DNN-Based Estimation for Misalignment State of Automotive Radar Sensor
Abstract
:1. Introduction
- The misalignment angle of the radar sensor can be estimated through the proposed DNN-based classifier.
- Unlike previous methods that directly check the radar mounting state by overhauling the bumper, the proposed method can indirectly estimate the radar misalignment angle.
- Compared with [21], the proposed DNN-based estimation method does not specifically require the step of selecting appropriate features.
- The proposed DNN-based estimation method shows higher accuracy than feature-based machine learning methods such as decision tree.
2. Signal Model in FMCW Radar System
3. Measurement and Analysis for FMCW Radar Sensor Data
3.1. Measurement Environment
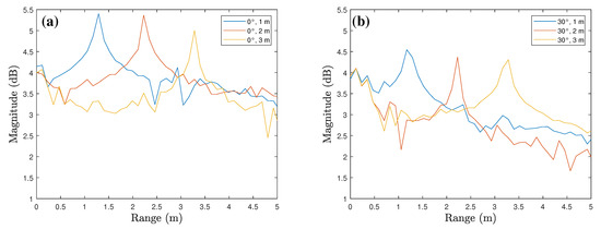
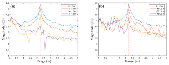
3.2. Analysis of Range Profiles
4. Proposed DNN-Based Tilt Angle Estimation Method
4.1. Input Vector Generation for Training
4.2. Proposed DNN-based Misalignment Angle Estimator
4.3. Performance Evaluation
5. Conclusions
Author Contributions
Funding
Institutional Review Board Statement
Informed Consent Statement
Data Availability Statement
Conflicts of Interest
Abbreviations
| ADC | Analog-to-digital converter |
| DNN | Deep neural network |
| DSP | Digital signal processor |
| FFT | Fast Fourier transform |
| FM | Frequency Mixer |
| FMCW | Frequency-modulated continuous wave |
| I | In-phase |
| LPF | Low pass filter |
| Q | Quadrature |
| Rx | Receiving antenna |
| Tx | Transmitting antenna |
| VCO | Voltage-controlled oscillator |
| WG | Waveform generator |
References
- Wang, Z.; Wu, Y.; Niu, Q. Multi-sensor fusion in automated driving: A survey. IEEE Access 2020, 8, 2847–2868. [Google Scholar] [CrossRef]
- Skolnik, M.I. Radar Handbook, 3rd ed.; Manhatta McGraw-Hill Education: Manhatta, NY, USA, 2008. [Google Scholar]
- Newsom, R.K.; Krishnamurthy, R. Doppler Lidar (DL) Instrument Handbook; DOE Office of Science Atmospheric Radiation Measurement (ARM) User Facility: Lemont, IL, USA, 2020. [Google Scholar]
- Bengler, K.; Dietmayer, K.; Farber, B.; Maurer, M.; Stiller, C.; Winner, H. Three decades of driver assistance systems: Review and future perspectives. IEEE Intell. Transp. Syst. Mag. 2014, 6, 6–22. [Google Scholar] [CrossRef]
- Raviteja, S.; Shanmughasundaram, R. Advanced driver assitance system (ADAS). In Proceedings of the International Conference on Intelligent Computing and Control Systems (ICICCS), Madurai, India, 14–15 June 2018; pp. 737–740. [Google Scholar]
- Jones, W.D. Keeping cars from crashing. IEEE Spectr. 2001, 38, 40–45. [Google Scholar] [CrossRef]
- Dickmann, J.; Klappstein, J.; Hahn, M.; Appenrodt, N.; Bloecher, H.; Werber, K.; Sailer, A. Automotive radar the key technology for autonomous driving: From detection and ranging to environmental understanding. In Proceedings of the IEEE Radar Conference (RadarConf), Philadelphia, PA, USA, 2–6 May 2016; pp. 1–6. [Google Scholar]
- Yeong, D.J.; Velasco-Hernandez, G.; Barry, J.; Walsh, J. Sensor and sensor fusion technology in autonomous vehicles: A review. Sensors 2021, 21, 2140. [Google Scholar] [CrossRef] [PubMed]
- Rosero, L.A.; Osório, F.S. Calibration and multi-sensor fusion for on-road obstacle detection. In Proceedings of the Latin American Robotics Symposium (LARS) and 2017 Brazilian Symposium on Robotics (SBR), Curitiba, Brazil, 8–11 November 2017; pp. 1–6. [Google Scholar]
