Research on the Security of IPv6 Communication Based on Petri Net under IoT
Abstract
1. Introduction
- (1)
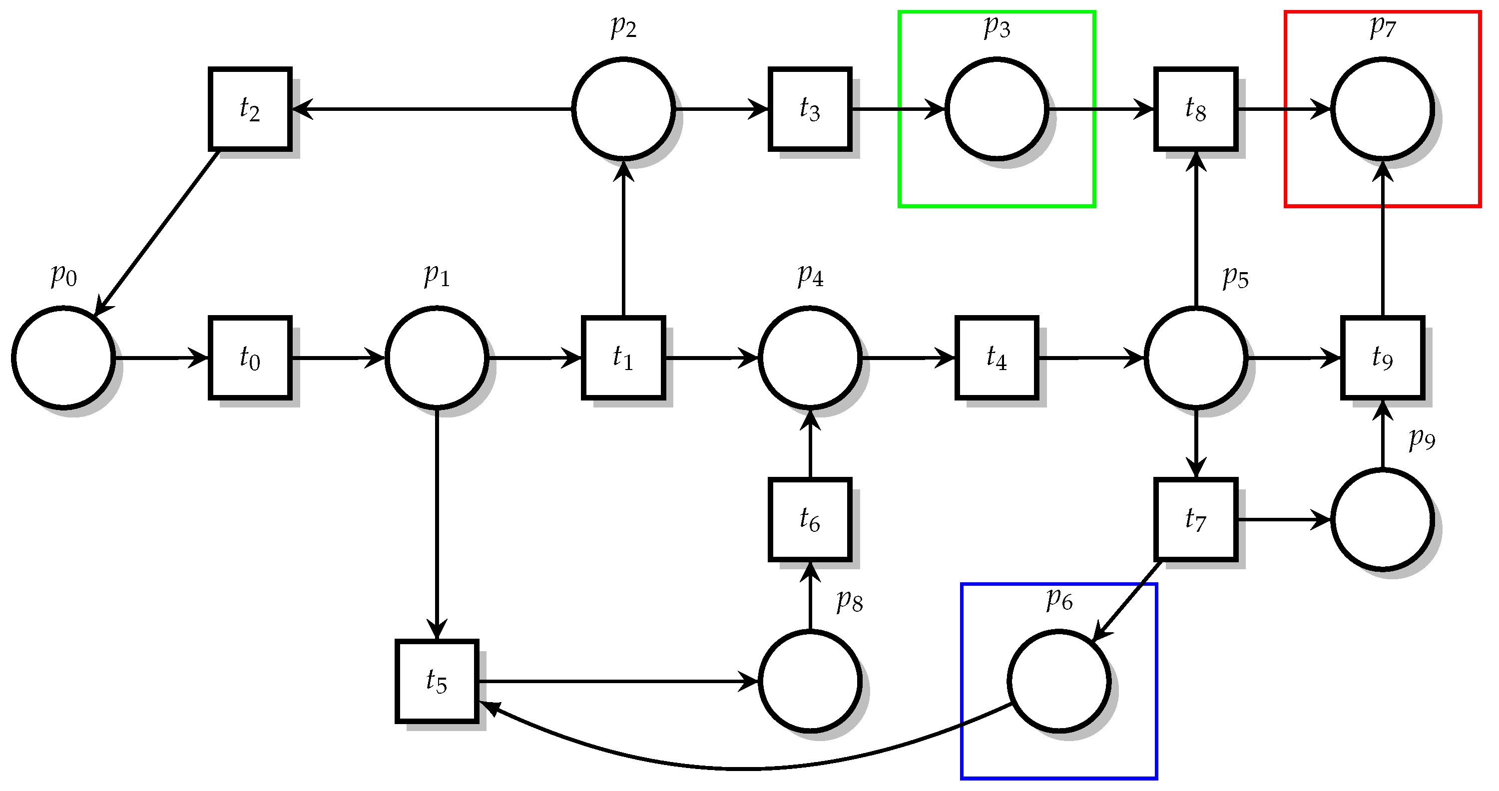
- A Petri Net model of an NS flooding attack under IPv6 communication is proposed. Compared with other studies, the NS flooding attack towards IPv6 address resolution is described in detail from the underlying principle of the attack. We judge the state of communication by using the states of nodes. This paper models the NS-DDoS attack on the address resolution process under IPv6 communication by using the Petri Net model, where Place represents the attack state, Transition represents the attack behavior and Arc represents the change between states. The NS-DDoS attack behavior is modeled using the Tina tool by setting up the initial token and analyzing the model by observing the movement of the token in the model.
