooling attention feature map, and represents maximum pooling attention feature map.
Figure 8.
The structure of the ECANet-2.
For the ULSAM attention mechanism model proposed by Saini et al. [26], it deduces different attention feature maps for each feature subspace, which can realize multi-scale feature representation. Herein, the spatial attention mechanism in the ESCBAM adopts the ULSAM-2 structure, and its specific structure is shown in Figure 9.
Figure 9.
The structure of the ULSAM-2.
ULSAM-2 divides the feature mapping into two different subspaces, and then calculates each subspace separately. The formula is as follows:
where denotes the input feature maps of different subspaces, and represents the output feature map of ULSAM-2. The input feature map of ULSAM-2 is divided into and , and formulas (11) and (12) represent the operation flow of one of .
As can be seen from Figure 9, undergoes a depthwise separable convolution of 1 × 1, maximum pooling of 3 × 3, and point-by-point convolution involving a convolutional kernel in turn. Then, after processing by softmax loss function, the subspace output feature map is obtained. Subsequently, it is operated by and with the subspace input feature map , respectively, to get . represents matrix multiplication and represents matrix superposition. Finally, and are combined to obtain the output feature map , and f represents the splicing operation. In this way, the ULSAM-2 model can effectively capture the nonlinear dependence relationship between different feature maps by forming different attention mappings for two different subspaces. In addition, the multi-scale feature learning can also be realized, and the understanding ability of image context is enhanced, and the cross-channel information is integrated through different feature mapping subspaces.
4. Experimental Results
In this section, to validate the superiority of the proposed method, comprehensive comparative evaluations with the existing networks were conducted on two public standard databases Cifar10 and Cifar100, as well as the real-world applications, that is, the mining belt conveyor coal flow dataset CUMT-BelT. The experiments in this paper were carried out on Ubuntu 20.04.2, Intel(R) Core(TM) I9-10980X@3.0ghz, GPU NVIDIA GeForce RTX3090 (Santa Clara, CA, USA), video capacity 24 GB, and memory 64 GB. CUDA was version 11.1 and Pytorch framework was version 1.8. In addition, the initial learning rate of the proposed network was set as 0.0001, 80 times per iteration, and the learning rate was multiplied by 0.2, for a total of 240 iterations.
4.1. Datasets and Experimental Setup
All the experimental tests in this paper were conducted on three datasets, including two public datasets and one self-built dataset. Public datasets Cifar10 and Cifar100 were selected, and the pictures of self-built datasets were from the real production environment under the mine.
The Cifar10 [27] dataset consisted of a total of 60,000 color RGB images of 10 categories of aircraft, cars, birds, cats, deer, dogs, frogs, horses, boats, and trucks with the size of 32 × 32. There were 6000 images for each category, which were divided into 5000 training images and 1000 test images.
The Cifar100 [27] dataset was also composed of 60,000 32 × 32 color RGB images, with a total of 100 categories, each of which contained 600 images, divided into 500 training set images and 100 test set images. In addition, the 100 categories were divided into 20 super-categories, and each image carried a “fine” label (i.e., the category to which it belonged) and a “rough” label (i.e., the super-categories to which it belonged).
The mining belt conveyor coal flow dataset CUMT-BelT was collected from the transport environment of the belt under the mine. The exposed benchmark dataset can be downloaded from the following address: https://github.com/CUMT-AIPR-Lab/CUMT-AIPR-Lab (accessed on 7 June 2023). The dataset contains 6000 pictures in total, which are divided into 3 categories: large gangue, bolt, and normal sample. Each category consists of 2000 images, with 1600 images allocated for training and 400 images for testing. A portion of the dataset is depicted in Figure 10. As evident from the illustration, the pictures in the first and second row are the sample pictures of large gangue, characterized by their substantial size and weight. Once the coal drop port is blocked in the process of coal flow transmission, it is easy to cause accidents such as coal piling, coal blocking, and even belt tearing. The pictures in the third and fourth rows are the samples of the bolt, which is sharp and slender, and it is very easy to scratch and tear the belt in the process of coal flow transmission. The last two lines are normal coal flow pictures.
