Reliability of Maximal Strength and Peak Rate of Force Development in a Portable Nordic Hamstrings Exercise Device
Abstract
1. Introduction
2. Materials and Methods
2.1. Participants
2.2. Procedures
2.3. Statistical Analyses
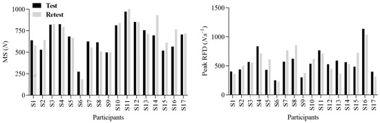
3. Results
4. Discussion
5. Conclusions
Author Contributions
Funding
Institutional Review Board Statement
Informed Consent Statement
Data Availability Statement
Acknowledgments
Conflicts of Interest
References
- Ekstrand, J.; Bengtsson, H.; Walden, M.; Davison, M.; Khan, K.M.; Hagglund, M. Hamstring injury rates have increased during recent seasons and now constitute 24% of all injuries in men’s professional football: The UEFA Elite Club Injury Study from 2001/02 to 2021/22. Br. J. Sport. Med. 2022, 57, 292–298. [Google Scholar] [CrossRef] [PubMed]
- Hagglund, M.; Walden, M.; Ekstrand, J. Injury recurrence is lower at the highest professional football level than at national and amateur levels: Does sports medicine and sports physiotherapy deliver? Br. J. Sport. Med. 2016, 50, 751–758. [Google Scholar] [CrossRef] [PubMed]
- Liu, H.; Garrett, W.E.; Moorman, C.T.; Yu, B. Injury rate, mechanism, and risk factors of hamstring strain injuries in sports: A review of the literature. J. Sport Health Sci. 2012, 1, 92–101. [Google Scholar] [CrossRef]
- Schache, A.G.; Blanch, P.D.; Dorn, T.W.; Brown, N.A.; Rosemond, D.; Pandy, M.G. Effect of running speed on lower limb joint kinetics. Med. Sci. Sport. Exerc. 2011, 43, 1260–1271. [Google Scholar] [CrossRef]
- Chumanov, E.S.; Heiderscheit, B.C.; Thelen, D.G. The effect of speed and influence of individual muscles on hamstring mechanics during the swing phase of sprinting. J. Biomech. 2007, 40, 3555–3562. [Google Scholar] [CrossRef]
- Alt, T.; Roos, T.; Nolte, K.; Modenbach, D.; Knicker, A.J.; Jaitner, T. Modulating the Nordic Hamstring Exercise from ‘zero to hero’—A Stepwise progression explored in a high-performance athlete. J. Athl. Train. 2022; online ahead of print. [Google Scholar] [CrossRef]
- Huygaerts, S.; Cos, F.; Cohen, D.D.; Calleja-González, J.; Guitart, M.; Blazevich, A.J.; Alcaraz, P.E. Mechanisms of Hamstring Strain Injury: Interactions between Fatigue, Muscle Activation and Function. Sports 2020, 8, 65. [Google Scholar] [CrossRef]
- Alt, T.; Severin, J.; Komnik, I.; Nodler, Y.T.; Benker, R.; Knicker, A.J.; Brüggemann, G.-P.; Strüder, H.K. Nordic Hamstring Exercise training induces improved lower-lim swing phase mechanics and sustained strength preservation in sprinters. Scand. J. Med. Sci. Sport. 2021, 31, 826–838. [Google Scholar] [CrossRef]
- Opar, D.A.; Piatkowski, T.; Williams, M.D.; Shield, A.J. A novel device using the Nordic hamstring exercise to assess eccentric knee flexor strength: A reliability and retrospective injury study. J. Orthop. Sport. Phys. Ther. 2013, 43, 636–640. [Google Scholar] [CrossRef]
- van Dyk, N.; Behan, F.P.; Whiteley, R. Including the Nordic hamstring exercise in injury prevention programmes halves the rate of hamstring injuries: A systematic review and meta-analysis of 8459 athletes. Br. J. Sport. Med. 2019, 53, 1362–1370. [Google Scholar] [CrossRef]
- Siddle, J.; Greig, M.; Weaver, K.; Page, R.M.; Harper, D.; Brogden, C.M. Acute adaptations and subsequent preservation of strength and speed measures following a Nordic hamstring curl intervention: A randomised controlled trial. J. Sport. Sci. 2019, 37, 911–920. [Google Scholar] [CrossRef]