- (2)
- When using the SDN NC hierarchical structure, NS flooding attacks often target the neighbor cache table of nodes. This is because NDP is insufficient for message verification. Meanwhile, in the SDN architecture, the flow table is used to collect data, and the controller sends down rules for processing, which is safer and swifter to process against abnormal attack packets.
- (3)
- Based on the anomaly detection of Naïve Bayes Classification (NBC) [15], we introduce NBC to the SDN architecture. Through the analysis of the IPv6 source address growth rate, flow table growth rate, MAC address growth rate and other characteristics, the attack data are effectively detected and the controller issues packet loss rules, thus effectively ensuring the secure communication of IPv6. In this paper, through the training of three classification algorithms and the comparison of several indicators, the results prove that the anomaly detection and defense based on the NBC on the SDN architecture can effectively guarantee normal communication under the IPv6 protocol.
2. Related Work and Background
2.1. NDP
2.2. Petri Net
- (1)
- P is the finite set of Places and T is the finite set of Transitions.
- (2)
- Among them, , and .
- (3)
- represents the flow relationship of .
2.3. SDN Architecture
3. NS Flooding Attack with Petri Net Model
3.1. Principle of Attack
3.2. Attack Process

3.3. Petri Net Model Based on NS Attacks
4. Protection against NS Flooding Attacks Based on SDN Architecture

4.1. Package Rule Processing
4.2. Petri Net Model Based on NBC Detection
5. Experimental Environment
5.1. Experimental Environment
5.2. Data Source
5.3. Feature Extraction
- (1)
- Source IP Growth Rate Equation (1)
- (2)
- Port Growth Rate Equation (2)
- (3)
- ICMP Message Growth Rate Equation (3)
6. Analysis of Experimental Results
7. Conclusions
Author Contributions
Funding
Institutional Review Board Statement
Informed Consent Statement
Data Availability Statement
Conflicts of Interest
References
- Zarif, N.S.; Najafi, H.; Imani, M.; Moghadam, A.Q. A New Hybrid Method of IPv6 Addressing in the Internet of Things. In Proceedings of the 2019 Smart Grid Conference (SGC), Tehran, Iran, 18–19 December 2019; pp. 1–5. [Google Scholar] [CrossRef]
- Shiranzaei, A.; Khan, R.Z. IPv6 Security Issues—A Systematic Review. In Advances in Intelligent Systems and Computing; Springer: Berlin/Heidelberg, Germany, 2018. [Google Scholar]
- Nikkhah, M. Maintaining the progress of IPv6 adoption. Comput. Netw. 2016, 102, 50–69. [Google Scholar] [CrossRef]
- Arjuman, N.C.; Manickam, S.; Karuppayah, S. An Improved Secure Router Discovery Mechanism to Prevent Fake RA Attack in Link Local IPv6 Network. In Proceedings of the Advances in Cyber Security: Third International Conference, ACeS 2021, Penang, Malaysia, 24–25 August 2021; Springer: Singapore, 2021. [Google Scholar]
- Bahashwan, A.; Anbar, M.; Hasbullah, I.; Al Ashhab, Z.; Bin Salem, A. Flow-Based Approach to Detect Abnormal Behavior in Neighbor Discovery Protocol (NDP). IEEE Access 2021, 9, 45512–45526. [Google Scholar] [CrossRef]
- Dong, S.; Sarem, M. DDoS Attack Detection Method Based on Improved KNN With the Degree of DDoS Attack in Software-Defined Networks. IEEE Access 2019, 8, 5039–5048. [Google Scholar] [CrossRef]
- Ibrahim, A.A.; Abdulghafor, R.A.A.; Wani, S. A New Concept of Duplicate Address Detection Processes in IPv6 Link-Local Network. Int. J. Innov. Comput. 2022, 12, 9–16. [Google Scholar] [CrossRef]
- Hijazi, S.; Obaidat, M.S. Address resolution protocol spoofing attacks and security approaches: A survey. Secur. Priv. 2019, 2, e49. [Google Scholar] [CrossRef]
- Cisco Systems, Inc. Catalyst 6500 Series Switches and Cisco 7600 Routers with IPsec VPN SPA Module-Security Policy Version 1.2. [EB/OL]. 2006. Available online: https://www.cisco.com/c/en/us/td/docs/switches/lan/catalyst6500/hardware/Certification/OL_10353.html (accessed on 11 October 2022).
