Wi-Fi-Based Indoor Localization and Navigation: A Robot-Aided Hybrid Deep Learning Approach
Abstract
1. Introduction
- •
- We utilize a robot to automatically collect data in an indoor environment with obstacles. The data include a large amount of unlabeled Wi-Fi RSSI data and a small amount of Wi-Fi RSSI data labeled by grid coordinates. The data can be used to train and test the models in our experiments and will be made publicly available.
- •
- We design two deep learning models for the Wi-Fi-based localization and navigation tasks, respectively. Both models are constructed based on a densely fused variational autoencoder (DF-VAE) that could learn the robust latent feature representation and improve the gradient flow when training a deep network.
- •
- Based on the above data and models, we develop a novel hybrid learning approach consisting of supervised, unsupervised and semi-supervised learning strategies. This approach could take full advantage of the unlabeled and labeled measured data to train the proposed models and improve their performance.
2. Related Work
3. Methodology
3.1. Deep Encode–Decode Model for Indoor Localization Task
3.2. Deep Reinforcement Learning Model for Indoor Navigation Task
3.3. Hybrid Learning Approach for Deep Models with Limited Data
| Algorithm 1: Hybrid Learning Algorithm with Labeled and Unlabeled Data. |
Input: A dataset with labeled and unlabeled data , initialed environment, initialed network weights , , and of DF-VAE, DF-VAE, DED-LM and DED-AM. Output: The networks DED-LM and DED-AM. |
![]() |
4. Experiments
4.1. Collected Dataset Using the Ackerman Robot
4.2. Experiment Setting
4.3. Results on Wi-Fi-Based Indoor Localization Task
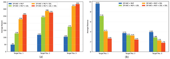
4.4. Results on Wi-Fi-Based Indoor Navigation Task
5. Conclusions
Author Contributions
Funding
Institutional Review Board Statement
Informed Consent Statement
Data Availability Statement
Conflicts of Interest
Abbreviations
| GPS | Global positioning system |
| RFID | Radio frequency identification device |
| UWB | Ultra wide band |
| APs | Access points |
| RSSI | Received signal strength indicator |
| ML | Machine learning |
| RA-HDL | Robot-aided hybrid deep learning approach |
| KNN | K-nearest neighbor |
| SVM | Support vector machine |
| MLP | Multi-layer perceptron |
| DL | Deep learning |
| CSI | Channel state information |
| TL | Transfer learning |
| AE | Autoencoder |
| SAE | Stacked autoencoder |
| VAE | Variational autoencoder |
| DF-VAE | Densely fused variational autoencoder |
| DED-LM | Deep encode–decode localization model |
| DED-AM | Deep encode–decode action model |
| MDP | Markov decision process |
| MSE | Mean square error |
| KL | Kullback–Leibler |
| RA-CD | Robot-aided collected dataset |
| USL | Unsupervised learning |
| SSL | Semi-supervised learning |
| dBm | Decibel-milliwatts |
References
- Nessa, A.; Adhikari, B.; Hussain, F.; Fernando, X.N. A survey of machine learning for indoor positioning. IEEE Access 2020, 8, 214945–214965. [Google Scholar] [CrossRef]
- Li, Q.; Li, W.; Sun, W.; Li, J.; Liu, Z. Fingerprint and assistant nodes based Wi-Fi localization in complex indoor environment. IEEE Access 2016, 4, 2993–3004. [Google Scholar] [CrossRef]