Figure 10.
Display of belt conveyor coal flow dataset CUMT-BelT.
4.2. Experimental Results and Discussion
In this subsection, to explore the influence of attention mechanisms on the classification effect of the proposed network, SENet [21], ECANet [22], CBAM [23], and ESCBAM were embedded into the proposed network, respectively, for comparative experiments, and the embedded positions of the four attention mechanisms were all the same. The comparison results of classification accuracy and computational amount on Cifar10 dataset and mining belt conveyor coal flow dataset are shown in Table 2.
Table 2.
Accuracy and computational cost comparison of networks with different attention mechanisms.
As can be seen from Table 2, the network model incorporating CBAM and ESCBAM modules exhibited higher classification accuracy than the network with SENet and ECANet modules for both the Cifar10 and the mining belt conveyor coal flow dataset. However, it is worth noting that the computational cost of the former was also higher compared to SENet and ECANet across the board. The main reason is that the CBAM and ESCBAM modules both incorporate channel attention and spatial attention, whereas SENet and ECANet contain only spatial attention, so this is what we expected. Moreover, the classification accuracy of the network with ESCBAM on Cifar10 was not only 0.2% higher than that of the network with CBAM, but also 0.2% higher on the mining belt conveyor coal flow dataset, and the computational amount was also reduced by 0.17 G. Those results fully indicate that the constructed ESCBAM attention mechanism can not only improve the classification accuracy, but also reduce the computational amount, making it possible to be deployed in the edge intelligent terminal with high requirement of real-time mine target recognition in the near future.
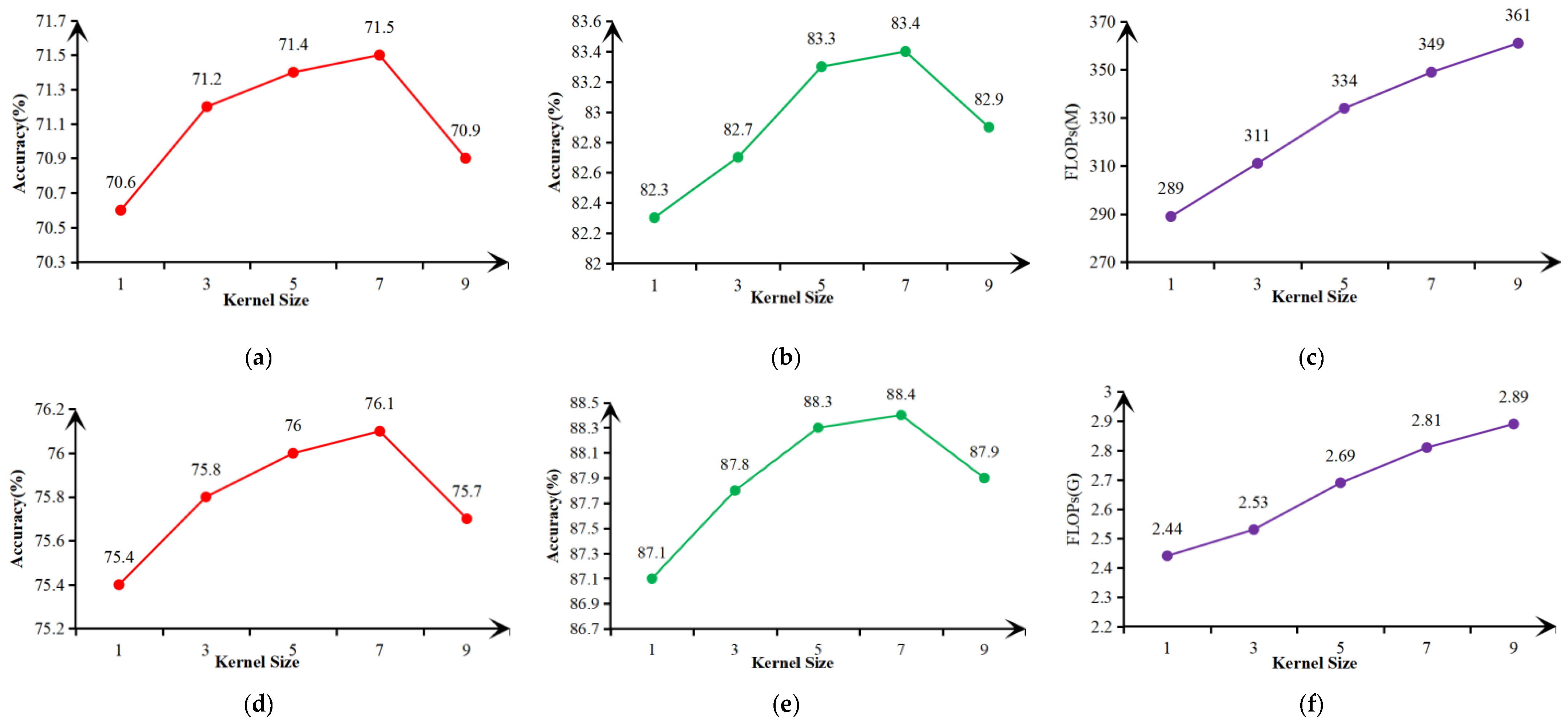
To explore the influence of one-dimensional fast convolutional kernel’s size in the ECANet-2 of ESCBAM module on the performance of attention mechanism, five convolutional kernels with different sizes (1, 3, 5, 7, 9) were selected empirically in this paper, and comparative experiments were conducted on the mining belt conveyor coal flow dataset and the Cifar100 dataset. The overall network structure was MobileNetV2 [28] and the network proposed in this paper. The experimental results are shown in Figure 11 and Table 3.
Figure 11.