- Ishøi, L.; Hölmich, P.; Aagaard, P.; Thorborg, K.; Bandholm, T.; Serner, A. Effects of the Nordic Hamstring exercise on sprint capacity in male football players: A randomized controlled trial. J. Sport. Sci. 2018, 36, 1663–1672. [Google Scholar] [CrossRef] [PubMed]
- Loturco, I.; Freitas, T.T.; Alcaraz, P.E.; Kobal, R.; Hartmann Nunes, R.F.; Weldon, A.; Pereira, L.A. Practices of strength and conditioning coaches in Brazilian elite soccer. Biol. Sport 2022, 39, 779–791. [Google Scholar] [CrossRef] [PubMed]
- Brockett, C.L.; Morgan, D.L.; Proske, U. Human hamstring muscles adapt to eccentric exercise by changing optimum length. Med. Sci. Sport. Exerc. 2001, 33, 783–790. [Google Scholar] [CrossRef]
- Gérard, R.; Gojon, L.; Decleve, P.; Van Cant, J. The Effects of Eccentric Training on Biceps Femoris Architecture and Strength: A Systematic Review With Meta-Analysis. J. Athl. Train. 2020, 55, 501–514. [Google Scholar] [CrossRef] [PubMed]
- Suskens, J.J.M.; Reurink, G.; Tol, J.L.; Kerkhoffs, G.M.M.J.; Goedhart, E.A.; Maas, H.; van Dieën, J.H. Activity Distribution Among the Hamstring Muscles During the Nordic Hamstring Exercise: A Multichannel Surface Electromyography Study. J. Appl. Biomech. 2023, 39, 69–79. [Google Scholar] [CrossRef]
- Lodge, C.; Tobin, D.; O’Rourke, B.; Thorborg, K. Reliability and Validity of a New Eccentric Hamstring Strength Measurement Device. Arch. Rehabil. Res. Clin. Transl. 2020, 2, 100034. [Google Scholar] [CrossRef]
- Aagaard, P.; Simonsen, E.B.; Magnusson, S.P.; Larsson, B.; Dyhre-Poulsen, P. A new concept for isokinetic hamstring: Quadriceps muscle strength ratio. Am. J. Sport. Med. 1998, 26, 231–237. [Google Scholar] [CrossRef]
- Whiteley, R.; Jacobsen, P.; Prior, S.; Skazalski, C.; Otten, R.; Johnson, A. Correlation of isokinetic and novel hand-held dynamometry measures of knee flexion and extension strength testing. J. Sci. Med. Sport 2012, 15, 444–450. [Google Scholar] [CrossRef]
- Gonçalves, B.A.M.; Mesquita, R.N.O.; Tavares, F.; Brito, J.; Correia, P.; Santos, P.; Mil-Homens, P. A New Portable Device to Reliably Measure Maximal Strength and Rate of Force Development of Hip Adduction and Abduction. J. Strength Cond. Res. 2022, 36, 2465–2471. [Google Scholar] [CrossRef]
- Augustsson, J.; Augustsson, S.R. Development of a Novel Nordic Hamstring Exercise Performance Test Device: A Reliability and Intervention Study. Sports 2022, 10, 26. [Google Scholar] [CrossRef]
- Alt, T.; Schmidt, M. The ANHEQ Evaluation Criteria: Introducing Reliable Rating Scales for Assessing Nordic Hamstring Exercise Quality. Sport. Med.-Open 2021, 7, 91. [Google Scholar] [CrossRef] [PubMed]
- Shrout, P.E.; Fleiss, J.L. Intraclass correlations: Uses in assessing rater reliability. Psychol. Bull. 1979, 86, 420–428. [Google Scholar] [CrossRef] [PubMed]
- Hopkins, W.G. Measures of reliability in sports medicine and science. Sport. Med. 2000, 30, 1–15. [Google Scholar] [CrossRef] [PubMed]
- Haley, S.M.; Fragala-Pinkham, M.A. Interpreting change scores of tests and measures used in physical therapy. Phys. Ther. 2006, 86, 735–743. [Google Scholar] [CrossRef] [PubMed]
- Bland, J.M.; Altman, D.G. Calculating correlation coefficients with repeated observations: Part 1—Correlation within subjects. BMJ 1995, 310, 446. [Google Scholar] [CrossRef]