- Zhang, Q.; Pless, R. Extrinsic calibration of a camera and laser range finder (improves camera calibration). In Proceedings of the IEEE/RSJ International Conference on Intelligent Robots and Systems (IROS), Sendai, Japan, 28 September–2 October 2004; pp. 2301–2306. [Google Scholar]
- Zhou, L.; Deng, Z. Extrinsic calibration of a camera and a lidar based on decoupling the rotation from the translation. In Proceedings of the 2012 IEEE Intelligent Vehicles Symposium, Madrid, Spain, 3–7 June 2012; pp. 642–648. [Google Scholar]
- Ikram, M.Z.; Ahmad, A. Automated radar mount-angle calibration in automotive applications. In Proceedings of the IEEE Radar Conference (RadarConf), Boston, MA, USA, 22–26 April 2019; pp. 1–5. [Google Scholar]
- Olutomilayo, K.T.; Bahramgiri, M.; Nooshabadi, S.; Fuhrmann, D.R. Extrinsic calibration of radar mount position and orientation with multiple target configurations. IEEE Trans. Instrum. Meas. 2021, 70, 1–13. [Google Scholar] [CrossRef]
- Hau, F.; Baumgärtner, F.; Vossiek, M. The degradation of automotive radar sensor signals caused by vehicle vibrations and other nonlinear movements. Sensors 2020, 20, 6195. [Google Scholar] [CrossRef] [PubMed]
- Ma, Y.-Z.; Cui, C.; Kim, B.-S.; Joo, J.-M.; Jeon, S.-H.; Nam, S. Road clutter spectrum of BSD FMCW automotive radar. In Proceedings of the European Radar Conference (EuRAD), Paris, France, 9–11 September 2015; pp. 109–112. [Google Scholar]
- Oh, S.; You, J.-H.; Eskandarian, A.; Kim, Y.-K. Accurate alignment inspection system for low-resolution automotive LiDAR. IEEE Sens. J. 2021, 21, 11961–11968. [Google Scholar] [CrossRef]
- Xia, X.; Xiong, L.; Huang, Y.; Lu, Y.; Gao, L.; Xu, N.; Yu, Z. Estimation on IMU yaw misalignment by fusing information of automotive onboard sensors. Mech. Syst. Signal Process. 2022, 162, 1–17. [Google Scholar] [CrossRef]
- Bobaru, A.; Nafornita, C.; Vesa, V.C. Unsupervised online horizontal misalignment detection algorithm for automotive radar. In Proceedings of the 2022 International Conference on Communications (COMM), Bucharest, Romania, 16–18 June 2022; pp. 1–5. [Google Scholar]
- Choi, K.-R.; Seo, G.-H.; Lee, J.-E.; Jeong, S.-H.; Oh, J.-N. Automatic radar horizontal alignment scheme using stationary target on public road. In Proceedings of the European Microwave Conference (EuMC), Nuremberg, Germany, 6–10 October 2013; pp. 1863–1866. [Google Scholar]
- Guo, J.; Sun, S.; Li, K. Automatic azimuth alignment for automotive radar. SAE Tech. Paper 2018. [Google Scholar] [CrossRef]
- Jung, J.; Lee, S.; Lim, S.; Kim, S.-C. Machine learning-based estimation for tilted mounting angle of automotive radar sensor. IEEE Sens. J. 2020, 20, 2928–2937. [Google Scholar] [CrossRef]
- Jolliffe, I. Principal Component Analysis, 2nd ed.; Springer: Manhattan, NY, USA, 2002. [Google Scholar]
- Altman, N.S. An introduction to kernel and nearest-neighbor nonparametric regression. Am. Stat. 1992, 46, 175–185. [Google Scholar]
- Abdu, F.J.; Zhang, Y.; Fu, M.; Li, Y.; Deng, Z. Application of deep learning on millimeter-wave radar signals: A review. Sensors 2021, 21, 1951. [Google Scholar] [CrossRef] [PubMed]
- Jeong, T.; Lee, S. Ghost target suppression using deep neural network in radar-based indoor environment mapping. IEEE Sens. J. 2022, 22, 14378–14386. [Google Scholar] [CrossRef]
- Ng, W.; Wang, G.; Siddhartha; Lin, Z.; Dutta, B.J. Range-Doppler detection in automotive radar with deep learning. In Proceedings of the International Joint Conference on Neural Networks (IJCNN), Glasgow, UK, 19–24 July 2020; pp. 1–8.