- Sithik, M.M.; Kumar, B.M. Intelligent agent based virtual clustering and multi-context aware routing for congestion mitigation in secure RPL-IoT environment. Ad Hoc Netw. 2022, 137, 102972. [Google Scholar] [CrossRef]
- Ahmed, A.S.; Hassan, R.; Othman, N.E. Secure neighbor discovery (SeND): Attacks and challenges. In Proceedings of the 2017 6th International Conference on Electrical Engineering and Informatics (ICEEI), Langkawi, Malaysia, 25–27 November 2017; pp. 1–6. [Google Scholar]
- Zhang, T.; Wang, Z. Research on IPv6 neighbor discovery protocol (NDP) security. In Proceedings of the 2016 2nd IEEE International Conference on Computer and Communications (ICCC), Chengdu, China, 14–17 October 2016; pp. 2032–2035. [Google Scholar]
- Liu, X.; Zhang, J.; Zhu, P. Modeling cyber-physical attacks based on probabilistic colored Petri nets and mixed-strategy game theory. Int. J. Crit. Infrastruct. Prot. 2017, 16, 13–25. [Google Scholar] [CrossRef]
- Maleh, Y.; Fatani, I.F.E.; Gholami, K.E. A Systematic Review on Software Defined Networks Security: Threats and Mitigations. In Proceedings of the International Conference on Information, Communication & Cybersecurity, Brisbane, QLD, Australia, 23–25 September 2022. [Google Scholar]
- Banchhor, C.; Srinivasu, N. Holoentropy based Correlative Naive Bayes classifier and MapReduce model for classifying the big data. Evol. Intell. 2022, 15, 1037–1050. [Google Scholar] [CrossRef]
- Anbar, M.; Abdullah, R.; Saad, R.M.A.; Alomari, E.; Alsaleem, S. Review of Security Vulnerabilities in the IPv6 Neighbor Discovery Protocol. In Proceedings of the Information Science and Applications (ICISA) 2016; Kim, K.J., Joukov, N., Eds.; Springer: Singapore, 2016; pp. 603–612. [Google Scholar]
- Wlazlo, P.; Sahu, A.; Mao, Z.; Huang, H.; Goulart, A.; Davis, K.; Zonouz, S. Man-in-the-middle attacks and defence in a power system cyber-physical testbed. IET-Cyber-Phys. Syst. Theory Appl. 2021, 6, 164–177. [Google Scholar] [CrossRef]
- Tang, J. Research on IPv6 Protocol Transition Mechanism. In Proceedings of the 2021 6th International Conference on Intelligent Computing and Signal Processing (ICSP), Xi’an, China, 9–11 April 2021; pp. 702–705. [Google Scholar] [CrossRef]
- Dervisevic, E.; Mehic, M. Overview of Quantum Key Distribution Technique within IPsec Architecture. arXiv 2021, arXiv:2112.13105. [Google Scholar]
- Al-Ani, A.K.; Anbar, M.; Al-Ani, A.; Ibrahim, D.R. Match-Prevention Technique Against Denial-of-Service Attack on Address Resolution and Duplicate Address Detection Processes in IPv6 Link-local Network. IEEE Access 2020, 8, 27122–27138. [Google Scholar] [CrossRef]
- Moghadam, A.Q.; Imani, M. A new method of IPv6 addressing based on EPC-mapping in the Internet of Things. In Proceedings of the 2018 4th International Conference on Web Research (ICWR), Tehran, Iran, 25–26 April 2018. [Google Scholar]
- Imani, M.; Moghadam, A.Q.; Zarif, N.; Noshiri, O.; Faramarzi, K.; Arabnia, H.R.; Joudaki, M. A Comprehensive Survey on Addressing Methods in the Internet of Things. arXiv 2018, arXiv:1807.02173. [Google Scholar]
- Ouakasse, F.; Rakrak, S. From RFID tag ID to IPv6 address mapping mechanism. In Proceedings of the Third International Workshop on Rfid & Adaptive Wireless Sensor Networks, Agadir, Morocco, 13–15 May 2015. [Google Scholar]
- Elejla, O.E.; Belaton, B.; Anbar, M.; Alnajjar, A. Intrusion detection systems of ICMPv6-based DDoS attacks. Neural Comput. Appl. 2018, 30, 45–56. [Google Scholar] [CrossRef]