The effect of different convolutional kernel sizes on network performance. (a) Accuracy of MobileNetV2 with different k of ESCBAM on Cifar100; (b) Accuracy of MobileNetV2 with different k of ESCBAM on CUMT-BelT; (c) Computation of MobileNetV2 with different k of ESCBAM; (d) Accuracy of the proposed network with different k of ESCBAM on Cifar100; (e) Accuracy of the proposed network with different k of ESCBAM on CUMT-BelT; (f) Computation of the proposed network with different k of ESCBAM.
Table 3.
Accuracy and computational cost comparison of networks with different convolutional kernel sizes.
It can be seen from Figure 11 and Table 3 that as the convolutional kernel size increased, so did the computational amount of the corresponding network. However, it can also be observed that the classification accuracy did not always increase with the increase of the size of the convolutional kernel, but decreased after reaching a certain peak value. Therefore, the selection of the convolutional kernel size will directly affect the classification accuracy of the proposed network. For the MobileNetV2 network, the classification accuracy on Cifar100 and mining dataset were both the highest when k = 7, which was 0.1% higher than that when k = 5, but it increased 15 M in FLOPs. On the whole, although the classification effect when k = 7 was slightly better than that when k = 5, the amount of computation increased significantly. As for the network proposed in this paper, although its classification accuracy was also the highest on Cifar100 and mining dataset when k = 7, and was 0.1% higher than that when k = 5, its computational amount was also significantly increased by 0.17 G than that when k = 5. Moreover, there was a significant decline in classification accuracy in both datasets when k = 9. Therefore, compared with 0.1% improvement in classification accuracy, the reduction in computational amount worth weighing and paying more attention to. Hence, k = 5 was finally selected as the size of the convolutional kernel of ESCBAM module in this paper.
To further verify the validity and complexity of our network model and ESCBAM attention mechanism, 32 networks in 8 categories (i.e., our proposed network, MobileNetV2 [28], ResNet50 [29], ResNet34 [29], GoogleNetV3 [30], ResNeXt50 [31], ShufflenetV2 [32], and Yang et al. [33] with four different attention mechanisms, none, ECANet, CBAM, and ESCBAM, respectively) were tested on the Cifar10, Cifar100, and mining belt conveyor coal flow datasets, respectively. In addition, the four indexes of parameter number, FLOPs, FPS, and accuracy were adopted as their performance evaluation indexes, and the comparison results are listed in Table 4. The best results for the 4 different attention mechanisms of each category are shown in blue bold, and the best results achieved across all 32 networks are shown in black bold.