- Dickinson, P.; Cielniak, G.; Szymanezyk, O.; Mannion, M. Indoor positioning of shoppers using a network of Bluetooth Low Energy beacons. In Proceedings of the 2016 International Conference on Indoor Positioning and Indoor Navigation (IPIN), Madrid, Spain, 4–7 October 2016; pp. 1–8. [Google Scholar]
- Liu, M.; Wang, H.; Yang, Y.; Zhang, Y.; Ma, L.; Wang, N. RFID 3-D indoor localization for tag and tag-free target based on interference. IEEE Trans. Instrum. Meas. 2018, 68, 3718–3732. [Google Scholar] [CrossRef]
- Costanzo, A.; Dardari, D.; Aleksandravicius, J.; Decarli, N.; Del Prete, M.; Fabbri, D.; Fantuzzi, M.; Guerra, A.; Masotti, D.; Pizzotti, M.; et al. Energy autonomous UWB localization. IEEE J. Radio Freq. Identif. 2017, 1, 228–244. [Google Scholar] [CrossRef]
- Li, Z.; Braun, T.; Dimitrova, D.C. A passive wifi source localization system based on fine-grained power-based trilateration. In Proceedings of the 2015 IEEE 16th International Symposium on A World of Wireless, Mobile and Multimedia Networks (WoWMoM), Boston, MA, USA, 14–17 June 2015; pp. 1–9. [Google Scholar]
- Xia, S.; Liu, Y.; Yuan, G.; Zhu, M.; Wang, Z. Indoor fingerprint positioning based on Wi-Fi: An overview. ISPRS Int. J. Geo-Inf. 2017, 6, 135. [Google Scholar] [CrossRef]
- Chidlovskii, B.; Antsfeld, L. Semi-supervised variational autoencoder for WiFi indoor localization. In Proceedings of the 2019 International Conference on Indoor Positioning and Indoor Navigation (IPIN), Pisa, Italy, 30 September–3 October 2019; pp. 1–8. [Google Scholar]
- Hoang, M.T.; Zhu, Y.; Yuen, B.; Reese, T.; Dong, X.; Lu, T.; Westendorp, R.; Xie, M. A soft range limited K-nearest neighbors algorithm for indoor localization enhancement. IEEE Sens. J. 2018, 18, 10208–10216. [Google Scholar] [CrossRef]
- Sabanci, K.; Yigit, E.; Ustun, D.; Toktas, A.; Aslan, M.F. Wifi based indoor localization: Application and comparison of machine learning algorithms. In Proceedings of the 2018 XXIIIrd International Seminar/Workshop on Direct and Inverse Problems of Electromagnetic and Acoustic Wave Theory (DIPED), Tbilisi, Georgia, 24–27 September 2018; pp. 246–251. [Google Scholar]
- Zhu, Q.; Xiong, Q.; Wang, K.; Lu, W.; Liu, T. Accurate WiFi-based indoor localization by using fuzzy classifier and mlps ensemble in complex environment. J. Frankl. Inst. 2020, 357, 1420–1436. [Google Scholar] [CrossRef]
- Wang, Y.; Xiu, C.; Zhang, X.; Yang, D. WiFi indoor localization with CSI fingerprinting-based random forest. Sensors 2018, 18, 2869. [Google Scholar] [CrossRef]
- Ding, J.; Wang, Y.; Fu, S.; Si, H.; Zhang, J.; Gao, S. Multiview Features Fusion and AdaBoost Based Indoor Localization on WiFi Platform. IEEE Sens. J. 2022, 22, 16607–16616. [Google Scholar] [CrossRef]
- Abbas, M.; Elhamshary, M.; Rizk, H.; Torki, M.; Youssef, M. WiDeep: WiFi-based accurate and robust indoor localization system using deep learning. In Proceedings of the 2019 IEEE International Conference on Pervasive Computing and Communications (PerCom. 2019), Kyoto, Japan, 11–15 March 2019; pp. 1–10. [Google Scholar]
- Zhang, H.; Hu, B.; Xu, S.; Chen, B.; Li, M.; Jiang, B. Feature fusion using stacked denoising auto-encoder and GBDT for Wi-Fi fingerprint-based indoor positioning. IEEE Access 2020, 8, 114741–114751. [Google Scholar] [CrossRef]
- JunLin, G.; Xin, Z.; HuaDeng, W.; Lan, Y. WiFi fingerprint positioning method based on fusion of autoencoder and stacking mode. In Proceedings of the 2020 International Conference on Culture-Oriented Science & Technology (ICCST), Beijing, China, 30–31 October 2020; pp. 356–361. [Google Scholar]