- Zhang, L.; Han, Y.; Wang, Y.; Quan, R. Petri Net Model of MITM Attack Based on NDP Protocol. In Proceedings of the 2022 International Conference on Networking and Network Applications (NaNA), Urumqi, China, 3–5 December 2022; pp. 402–405. [Google Scholar] [CrossRef]
- Zarif, N.S.; Moghadam, A.Q.; Imani, M. Hybrid Technique for Spectrum Sharing in Cognitive Radio Networks for the Internet of Things. Int. J. Comput. Appl. 2018, 179, 14–18. [Google Scholar]
- Khan, R.Z.; Shiranzaei, A. IPv6 security tools—A systematic review. In Proceedings of the 2016 International Conference on Computing, Communication and Automation (ICCCA), Greater Noida, India, 29–30 April 2016. [Google Scholar]
- Mat, S.R.T.; Ab Razak, M.F.; Kahar, M.N.M.; Arif, J.M.; Firdaus, A. A Bayesian probability model for Android malware detection. ICT Express 2022, 8, 424–431. [Google Scholar] [CrossRef]
- Panigrahi, R.; Borah, S.; Pramanik, M.; Bhoi, A.K.; Barsocchi, P.; Nayak, S.R.; Alnumay, W. Intrusion detection in cyber–physical environment using hybrid Naïve Bayes—Decision table and multi-objective evolutionary feature selection. Comput. Commun. 2022, 188, 133–144. [Google Scholar] [CrossRef]
- Shen, Z.; Zhang, Y.; Chen, W. A bayesian classification intrusion detection method based on the fusion of PCA and LDA. Secur. Commun. Netw. 2019, 2019, 6346708. [Google Scholar] [CrossRef]
- Rafa, F.; Rahman, Z.; Mishu, M.M.; Hasan, M.; Rahman, R.; Nandi, D. Detecting Intrusion in Cloud using Snort: An Application towards Cyber-Security. In Proceedings of the 2nd International Conference on Computing Advancements, Colombo, Sir Lanka, 10–11 December 2020; pp. 199–206. [Google Scholar]
- Cao, X.; Dongying, F.U.; Wanguo, Y.U.; Dajie, J.I.; Zhu, H. Design and realization of virtual network practice teaching experiment platform based on EVE-NG. Exp. Technol. Manag. 2019, 36. [Google Scholar]
- Li, Y.; Guo, X.; Pang, X.; Peng, B.; Zhang, P. Performance Analysis of Floodlight and Ryu SDN Controllers under Mininet Simulator. In Proceedings of the 2020 IEEE/CIC International Conference on Communications in China (ICCC Workshops), Chongqing, China, 9–11 August 2020. [Google Scholar]
- Mehr, S.Y.; Ramamurthy, B. An SVM Based DDoS Attack Detection Method for Ryu SDN Controller. In Proceedings of the 15th International Conference on emerging Networking EXperiments and Technologies, Orlando, FL, USA, 9–12 December 2019. [Google Scholar]
- Tan, J.; Jing, S.; Guo, L.; Xiao, B. DDoS detection method based on Gini impurity and random forest in SDN environment. In Proceedings of the 2021 International Conference on Security, Pattern Analysis, and Cybernetics (SPAC), Chengdu, China, 18–20 June 2021; pp. 601–606. [Google Scholar]
- Feng, W.; Wu, Y. DDoS Attack Real-Time Defense Mechanism using Deep Q-Learning Network. Int. J. Perform. Eng. 2020, 16. [Google Scholar]








| Petri Net | NS Flooding |
|---|---|
| Place | State |
| Transition | Action |
| Direct arc | State transform |
| Places | Description | Transitions | Description |
|---|---|---|---|
| Source node | Check the neighbor cache | ||
| Delay | Send NS message | ||
| Other nodes in the multicast | Update the cache table of multicast nodes | ||
| Obtain the source node IP of the attacker | Sniff NS messages | ||
| Target node | Update cache table and send NA messages | ||