Table 4.
Comparison of parameters, accuracy, FLOPs, and FPS of different networks with different attention mechanisms.
As can be seen, the same classification network with different attention mechanisms had great differences in the four indicators, and different classification networks with the same attention mechanisms also had great differences in performance. On the whole, the network model using attention mechanism had better classification accuracy than the networks model without the attention mechanism. Moreover, the ESCBAM proposed in this paper achieved the most remarkable performance of all the attention mechanisms.
For the ResNet50 and ResNet34 networks, compared with networks without the attention mechanism on the Cifar10 dataset, the accuracy of networks using ECANet, CBAM, and ESCBAM increased by 1.5%, 1.9%, 2.2% and 2.2%, 3.0%, 3.1%, respectively. The accuracy of the corresponding networks in Cifar100 dataset increased by 1.5%, 2.2%, 2.4% and 2.1%, 2.6%, 2.8%, as well as in mining belt conveyor coal flow dataset by 2.4%, 3.0%, 3.1% and 1.7%, 2.2%, 2.3%, respectively. Therefore, we can conclude that the accuracy of the network can be improved in both the public dataset and the mining belt conveyor coal flow dataset, indicating that the ESCBAM attention mechanism proposed in this paper has strong generalization. In addition, although the proposed network is relatively not optimal in terms of parameters, FLOPs and FPS, its accuracy is the highest among other attention mechanisms, and it also achieves better performance than the network with CBAM in terms of parameters, FLOPs, and FPS. Analogously, the above similar conclusions can also be found from the results of GoogleNetV3 and Yang et al.
For the ResNeXt50 network, compared with the network using ECANet or the network without the attention mechanism, the classification accuracy of networks using ESCBAM were significantly improved on all the datasets. Compared with networks using CBAM, the classification accuracy of our network using ESCBAM on the three datasets decreased by 0.1%, remained unchanged, and increased by 0.1%, respectively, indicating that the average classification accuracy of these two methods remains unchanged. However, it is worth mentioning that its average classification accuracy remains the same, but its amount of computation decreased by 0.16 G, its number of parameters decreased by 1.7 M, and the FPS increased by 2.
For the ShufflenetV2 and MobileNetV2 networks with fewer parameters and lower FLOPs, compared with the network without the attention mechanism on the Cifar10 dataset, the accuracy of networks using ECANet, CBAM, and ESCBAM increased by 2.2%, 3.0%, 3.3% and 2.1%, 2.7%, 3.0%, respectively. In addition, the accuracy of the corresponding networks in the Cifar100 dataset increased by 1.8%, 2.6%, 2.8% and 1.5%, 2.2%, 2.5%, as well as in the mining belt conveyor coal flow dataset by 2.5%, 3.0%, 3.2% and 2.3%, 2.8%, 2.9%, respectively. Therefore, through the above two groups of experimental results from the ShufflenetV2 and MobileNetV2 networks, it has again proved that the ESCBAM attention mechanism proposed in this paper has strong generalization and portability.
For the network proposed in this paper, compared with network using ECANet or network without the attention mechanism, the proposed network using ESCBAM achieved the highest classification accuracy on the Cifar10, Cifar100, and mining belt conveyor coal flow datasets. Compared with the network using CBAM, the classification accuracy of our network using ESCBAM increased by 0.2% on all three datasets. Furthermore, its computational load also reduced by 0.17 G, the number of parameters reduced by 1.3 M, and the FPS increased by 4. Therefore, we can conclude that the novel ESCBAM can not only improve the classification accuracy, but also reduce the number of parameters and the computational amount, indicating that our ESCBAM is not only suitable for other classification models, but also suitable for the classification model based on multi-channel feature fusion proposed in this paper.
In summary, through the above detailed experimental comparison and analysis, it is proven that the proposed foreign body classification model of coal flow based on ESCBAM and multi-channel feature fusion has the advantages of fewer network parameters, low computational complexity, high classification accuracy, and fast processing speed, which can effectively classify foreign bodies on the coal belt, thus improving the transportation efficiency of the mine coal belt.
