Parameter Optimization of Model Predictive Direct Motion Control for Distributed Drive Electric Vehicles Considering Efficiency and the Driving Feeling
Abstract
1. Introduction
- Introduction of a simplified control structure: The MPDMC strategy replaces the traditional motion control system, which typically requires one vehicle handling controller and four motor controllers, with a streamlined control structure that integrates the control of three motion directions into a single controller. This simplification improves the handling quality of the system and reduces the system complexity.
- Optimization considering efficiency and driving feeling: The paper presents a comprehensive cost function that balances control accuracy and efficiency. This cost function takes into account various control objectives and constraint conditions. Additionally, the integration of a subjective driving feeling evaluation, achieved through a trained LSTM neural network, allows for a more balanced and tailored control strategy. The optimization process, utilizing the particle swarm optimization (PSO) algorithm, determines the weight parameters associated with different terms in the cost function, enhancing the overall control performance.
2. Model of DDEV
2.1. Dynamics Model
2.2. In-Wheel Motor Model
2.3. Unified Model
3. Proposed MPDMC Strategy
3.1. Reference Inputs
3.2. Discretization of the Mathematical Model
3.3. Inverter Voltage Vectors
4. Cost Functions of MPDMC
4.1. Longitudinal Velocity Control Objective
4.2. Stability of the Vehicle
4.3. Efficiency of DDEVs
4.3.1. Power Loss of the Inverter
4.3.2. Power Loss of the PMSM
4.3.3. Maximum Efficiency Operating Map
4.3.4. Entire Cost Function of MPDMC
5. Optimization of Cost Functions Considering Driving Feeling
5.1. Typical Labeled Data
5.2. LSTM Training
6. PSO Optimization
Fitness Function
7. Evaluation
7.1. Settings
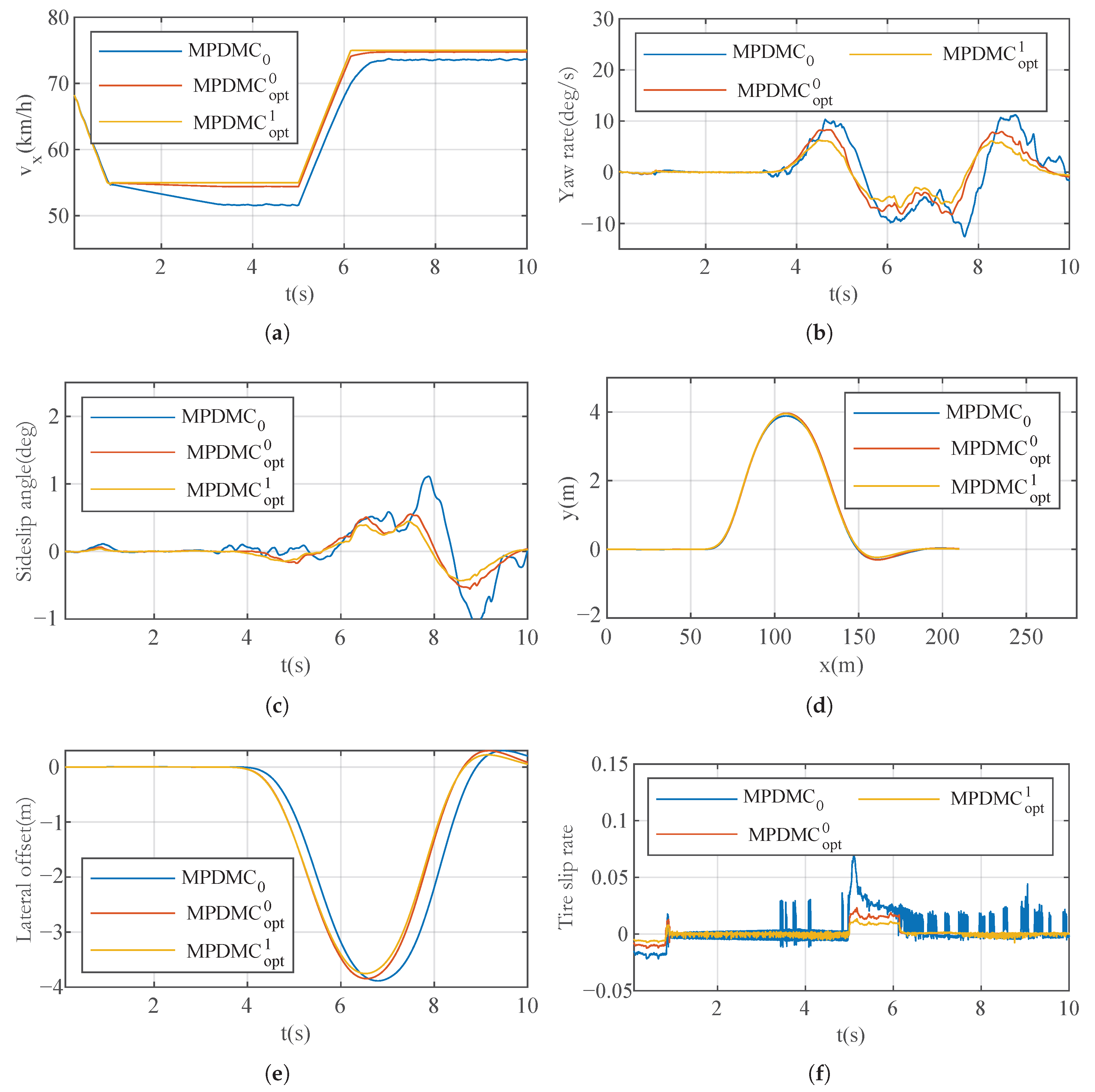
7.2. Case A
7.2.1. “Nor” Mode
7.2.2. “Spt” and “Eco” Mode
7.3. Case 2
8. Conclusions
Author Contributions
Funding
Institutional Review Board Statement
Informed Consent Statement
Data Availability Statement
Conflicts of Interest
References
- Liang, J.; Feng, J.; Fang, Z.; Lu, Y.; Yin, G.; Mao, X.; Wu, J.; Wang, F. An Energy-oriented Torque-vector Control Framework for Distributed Drive Electric Vehicles. IEEE Trans. Transp. Electrif. 2023. [Google Scholar] [CrossRef]
- Jeong, Y.; Yim, S. Model predictive control-based integrated path tracking and velocity control for autonomous vehicle with four-wheel independent steering and driving. Electronics 2021, 10, 2812. [Google Scholar] [CrossRef]
- Ren, Y.; Zheng, L.; Khajepour, A. Integrated model predictive and torque vectoring control for path tracking of 4-wheel-driven autonomous vehicles. IET Intell. Transp. Syst. 2019, 13, 98–107. [Google Scholar] [CrossRef]
- Wang, W.; Ma, T.; Yang, C.; Zhang, Y.; Li, Y.; Qie, T. A path following lateral control scheme for four-wheel independent drive autonomous vehicle using sliding mode prediction control. IEEE Trans. Transp. Electrif. 2022, 8, 3192–3207. [Google Scholar] [CrossRef]