| The source node after receiving the message | Send messages | ||
| Normal state | Re-communicate | ||
| Damaged state | Update the neighbor cache table | ||
| Reachable | NS flooding messages | ||
| Cache table overflow status | Receive message |
| Places | Description | Transitions | Description |
|---|---|---|---|
| Source node | Check the neighbor cache | ||
| Delay | Update the cache table of multicast nodes | ||
| Other nodes in the multicast | Send NS messages | ||
| Forwarding table | Send message | ||
| Controller | Send packet-in | ||
| Flow table with rules | Send packet-out | ||
| Attack machine to obtain source node IP | Define rules | ||
| Hijacking state | Sniffing NS messages | ||
| Normal state | Send NS flood messages | ||
| Hijacked state | Less than threshold | ||
| Reachable | Naïve Bayes classification model | ||
| Detection status | Larger than threshold | ||
| Target node | Re-communicate | ||
| Update cache table |
| No. | Feature | Description |
|---|---|---|
| 1 | No. | Number |
| 2 | Time | Arrive time |
| 3 | Source | Source IP |
| 4 | Destination | Destination IP |
| 5 | Protocol type | Network layer protocol type |
| 6 | Checksum | checksum |
| 7 | ICMPv6 Type | ICMPV6 Type |
| 8 | ICMPv6 Code | ICMPV6 Code |
| 9 | Traffic class | Traffic mark field of ICMPV6 |
| 10 | Next header | Next header field of ICMPV6 |
| 11 | Hop limit | ICMPV6 hop limit field |
| 12 | Ra CHL | RA’s current hop limit field |
| 13 | Payload length | Packet payload |
| 14 | Flow label | IPv6 traffic label |
| 15 | ICMPV6 OPTION | ICMPV6 option type field |
| 16 | Ra flag | RA’s flag field |
| 17 | RL Ra | RA’s router lifetime field |
| 18 | RH Ra | RA’s reachable time field |
| 19 | RT Ra | Returns timer field |
| 20 | Tadd NS | Target address field of NS |
| 21 | Packet size | Icmpv6 data size |
| 22 | Sequence | Sequence field of the echo of icmpv6 |
| 23 | Tadd Na | NA’s target address field |
| 24 | Na flag | The flag field of NA |
Disclaimer/Publisher’s Note: The statements, opinions and data contained in all publications are solely those of the individual author(s) and contributor(s) and not of MDPI and/or the editor(s). MDPI and/or the editor(s) disclaim responsibility for any injury to people or property resulting from any ideas, methods, instructions or products referred to in the content. |
© 2023 by the authors. Licensee MDPI, Basel, Switzerland. This article is an open access article distributed under the terms and conditions of the Creative Commons Attribution (CC BY) license (https://creativecommons.org/licenses/by/4.0/).
Share and Cite
Han, Y.; Zhang, L.; Wang, Y.; Deng, X.; Gu, Z.; Zhang, X. Research on the Security of IPv6 Communication Based on Petri Net under IoT. Sensors 2023, 23, 5192. https://doi.org/10.3390/s23115192
Han Y, Zhang L, Wang Y, Deng X, Gu Z, Zhang X. Research on the Security of IPv6 Communication Based on Petri Net under IoT. Sensors. 2023; 23(11):5192. https://doi.org/10.3390/s23115192
Chicago/Turabian StyleHan, Yu, Liumei Zhang, Yichuan Wang, Xi Deng, Zhendong Gu, and Xiaohui Zhang. 2023. "Research on the Security of IPv6 Communication Based on Petri Net under IoT" Sensors 23, no. 11: 5192. https://doi.org/10.3390/s23115192
APA StyleHan, Y., Zhang, L., Wang, Y., Deng, X., Gu, Z., & Zhang, X. (2023). Research on the Security of IPv6 Communication Based on Petri Net under IoT. Sensors, 23(11), 5192. https://doi.org/10.3390/s23115192