5. Conclusions
In this paper, a coal flow foreign body classification network based on ESCBAM and multi-channel feature fusion is proposed. Firstly, a multi-channel feature fusion strategy was designed, which improved the network’s learning ability to detailed information and feature utilization. Subsequently, by using the depthwise separable convolution and improved residual network structure as the basic feature extraction unit, and then constructing the information fusion network, the computational amount of the proposed network was effectively reduced, and the remarkable feature extraction capability was also maintained. Finally, based on the idea of integrating space and channel features, a novel ESCBAM attention mechanism with strong generalization and portability was constructed and further embedded into the information fusion network. Comprehensive experimental results of three databases demonstrate that the proposed network can achieve high classification accuracy and fast processing speed while enjoying a fewer network parameters and lower computational complexity.
In future work, the multiplex attention multiplexing mechanism and hierarchical feature-guided attention mechanism will be investigated and used to try to optimize the proposed method to further improve the accuracy of coal flow foreign body classification.
Author Contributions
Conceptualization, Q.K. and J.X.; methodology, Q.K., J.X. and D.C.; software, Q.K. and H.M.; validation, H.M. and H.J.; writing—original draft preparation, Q.K. and J.X.; writing—review and editing, Q.K., J.X. and D.C.; visualization, H.M. and H.J.; supervision, D.C.; project administration, D.C.; funding acquisition, Q.K. All authors have read and agreed to the published version of the manuscript.
Funding
This research was funded by the National Natural Science Foundation of China under Grant number 52204177.
Institutional Review Board Statement
Not applicable.
Informed Consent Statement
Not applicable.
Data Availability Statement
The data may be obtained from the authors upon reasonable request.
Conflicts of Interest
The authors declare no conflict of interest.
References
- Si, L.; Wang, Z.; Liu, P.; Tan, C.; Chen, H.; Wei, D. A Novel Coal-Rock Recognition Method for Coal Mining Working Face Based on Laser Point Cloud Data. IEEE Trans. Instrum. Meas. 2021, 70, 2514118. [Google Scholar] [CrossRef]
- Cao, x.; Wei, H.; Wang, P.; Zhang, C.; Huang, S.; Li, H. High Quality Coal Foreign Object Image Generation Method Based on StyleGAN-DSAD. Sensors 2023, 23, 374. [Google Scholar] [CrossRef] [PubMed]
- Shao, Z.; Liang, Y.; Tian, F.; Song, S.; Deng, R. Constructing 3-D Land Surface Temperature Model of Local Coal Fires Using UAV Thermal Images. IEEE Trans. Geosci. Remote Sens. 2022, 60, 5002309. [Google Scholar] [CrossRef]
- Kou, Q.; Cheng, D.; Zhuang, H.; Gao, R. Cross-Complementary Local Binary Pattern for Robust Texture Classification. IEEE Signal Process. Lett. 2019, 26, 129–133. [Google Scholar] [CrossRef]
- Kou, Q.; Cheng, D.; Chen, L.; Zhuang, Y. Principal Curvatures based Local Binary Pattern for Rotation Invariant Texture Classification. Optik 2019, 193, 162999. [Google Scholar] [CrossRef]
- Zhang, L.; Zhu, Y.; Wu, H.; Li, K. An Optimized Multisource Bilinear Convolutional Neural Network Model for Flame Image Identification of Coal Mine. IEEE Access 2022, 10, 47284–47300. [Google Scholar] [CrossRef]