- Guo, N.; Zhang, X.; Zou, Y.; Lenzo, B.; Du, G.; Zhang, T. A supervisory control strategy of distributed drive electric vehicles for coordinating handling, lateral stability, and energy efficiency. IEEE Trans. Transp. Electrif. 2021, 7, 2488–2504. [Google Scholar] [CrossRef]
- Huang, H.; Tu, Q.; Jiang, C.; Pan, M.; Zhu, C. An electronic line-shafting control strategy based on sliding mode observer for distributed driving electric vehicles. IEEE Access 2021, 9, 38221–38235. [Google Scholar] [CrossRef]
- Park, G.; Han, K.; Nam, K.; Kim, H.; Choi, S.B. Torque vectoring algorithm of electronic-four-wheel drive vehicles for enhancement of cornering performance. IEEE Trans. Veh. Technol. 2020, 69, 3668–3679. [Google Scholar] [CrossRef]
- Zhou, H.; Jia, F.; Jing, H.; Liu, Z.; Güvenç, L. Coordinated longitudinal and lateral motion control for four wheel independent motor-drive electric vehicle. IEEE Trans. Veh. Technol. 2018, 67, 3782–3790. [Google Scholar] [CrossRef]
- Subroto, R.K.; Wang, C.Z.; Lian, K.L. Four-wheel independent drive electric vehicle stability control using novel adaptive sliding mode control. IEEE Trans. Ind. Appl. 2020, 56, 5995–6006. [Google Scholar] [CrossRef]
- Ni, J.; Hu, J. Dynamics control of autonomous vehicle at driving limits and experiment on an autonomous formula racing car. Mech. Syst. Signal Process. 2017, 90, 154–174. [Google Scholar] [CrossRef]
- Zhang, S.; Luo, Y.; Wang, J.; Wang, X.; Li, K. Predictive energy management strategy for fully electric vehicles based on preceding vehicle movement. IEEE Trans. Intell. Transp. Syst. 2017, 18, 3049–3060. [Google Scholar] [CrossRef]
- Wu, D.m.; Li, Y.; Du, C.q.; Ding, H.t.; Li, Y.; Yang, X.b.; Lu, X.y. Fast velocity trajectory planning and control algorithm of intelligent 4WD electric vehicle for energy saving using time-based MPC. IET Intell. Transp. Syst. 2019, 13, 153–159. [Google Scholar] [CrossRef]
- Hou, R.; Zhai, L.; Sun, T.; Hou, Y.; Hu, G. Steering stability control of a four in-wheel motor drive electric vehicle on a road with varying adhesion coefficient. IEEE Access 2019, 7, 32617–32627. [Google Scholar] [CrossRef]
- Ding, S.; Liu, L.; Zheng, W.X. Sliding mode direct yaw-moment control design for in-wheel electric vehicles. IEEE Trans. Ind. Electron. 2017, 64, 6752–6762. [Google Scholar] [CrossRef]
- Mok, Y.M.; Zhai, L.; Wang, C.; Zhang, X.; Hou, Y. A post impact stability control for four hub-motor independent-drive electric vehicles. IEEE Trans. Veh. Technol. 2021, 71, 1384–1396. [Google Scholar] [CrossRef]
- Guo, N.; Lenzo, B.; Zhang, X.; Zou, Y.; Zhai, R.; Zhang, T. A real-time nonlinear model predictive controller for yaw motion optimization of distributed drive electric vehicles. IEEE Trans. Veh. Technol. 2020, 69, 4935–4946. [Google Scholar] [CrossRef]
- Peng, H.; Wang, W.; An, Q.; Xiang, C.; Li, L. Path tracking and direct yaw moment coordinated control based on robust MPC with the finite time horizon for autonomous independent-drive vehicles. IEEE Trans. Veh. Technol. 2020, 69, 6053–6066. [Google Scholar] [CrossRef]
- Guo, H.; Liu, F.; Xu, F.; Chen, H.; Cao, D.; Ji, Y. Nonlinear model predictive lateral stability control of active chassis for intelligent vehicles and its FPGA implementation. IEEE Trans. Syst. Man Cybern. Syst. 2017, 49, 2–13. [Google Scholar] [CrossRef]