- Akilandeswari, J.; Jothi, G.; Naveenkumar, A.; Sabeenian, R.; Iyyanar, P.; Paramasivam, M. Design and development of an indoor navigation system using denoising autoencoder based convolutional neural network for visually impaired people. Multimed. Tools Appl. 2022, 81, 3483–3514. [Google Scholar] [CrossRef]
- Kim, K.; Lee, J. Adaptive Scheme of Denoising Autoencoder for Estimating Indoor Localization Based on RSSI Analytics in BLE Environment. Sensors 2023, 23, 5544. [Google Scholar] [CrossRef]
- Gufran, D.; Tiku, S.; Pasricha, S. SANGRIA: Stacked Autoencoder Neural Networks with Gradient Boosting for Indoor Localization. IEEE Embed. Syst. Lett. 2023. [Google Scholar] [CrossRef]
- Kramer, O.; Kramer, O. K-nearest neighbors. In Dimensionality Reduction with Unsupervised Nearest Neighbors; Springer: Berlin/Heidelberg, Germany, 2013; Volume 51, pp. 13–23. [Google Scholar]
- Yu, F.; Jiang, M.; Liang, J.; Qin, X.; Hu, M.; Peng, T.; Hu, X. 5 G wifi signal-based indoor localization system using cluster k-nearest neighbor algorithm. Int. J. Distrib. Sens. Netw. 2014, 10, 247525. [Google Scholar] [CrossRef]
- Xie, Y.; Wang, Y.; Nallanathan, A.; Wang, L. An improved K-nearest-neighbor indoor localization method based on spearman distance. IEEE Signal Process. Lett. 2016, 23, 351–355. [Google Scholar] [CrossRef]
- Suthaharan, S.; Suthaharan, S. Support vector machine. In Machine Learning Models and Algorithms for Big Data Classification: Thinking with Examples for Effective Learning; Springer: Berlin/Heidelberg, Germany, 2016; pp. 207–235. [Google Scholar]
- Yu, F.; Jiang, M.H.; Liang, J.; Qin, X.; Hu, M.; Peng, T.; Hu, X.R. An indoor localization of WiFi based on support vector machines. Adv. Mater. Res. 2014, 926, 2438–2441. [Google Scholar] [CrossRef]
- Jain, A.K.; Mao, J.; Mohiuddin, K.M. Artificial neural networks: A tutorial. Computer 1996, 29, 31–44. [Google Scholar] [CrossRef]
- Taud, H.; Mas, J. Multilayer perceptron (MLP). In Geomatic Approaches for Modeling Land Change Scenarios; Springer: Berlin/Heidelberg, Germany, 2018; pp. 451–455. [Google Scholar]
- Mehmood, H.; Tripathi, N.K.; Tipdecho, T. Indoor positioning system using artificial neural network. J. Comput. Sci. 2010, 6, 1219. [Google Scholar] [CrossRef]
- Hastie, T.; Rosset, S.; Zhu, J.; Zou, H. Multi-class adaboost. Stat. Its Interface 2009, 2, 349–360. [Google Scholar] [CrossRef]
- Breiman, L. Random forests. Mach. Learn. 2001, 45, 5–32. [Google Scholar] [CrossRef]
- Feng, Y.; Minghua, J.; Jing, L.; Xiao, Q.; Ming, H.; Tao, P.; Xinrong, H. Improved AdaBoost-based fingerprint algorithm for WiFi indoor localization. In Proceedings of the 2014 IEEE 7th Joint International Information Technology and Artificial Intelligence Conference, Chongqing, China, 20–21 September 2014; pp. 16–19. [Google Scholar]
- Jedari, E.; Wu, Z.; Rashidzadeh, R.; Saif, M. Wi-Fi based indoor location positioning employing random forest classifier. In Proceedings of the 2015 International Conference on Indoor Positioning and Indoor Navigation (IPIN), Banff, AB, Canada, 13–16 October 2015; pp. 1–5. [Google Scholar]
- Wang, X.; Gao, L.; Mao, S.; Pandey, S. DeepFi: Deep learning for indoor fingerprinting using channel state information. In Proceedings of the 2015 IEEE wireless communications and networking conference (WCNC), New Orleans, LA, USA, 9–12 March 2015; pp. 1666–1671. [Google Scholar]