- Cheng, D.; Chen, L.; Lv, C.; Guo, L.; Kou, Q. Light-Guided and Cross-Fusion U-Net for Anti-Illumination Image Super-Resolution. IEEE Trans. Circuits Syst. Video Technol. 2022, 32, 8436–8449. [Google Scholar] [CrossRef]
- Chen, L.; Guo, L.; Cheng, D.; Kou, Q. Structure-Preserving and Color-Restoring Up-Sampling for Single Low-Light Image. IEEE Trans. Circuits Syst. Video Technol. 2022, 32, 1889–1902. [Google Scholar] [CrossRef]
- Hu, F.; Bian, K. Accurate Identification Strategy of Coal and Gangue Using Infrared Imaging Technology Combined with Convolutional Neural Network. IEEE Access 2022, 10, 8758–8766. [Google Scholar] [CrossRef]
- Cheng, D.; Liu, R.; Li, J.; Liang, S.; Kou, Q.; Zhao, K. Activity guided multi-scales collaboration based on scaled-CNN for saliency prediction. Image Vis. Comput. 2021, 114, 104267. [Google Scholar] [CrossRef]
- Nijaguna, G.S.; Babu, J.A.; Parameshachari, B.D.; de Prado, R.P.; Frnda, J. Quantum Fruit Fly algorithm and ResNet50-VGG16 for medical diagnosis. Appl. Soft. Comput. 2023, 136, 110055. [Google Scholar] [CrossRef]
- Mousavi, S.; Farahani, G. A Novel Enhanced VGG16 Model to Tackle Grapevine Leaves Diseases with Automatic Method. IEEE Access 2022, 10, 111564–111578. [Google Scholar] [CrossRef]
- Pu, Y.; Apel, D.B.; Szmigiel, A.; Chen, J. Image Recognition of Coal and Coal Gangue Using a Convolutional Neural Network and Transfer Learning. Energies 2019, 12, 1735. [Google Scholar] [CrossRef]
- Su, L.; Cao, X.; Ma, H.; Li, Y. Research on Coal Gangue Identification by Using Convolutional Neural Network. In Proceedings of the 2018 2nd IEEE Advanced Information Management, Communicates, Electronic and Automation Control Conference (IMCEC), Xi’an, China, 25–27 May; 2018. [Google Scholar] [CrossRef]
- Hu, F.; Zhou, M.; Yan, P.; Liang, Z.; Li, M. A Bayesian optimal convolutional neural network approach for classification of coal and gangue with multispectral imaging. Opt. Lasers Eng. 2022, 156, 107081. [Google Scholar] [CrossRef]
- Cheng, D.; Xu, J.; Kou, Q.; Zhang, H.; Han, C.; Yv, B.; Qian, J. Lightweight Network based on Residual Information for Foreign Body Classification on Coal Conveyor Belt. J. China Coal Soc. 2022, 47, 1361–1369. [Google Scholar] [CrossRef]
- Guo, R.; Liu, H.; Xie, G.; Zhang, Y.; Liu, D. A Self-Interpretable Soft Sensor Based on Deep Learning and Multiple Attention Mechanism: From Data Selection to Sensor Modeling. IEEE Trans. Ind. Inform. 2023, 19, 6859–6871. [Google Scholar] [CrossRef]
- Dai, L.; Liu, J.; Ju, Z. Binocular Feature Fusion and Spatial Attention Mechanism Based Gaze Tracking. IEEE Trans. Hum.-Mach. Syst. 2022, 52, 302–311. [Google Scholar] [CrossRef]
- Chen, Q.; Lin, N.; Bu, S.; Wang, H.; Zhang, B. Interpretable Time-Adaptive Transient Stability Assessment Based on Dual-Stage Attention Mechanism. IEEE Trans. Power Syst. 2023, 38, 2776–2790. [Google Scholar] [CrossRef]
- Wu, B.; Feng, Y.; Sun, Y.; Ji, Y. Feature Aggregation via Attention Mechanism for Visible-Thermal Person Re-Identification. IEEE Signal Process. Lett. 2023, 30, 140–144. [Google Scholar] [CrossRef]
- Hu, J.; Shen, L.; Albanie, S.; Sun, G.; Wu, E. Squeeze-and-Excitation Networks. IEEE Trans. Pattern Anal. Mach. Intell. 2020, 42, 2011–2023. [Google Scholar] [CrossRef]