- Angelov, A.; Robertson, A.; Murray-Smith, R.; Fioranelli, F. Practical classification of different moving targets using automotive radar and deep neural networks. IET Radar Sonar Navig. 2018, 12, 1082–1089. [Google Scholar] [CrossRef] [Green Version]
- Senigagliesi, L.; Ciattaglia, G.; De Santis, A.; Gambi, E. People walking classification using automotive radar. Electronics 2020, 9, 588. [Google Scholar] [CrossRef] [Green Version]
- Lim, H.-S.; Jung, J.; Lee, J.-E.; Park, H.-M.; Lee, S. DNN-based human face classification using 61 GHz FMCW radar sensor. IEEE Sens. J. 2020, 20, 12217–12224. [Google Scholar] [CrossRef]
- Mun, J.; Kim, H.; Lee, J. A deep learning approach for automotive radar interference mitigation. In Proceedings of the IEEE Vehicular Technology Conference (VTC-Fall), Chicago, IL, USA, 27–30 August 2018; pp. 1–5. [Google Scholar]
- Bialer, O.; Garnett, N.; Tirer, T. Performance advantages of deep neural networks for angle of arrival estimation. In Proceedings of the ICASSP 2019—2019 IEEE International Conference on Acoustics, Speech and Signal Processing (ICASSP), Brighton, UK, 12–17 May 2019; pp. 3907–3911. [Google Scholar]
- Lee, S.; Jung, Y.; Lee, M.; Lee, W. Compressive sensing-based SAR image reconstruction from sparse radar sensor data acquisition in automotive FMCW radar system. Sensors 2021, 21, 7283. [Google Scholar] [CrossRef] [PubMed]
- Patole, S.M.; Torlak, M.; Wang, D.; Ali, M. Automotive radars: A review of signal processing techniques. IEEE Signal Process. Mag. 2017, 34, 22–35. [Google Scholar] [CrossRef]
- AWR1642 Single-Chip 77- and 79-GHz FMCW Radar Sensor, Texas Instruments, Dallas, TX, USA. Available online: https://www.ti.com/lit/ds/symlink/awr1642.pdf (accessed on 11 July 2023).
- Bishop, C.; Nasrabadi, N. Pattern Recognition and Machine Learning; Springer: Manhattan, NY, USA, 2006. [Google Scholar]
- Breiman, L.; Friedman, J.H.; Olshen, R.A.; Stone, C.J. Classification and Regression Trees, 1st ed.; Chapman & Hall/CRC: Boca Raton, FL, USA, 2017. [Google Scholar]












| System Parameter | Value |
|---|---|
| Center frequency, | 77 GHz |
| Bandwidth, B | 3 GHz |
| Chirp duration, | 160 s |
| The number of chirps, | 128 |
| The number of time samples, N | 256 |
| Sampling frequency, | 10 MHz |
| Frame time, | 20.48 ms |
| Range resolution, | 0.1172 m |
| Maximum detectable range, | 29.9972 m |
| The number of transmit antenna element, | 1 |
| The number of receiving antenna elements, | 4 |
| Target | Measurement Distance | Tilt Angle |
|---|---|---|
| Trihedral corner reflector | 1 m, 2 m, 3 m | |
| Mercedes-Benz CLA | 1 m, 2 m, 3 m | |
| Chevrolet Spark | 1 m, 2 m, 3 m | |
| Target | Estimation Accuracy |
|---|---|
| Trihedral corner reflector | 99.25% |
| Mercedes-Benz CLA | 99.33% |
| Chevrolet Spark | 98.67% |
Disclaimer/Publisher’s Note: The statements, opinions and data contained in all publications are solely those of the individual author(s) and contributor(s) and not of MDPI and/or the editor(s). MDPI and/or the editor(s) disclaim responsibility for any injury to people or property resulting from any ideas, methods, instructions or products referred to in the content. |
© 2023 by the authors. Licensee MDPI, Basel, Switzerland. This article is an open access article distributed under the terms and conditions of the Creative Commons Attribution (CC BY) license (https://creativecommons.org/licenses/by/4.0/).
Share and Cite
Kim, J.; Jeong, T.; Lee, S. DNN-Based Estimation for Misalignment State of Automotive Radar Sensor. Sensors 2023, 23, 6472. https://doi.org/10.3390/s23146472
Kim J, Jeong T, Lee S. DNN-Based Estimation for Misalignment State of Automotive Radar Sensor. Sensors. 2023; 23(14):6472. https://doi.org/10.3390/s23146472
Chicago/Turabian StyleKim, Junho, Taewon Jeong, and Seongwook Lee. 2023. "DNN-Based Estimation for Misalignment State of Automotive Radar Sensor" Sensors 23, no. 14: 6472. https://doi.org/10.3390/s23146472
APA StyleKim, J., Jeong, T., & Lee, S. (2023). DNN-Based Estimation for Misalignment State of Automotive Radar Sensor. Sensors, 23(14), 6472. https://doi.org/10.3390/s23146472