- Liu, H.; Zhang, L.; Wang, P.; Chen, H. A real-time NMPC Strategy for electric vehicle stability improvement combining torque vectoring with rear-wheel steering. IEEE Trans. Transp. Electrif. 2022, 8, 3825–3835. [Google Scholar] [CrossRef]
- Nahidi, A.; Kasaiezadeh, A.; Khosravani, S.; Khajepour, A.; Chen, S.K.; Litkouhi, B. Modular integrated longitudinal and lateral vehicle stability control for electric vehicles. Mechatronics 2017, 44, 60–70. [Google Scholar] [CrossRef]
- Liu, H.; Liu, C.; Han, L.; Xiang, C. Handling and Stability Integrated Control of AFS and DYC for Distributed Drive Electric Vehicles Based on Risk Assessment and Prediction. IEEE Trans. Intell. Transp. Syst. 2022, 23, 23148–23163. [Google Scholar] [CrossRef]
- Liu, C.; Liu, H.; Han, L.; Wang, W.; Guo, C. Multi-level Coordinated Yaw Stability Control Based on Sliding Mode Predictive Control for Distributed Drive Electric Vehicles under Extreme Conditions. IEEE Trans. Veh. Technol. 2022, 72, 280–296. [Google Scholar] [CrossRef]
- Zhang, Z.; Zheng, L.; Li, Y.; Li, S.; Liang, Y. Cooperative Strategy of Trajectory Tracking and Stability Control for 4WID Autonomous Vehicles Under Extreme Conditions. IEEE Trans. Veh. Technol. 2023, 72, 3105–3118. [Google Scholar] [CrossRef]
- Masato, A. Vehicle Handling Dynamics: Theory and Application; Butterworth-Heinemann: Oxford, UK, 2009. [Google Scholar]
- Fratta, A.; Scapino, F. Modeling inverter losses for circuit simulation. In Proceedings of the 2004 IEEE 35th Annual Power Electronics Specialists Conference (IEEE Cat. No. 04CH37551), Aachen, Germany, 20–25 June 2004; Volume 6, pp. 4479–4485. [Google Scholar]
- Karatzaferis, I.; Tatakis, E.C.; Papanikolaou, N. Investigation of energy savings on industrial motor drives using bidirectional converters. IEEE Access 2017, 5, 17952–17961. [Google Scholar] [CrossRef]
- Uddin, M.N.; Zou, H.; Azevedo, F. Online loss-minimization-based adaptive flux observer for direct torque and flux control of PMSM drive. IEEE Trans. Ind. Appl. 2015, 52, 425–431. [Google Scholar] [CrossRef]
- Yang, H.; Huang, X.; Shen, Q.; Li, Z.; Wu, M. A loss minimization control method for IPMSM drive system based on improved gradient descent algorithm. IEICE Electron. Express 2022, 19, 20220069. [Google Scholar] [CrossRef]
- Tripathi, S.M.; Dutta, C. Enhanced efficiency in vector control of a surface-mounted PMSM drive. J. Frankl. Inst. 2018, 355, 2392–2423. [Google Scholar] [CrossRef]
- Tameemi, A.; Degano, M.; Di Nardo, M.; Murataliyev, M.; Gerada, D.; Xu, Z.; Gerada, C. Power Loss and Performance Analysis of a Permanent Magnet Synchronous Motor for Actuator Applications. In Proceedings of the 2022 International Conference on Electrical Machines (ICEM), Valencia, Spain, 5–8 September 2022; pp. 807–813. [Google Scholar]
- Saadatnejad, S.; Oveisi, M.; Hashemi, M. LSTM-based ECG classification for continuous monitoring on personal wearable devices. IEEE J. Biomed. Health Inform. 2019, 24, 515–523. [Google Scholar] [CrossRef] [PubMed]