- Rizk, H.; Elmogy, A.; Yamaguchi, H. A robust and accurate indoor localization using learning-based fusion of Wi-Fi RTT and RSSI. Sensors 2022, 22, 2700. [Google Scholar] [CrossRef]
- Sarcevic, P.; Csik, D.; Odry, A. Indoor 2D Positioning Method for Mobile Robots Based on the Fusion of RSSI and Magnetometer Fingerprints. Sensors 2023, 23, 1855. [Google Scholar] [CrossRef]
- Wiering, M.A.; Van Otterlo, M. Reinforcement learning. Adapt. Learn. Optim. 2012, 12, 729. [Google Scholar]
- Mohammadi, M.; Al-Fuqaha, A.; Guizani, M.; Oh, J.S. Semisupervised deep reinforcement learning in support of IoT and smart city services. IEEE Internet Things J. 2017, 5, 624–635. [Google Scholar] [CrossRef]
- Bakale, V.A.; VS, Y.K.; Roodagi, V.C.; Kulkarni, Y.N.; Patil, M.S.; Chickerur, S. Indoor navigation with deep reinforcement learning. In Proceedings of the 2020 International Conference on Inventive Computation Technologies (ICICT), Coimbatore, India, 26–28 February 2020; pp. 660–665. [Google Scholar]
- Zhu, K.; Zhang, T. Deep reinforcement learning based mobile robot navigation: A review. Tsinghua Sci. Technol. 2021, 26, 674–691. [Google Scholar] [CrossRef]
- Fang, Q.; Xu, X.; Wang, X.; Zeng, Y. Target-driven visual navigation in indoor scenes using reinforcement learning and imitation learning. CAAI Trans. Intell. Technol. 2022, 7, 167–176. [Google Scholar] [CrossRef]
- Torrey, L.; Shavlik, J. Transfer learning. In Handbook of Research on Machine Learning Applications and Trends: Algorithms, Methods, and Techniques; IGI Global: Hershey, PA, USA, 2010; pp. 242–264. [Google Scholar]
- Pan, S.J.; Zheng, V.W.; Yang, Q.; Hu, D.H. Transfer learning for wifi-based indoor localization. In Proceedings of the Association for the Advancement of Artificial Intelligence (AAAI) Workshop, Chicago, IL, USA, 13–14 July 2008; pp. 43–48. [Google Scholar]
- Liu, K.; Zhang, H.; Ng, J.K.Y.; Xia, Y.; Feng, L.; Lee, V.C.; Son, S.H. Toward low-overhead fingerprint-based indoor localization via transfer learning: Design, implementation, and evaluation. IEEE Trans. Ind. Inform. 2017, 14, 898–908. [Google Scholar] [CrossRef]
- Li, P.; Cui, H.; Khan, A.; Raza, U.; Piechocki, R.; Doufexi, A.; Farnham, T. Deep transfer learning for WiFi localization. In Proceedings of the 2021 IEEE Radar Conference (RadarConf21), Atlanta, GA, USA, 7–14 May 2021; pp. 1–5. [Google Scholar]
- Hady, M.F.A.; Schwenker, F. Semi-supervised learning. In Handbook on Neural Information Processing; Springer: Berlin/Heidelberg, Germany, 2013; pp. 215–239. [Google Scholar]
- Chen, Y.S.; Hsu, C.S.; Chung, R.S. A Semi-Supervised 3D Indoor Localization Using Multi-Kernel Learning for WiFi Networks. Sensors 2022, 22, 776. [Google Scholar] [CrossRef] [PubMed]
- Ghahramani, Z. Unsupervised learning. In Advanced Lectures on Machine Learning, Proceedings of the ML Summer Schools 2003, Canberra, Australia, 2–14 February 2003, Tübingen, Germany, 4–16 August 2003, Revised Lectures; Springer: Berlin/Heidelberg, Germany, 2004; pp. 72–112. [Google Scholar]
- Le, D.V.; Meratnia, N.; Havinga, P.J. Unsupervised deep feature learning to reduce the collection of fingerprints for indoor localization using deep belief networks. In Proceedings of the 2018 International Conference on Indoor Positioning and Indoor Navigation (IPIN), Nantes, France, 24–27 September 2018; pp. 1–7. [Google Scholar]