- Hopkins, W.G.; Marshall, S.W.; Batterham, A.M.; Hanin, J. Progressive statistics for studies in sports medicine and exercise science. Med. Sci. Sport. Exerc. 2009, 41, 3–13. [Google Scholar] [CrossRef]
- Impellizzeri, F.M.; Bizzini, M.; Rampinini, E.; Cereda, F.; Maffiuletti, N.A. Reliability of isokinetic strength imbalance ratios measured using the Cybex NORM dynamometer. Clin. Physiol. Funct. Imaging 2008, 28, 113–119. [Google Scholar] [CrossRef]
- Li, R.C.; Wu, Y.; Maffulli, N.; Chan, K.M.; Chan, J.L. Eccentric and concentric isokinetic knee flexion and extension: A reliability study using the Cybex 6000 dynamometer. Br. J. Sport. Med. 1996, 30, 156–160. [Google Scholar] [CrossRef]
- Casartelli, N.C.; Lepers, R.; Maffiuletti, N.A. Assessment of the rate of force development scaling factor for the hip muscles. Muscle Nerve 2014, 50, 932–938. [Google Scholar] [CrossRef]
- Maffiuletti, N.A.; Aagaard, P.; Blazevich, A.J.; Folland, J.; Tillin, N.; Duchateau, J. Rate of force development: Physiological and methodological considerations. Eur. J. Appl. Physiol. 2016, 116, 1091–1116. [Google Scholar] [CrossRef]






| Total (n = 17) | |
|---|---|
| Age (years) | 34.8 ± 4.1 |
| Body mass (kg) | 78.5 ± 16.2 |
| Height (m) | 1.8 ± 0.1 |
| BMI (kg/m2) | 24.1 ± 3.6 |
| Test | Retest | Δ (Test–Retest) | p | |
|---|---|---|---|---|
| Bilateral MS (N) | 669.8 (583.8; 755.9) | 689 (588.3; 789.7) | −19.2 (−67.8; 29.4) | p = 0.42 |
| Relative MS (N/Kg) | 8.6 (7.7; 8.9) | 8.7 (7.8; 9.6) | −0.1 (−0.8; 0.5) | p = 0.63 |
| Peak RFD (N·s−1) | 554.9 (446.6; 663.1) | 625.3 (488.6; 761.9) | −70.4 (−178.4; 37.8) | p = 0.19 |
Disclaimer/Publisher’s Note: The statements, opinions and data contained in all publications are solely those of the individual author(s) and contributor(s) and not of MDPI and/or the editor(s). MDPI and/or the editor(s) disclaim responsibility for any injury to people or property resulting from any ideas, methods, instructions or products referred to in the content. |
© 2023 by the authors. Licensee MDPI, Basel, Switzerland. This article is an open access article distributed under the terms and conditions of the Creative Commons Attribution (CC BY) license (https://creativecommons.org/licenses/by/4.0/).
Share and Cite
Costa, J.A.; Spyrou, K.; Sancho, A.; Reis, J.F.; Brito, J. Reliability of Maximal Strength and Peak Rate of Force Development in a Portable Nordic Hamstrings Exercise Device. Sensors 2023, 23, 5452. https://doi.org/10.3390/s23125452
Costa JA, Spyrou K, Sancho A, Reis JF, Brito J. Reliability of Maximal Strength and Peak Rate of Force Development in a Portable Nordic Hamstrings Exercise Device. Sensors. 2023; 23(12):5452. https://doi.org/10.3390/s23125452
Chicago/Turabian StyleCosta, Júlio A., Konstantinos Spyrou, António Sancho, Joana F. Reis, and João Brito. 2023. "Reliability of Maximal Strength and Peak Rate of Force Development in a Portable Nordic Hamstrings Exercise Device" Sensors 23, no. 12: 5452. https://doi.org/10.3390/s23125452
APA StyleCosta, J. A., Spyrou, K., Sancho, A., Reis, J. F., & Brito, J. (2023). Reliability of Maximal Strength and Peak Rate of Force Development in a Portable Nordic Hamstrings Exercise Device. Sensors, 23(12), 5452. https://doi.org/10.3390/s23125452