- Petmezas, G.; Haris, K.; Stefanopoulos, L.; Kilintzis, V.; Tzavelis, A.; Rogers, J.A.; Katsaggelos, A.K.; Maglaveras, N. Automated atrial fibrillation detection using a hybrid CNN-LSTM network on imbalanced ECG datasets. Biomed. Signal Process. Control 2021, 63, 102194. [Google Scholar] [CrossRef]
- ElMoaqet, H.; Eid, M.; Glos, M.; Ryalat, M.; Penzel, T. Deep recurrent neural networks for automatic detection of sleep apnea from single channel respiration signals. Sensors 2020, 20, 5037. [Google Scholar] [CrossRef]
- Ashry, S.; Elbasiony, R.; Gomaa, W. An LSTM-based descriptor for human activities recognition using IMU sensors. In Proceedings of the 15th International Conference on Informatics in Control, Automation and Robotics, ICINCO, Porto, Portugal, 29–31 July 2018; Volume 1, pp. 494–501. [Google Scholar]
- Hochreiter, S.; Schmidhuber, J. Long short-term memory. Neural Comput. 1997, 9, 1735–1780. [Google Scholar] [CrossRef] [PubMed]















| Symbol | Quantity | Value | 
|---|---|---|
| Vehicle mass | 1152 kg | |
| R | Tire radius | 0.35 m | 
| Center to front axle distance | 1.050 m | |
| Center to rear axle distance | 1.569 m | |
| Distance between front wheels | 1.565 m | |
| Distance between rear wheels | 1.565 m | |
| Front tire cornering stiffness | 79,240 N/rad | |
| Rear tire cornering stiffness | 87,002 N/rad | |
| p | Poles | 4 | 
| Stator resistance | 34.3 m | |
| D-axis inductance | 0.72 mH | |
| Q-axis inductance | 1.79 mH | |
| Flux linkage | 0.164 Wb | |
| Wheel inertia | 59.6 kg·m | |
| Rated speed | 2850 rpm | |
| Rated torque | 60 N·m | 
| Disclaimer/Publisher’s Note: The statements, opinions and data contained in all publications are solely those of the individual author(s) and contributor(s) and not of MDPI and/or the editor(s). MDPI and/or the editor(s) disclaim responsibility for any injury to people or property resulting from any ideas, methods, instructions or products referred to in the content. | 
© 2023 by the authors. Licensee MDPI, Basel, Switzerland. This article is an open access article distributed under the terms and conditions of the Creative Commons Attribution (CC BY) license (https://creativecommons.org/licenses/by/4.0/).
Share and Cite
Gao, L.; Chai, F. Parameter Optimization of Model Predictive Direct Motion Control for Distributed Drive Electric Vehicles Considering Efficiency and the Driving Feeling. Sensors 2023, 23, 6324. https://doi.org/10.3390/s23146324
Gao L, Chai F. Parameter Optimization of Model Predictive Direct Motion Control for Distributed Drive Electric Vehicles Considering Efficiency and the Driving Feeling. Sensors. 2023; 23(14):6324. https://doi.org/10.3390/s23146324
Chicago/Turabian StyleGao, Lixiao, and Feng Chai. 2023. "Parameter Optimization of Model Predictive Direct Motion Control for Distributed Drive Electric Vehicles Considering Efficiency and the Driving Feeling" Sensors 23, no. 14: 6324. https://doi.org/10.3390/s23146324
APA StyleGao, L., & Chai, F. (2023). Parameter Optimization of Model Predictive Direct Motion Control for Distributed Drive Electric Vehicles Considering Efficiency and the Driving Feeling. Sensors, 23(14), 6324. https://doi.org/10.3390/s23146324
 
        


 
       