- Seong, J.H.; Seo, D.H. Selective unsupervised learning-based Wi-Fi fingerprint system using autoencoder and GAN. IEEE Internet Things J. 2019, 7, 1898–1909. [Google Scholar] [CrossRef]
- Mirdita, P.; Khaliq, Z.; Hussein, A.R.; Wang, X. Localization for intelligent systems using unsupervised learning and prediction approaches. IEEE Can. J. Electr. Comput. Eng. 2021, 44, 443–455. [Google Scholar] [CrossRef]
- Kingma, D.P.; Welling, M. Auto-Encoding Variational Bayes. In Proceedings of the International Conference on Learning Representations, ICLR 2014, Banff, AB, Canada, 14–16 April 2014; pp. 1–14. [Google Scholar]
- He, K.; Zhang, X.; Ren, S.; Sun, J. Deep residual learning for image recognition. In Proceedings of the IEEE Conference on Computer Vision and Pattern Recognition, Las Vegas, NV, USA, 27–30 June 2016; pp. 770–778. [Google Scholar]








| Method | Column Accuracy | Row Accuracy | Mean Accuracy |
|---|---|---|---|
| SVM | 67.70% ± 1.01% | 75.46% ± 1.70% | 71.58% ± 1.05% |
| Random Forest | 71.23% ± 2.31% | 76.40% ± 4.61% | 73.82% ± 2.93% |
| MLP | 80.19% ± 2.85% | 86.56% ± 2.32% | 83.38% ± 2.37% |
| AdaBoost | 90.91% ± 1.85% | 93.12% ± 0.97% | 92.02% ± 1.05% |
| Denoising AE | 88.90% ± 3.49% | 82.78% ± 0.99% | 85.84% ± 2.05% |
| SAE | 94.89% ± 0.50% | 94.26% ± 1.47% | 94.57% ± 0.72% |
| Denoising SAE | 95.27% ± 1.00% | 92.81% ± 0.86% | 94.04% ± 0.76% |
| Ours | 96.03% ± 0.91% | 95.96% ± 0.76% | 95.99% ± 0.51% |
| Method | Column Accuracy | Row Accuracy | Mean Accuracy |
|---|---|---|---|
| MLP | 80.19% ± 2.85% | 86.56% ± 2.32% | 83.38% ± 2.37% |
| VAE + MLP | 59.43% ± 15.63% | 72.93% ± 3.90% | 66.18% ± 7.99% |
| DF-VAE + MLP | 90.28% ± 3.30% | 92.30% ± 0.65% | 91.29% ± 1.92% |
| DF-VAE + MLP + USL | 95.71% ± 0.71% | 95.46% ± 0.93% | 95.58% ± 0.73% |
| DF-VAE + MLP + USL + SSL | 96.03% ± 0.91% | 95.96% ± 0.76% | 95.99% ± 0.51% |
Disclaimer/Publisher’s Note: The statements, opinions and data contained in all publications are solely those of the individual author(s) and contributor(s) and not of MDPI and/or the editor(s). MDPI and/or the editor(s) disclaim responsibility for any injury to people or property resulting from any ideas, methods, instructions or products referred to in the content. |
© 2023 by the authors. Licensee MDPI, Basel, Switzerland. This article is an open access article distributed under the terms and conditions of the Creative Commons Attribution (CC BY) license (https://creativecommons.org/licenses/by/4.0/).
Share and Cite
Lin, X.; Gan, J.; Jiang, C.; Xue, S.; Liang, Y. Wi-Fi-Based Indoor Localization and Navigation: A Robot-Aided Hybrid Deep Learning Approach. Sensors 2023, 23, 6320. https://doi.org/10.3390/s23146320
Lin X, Gan J, Jiang C, Xue S, Liang Y. Wi-Fi-Based Indoor Localization and Navigation: A Robot-Aided Hybrid Deep Learning Approach. Sensors. 2023; 23(14):6320. https://doi.org/10.3390/s23146320
Chicago/Turabian StyleLin, Xuxin, Jianwen Gan, Chaohao Jiang, Shuai Xue, and Yanyan Liang. 2023. "Wi-Fi-Based Indoor Localization and Navigation: A Robot-Aided Hybrid Deep Learning Approach" Sensors 23, no. 14: 6320. https://doi.org/10.3390/s23146320
APA StyleLin, X., Gan, J., Jiang, C., Xue, S., & Liang, Y. (2023). Wi-Fi-Based Indoor Localization and Navigation: A Robot-Aided Hybrid Deep Learning Approach. Sensors, 23(14), 6320. https://doi.org/10.3390/s23146320