- Wang, Q.; Wu, B.; Zhu, P.; Li, P.; Zuo, W.; Hu, Q. ECA-Net: Efficient Channel Attention for Deep Convolutional Neural Networks. In Proceedings of the 2020 IEEE/CVF Conference Computer Vision Pattern Recognition (CVPR), Seattle, WA, USA, 13–19 June 2020. [Google Scholar] [CrossRef]
- Woo, S.; Park, J.; Lee, J.Y.; Kweon, I.S. CBAM: Convolutional Block Attention Modul. In Proceedings of the European Conference on Computer Vision (ECCV), Munich, Germany, 8–14 September 2018. [Google Scholar] [CrossRef]
- Saini, R.; Jha, N.K.; Das, B.; Mittal, S.; Mohan, C.K. ULSAM: Ultra-Lightweight Subspace Attention Module for Compact Convolutional Neural Networks. In Proceedings of the IEEE/CVF Winter Conference on Applications of Computer Vision (WACV), Snowmass, CO, USA, 1–5 March; 2020. [Google Scholar] [CrossRef]
- Lu, G.; Zhang, W.; Wang, Z. Optimizing Depthwise Separable Convolution Operations on GPUs. IEEE Trans. Parallel Distrib. Syst. 2022, 33, 70–87. [Google Scholar] [CrossRef]
- Choi, J.; Sim, H.; Oh, S.; Lee, S.; Lee, J. MLogNet: A Logarithmic Quantization-Based Accelerator for Depthwise Separable Convolution. IEEE Trans. Comput-Aided Des. Integr. Circuits Syst. 2022, 41, 5220–5231. [Google Scholar] [CrossRef]
- CIFAR-10 and CIFAR-100 Datasets. Available online: http://www.cs.toronto.edu/~kriz/cifar.html (accessed on 29 July 2023).
- Sandler, M.; Howard, A.; Zhu, M.; Zhmoginov, A.; Chen, L. MobileNetV2: Inverted Residuals and Linear Bottlenecks. In Proceedings of the IEEE Conference on Computer Vision and Pattern Recognition (CVPR), Salt Lake City, UT, USA, 18–23 June 2018. [Google Scholar] [CrossRef]
- He, K.; Zhang, X.; Ren, S.; Sun, J. Deep Residual Learning for Image Recognition. In Proceedings of the 2016 IEEE Conference on Computer Vision and Pattern Recognition (CVPR), Las Vegas, NV, USA, 27–30 June 2016. [Google Scholar] [CrossRef]
- Szegedy, C.; Vanhoucke, V.; Ioffe, S.; Shlens, J.; Wojna, Z. Rethinking the Inception Architecture for Computer Vision. In Proceedings of the 2016 IEEE Conference on Computer Vision and Pattern Recognition (CVPR), Las Vegas, NV, USA, 27–30 June 2016. [Google Scholar] [CrossRef]
- Xie, S.; Girshick, R.; Dollár, P.; Tu, Z.; He, K. Aggregated Residual Transformations for Deep Neural Networks. In Proceedings of the 2017 IEEE Conference on Computer Vision and Pattern Recognition (CVPR), Honolulu, HI, USA, 21–26 July 2017. [Google Scholar] [CrossRef]
- Ma, N.; Zhang, X.; Zheng, H.; Sun, J. ShuffleNet V2: Practical Guidelines for Efficient CNN Architecture Design. In Proceedings of the European Conference on Computer Vision (ECCV), Munich, Germany, 8–14 September 2018. [Google Scholar] [CrossRef]
- Yang, H.; Ni, J.; Gao, J.; Han, Z.; Luan, T. A novel method for peanut variety identification and classification by Improved VGG16. Sci. Rep. 2021, 11, 15756. [Google Scholar] [CrossRef] [PubMed]
Disclaimer/Publisher’s Note: The statements, opinions and data contained in all publications are solely those of the individual author(s) and contributor(s) and not of MDPI and/or the editor(s). MDPI and/or the editor(s) disclaim responsibility for any injury to people or property resulting from any ideas, methods, instructions or products referred to in the content. |
© 2023 by the authors. Licensee MDPI, Basel, Switzerland. This article is an open access article distributed under the terms and conditions of the Creative Commons Attribution (CC BY) license (https://creativecommons.org/licenses/by/4.0/).










