A Random Subcarrier-Selection Method Based on Index Modulation for Secure Transmission
Abstract
:1. Introduction
1.1. Problem Formulation
1.2. Current Literature
1.3. Motivation and Related Work
1.4. Benefits and Challenges
- A new random subcarrier-selection method was proposed to guarantee the randomness of the selected subcarriers. In contrast to the scheme proposed in [18], RSCS-IM avoids the randomization procedure while the selected subcarriers are more random.
- IM is combined with subcarrier selection. By employing IM, the information was conveyed not only by MQAM modulation but also by the indices of the activated subcarriers, which improved the SE. Operating at the same SE, the BER performance was promoted by employing our scheme.
- The secure precise transmission via computer simulation was demonstrated and derived the closed-form expression of BER for the desired position. The theoretical outcomes were validated by simulation results as well.
- The main challenges are summarized as follows: in order to achieve precise and secure wireless communication, the randomness of the selected subcarriers must be guaranteed; the system complexity must be reduced and SE must be improved.
2. System Model
2.1. Conventional Random Subcarrier-Selection Method
2.2. The Proposed Random Subcarrier-Selection Method Based on Index Modulation
3. Performance Analysis
3.1. Spectral Efficiency and Computational Complexity Analysis
- Spectral Efficiency AnalysisOne OFDM symbol was taken for reference. According to the principle of RSCS-IM, an OFDM symbol included bits information, which was defined aswhere is the number of antennas, represents the number of total subcarriers and M is the modulation order. While for PSS Plus RP, the counterpart wasIt was obvious that , so RSCS-IM promoted the spectrum efficiency. Meanwhile, we could see that a large implied a higher spectrum efficiency; however, larger also implied higher computational complexity. We could select the value of and to meet our requirement in a certain scenario.
- Computational Complexity AnalysisAccording to the principles of PSS Plus RP and RSCS-IM shown in Figure 2 and Figure 4, respectively, we analyze the computational complexity of these two schemes in this subsection. The computational complexity was evaluated in terms of the real-valued operations, including real-valued multiplication, real-valued additions, and real-valued modulo operations. According to the principles, we gave the complexity of these two methods shown in Table 2, where and denote the number of total subcarriers and antennas, respectively, and N is the number of loops of block interleaving.
3.2. BER Performance Analysis of the Desired Position
4. Simulation Results
4.1. The Simulation Results of Random Degree
4.2. The Simulation Results of Computational Complexity
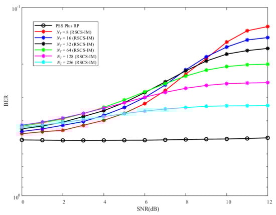
4.3. The Simulation Results of BER Performance
5. Conclusions
Author Contributions
Funding
Institutional Review Board Statement
Informed Consent Statement
Data Availability Statement
Conflicts of Interest
Abbreviations
| FDA | Frequency diverse array |
| OFDM | Orthogonal frequency division multiplexing |
| RSCS-IM | Random subcarrier-selection method based on index modulation |
| BER | Bit error rate |
| SE | Spectral efficiency |
| PLS | Physical-layer security |
| DM | Directional modulation |
| PA | Phased array |
| RFDA | Random frequency diverse array |
| IM | Index modulation |
| MQAM | Multiple Quadrature Amplitude Modulation |
| FDA OFDM-IM | FDA OFDM transmitter based on index modulation |
| AWGN | Additive white Gaussian noise |
| PSS Plus RP | Prime subcarrier set plus randomization procedure |
| IFFT | Inverse fast Fourier transform |
| FFT | Fast Fourier transform |
| RM | Random metric |
References
- Yang, N.; Wang, L.; Geraci, G.; Elkashlan, M.; Yuan, J.; Di Renzo, M. Safeguarding 5G wireless communication networks using physical layer security. IEEE Commun. Mag. 2015, 53, 20–27. [Google Scholar] [CrossRef]
- Zhao, N.; Yu, F.R.; Li, M.; Yan, Q.; Leung, V.C. Physical layer security issues in interference-alignment-based wireless networks. IEEE Commun. Mag. 2016, 54, 162–168. [Google Scholar] [CrossRef]
- Zou, Y.L.; Zhu, J.; Wang, X.; Leung, V. Improving physical-layer security in wireless communications using diversity techniques. IEEE Netw. 2015, 29, 42–48. [Google Scholar] [CrossRef] [Green Version]
- Xie, N.; Zhang, S. Blind Authentication at the Physical Layer Under Time-Varying Fading Channels. IEEE J. Sel. Areas Commun. 2018, 36, 1465–1479. [Google Scholar] [CrossRef]
- Kalantari, A.; Soltanalian, M. Directional Modulation via Symbol-Level Precoding: A Way to Enhance Security. IEEE J. Sel. Top. Signal Process 2016, 10, 1478–1493. [Google Scholar] [CrossRef]
- Daly, M.P.; Bernhard, J.T. Directional Modulation Technique for Phased Arrays. IEEE Trans. Antennas Propag. 2009, 57, 2640–2663. [Google Scholar] [CrossRef]
- Antonik, P.; Wicks, M.C.; Griffiths, H.D.; Baker, C.J. Frequency diverse array radars. In Proceedings of the 2006 IEEE Conference on Radar, Verona, NY, USA, 24–27 April 2006; p. 3. [Google Scholar]
- Khan, W.; Qureshi, I.M.; Saeed, S. Frequency Diverse Array Radar with Logarithmically Increasing Frequency Offset. IEEE Antennas Wirel. Propag. Lett. 2015, 14, 499–502. [Google Scholar] [CrossRef]
- Xu, Y.; Shi, X.; Li, W.; Xu, J. Flat-Top Beampattern Synthesis in Range and Angle Domains for Frequency Diverse Array via Second-Order Cone Programming. IEEE Antennas Wirel. Propag. Lett. 2016, 15, 1479–1482. [Google Scholar] [CrossRef]
- Xiong, J.; Wang, W.Q.; Shao, H.; Chen, H. Frequency Diverse Array Transmit Beampattern Optimization with Genetic Algorithm. IEEE Antennas Wirel. Propag. Lett. 2017, 16, 469–472. [Google Scholar] [CrossRef]
- Xu, Y.; Luk, K.M. Enhanced Transmit—Receive Beamforming for Frequency Diverse Array. IEEE Trans. Antennas Propag. 2020, 68, 5344–5352. [Google Scholar] [CrossRef]
- Liao, Y.; Wang, J.; Liu, Q.H. Transmit Beampattern Synthesis for Frequency Diverse Array with Particle Swarm Frequency Offset Optimization. IEEE Trans. Antennas Propag. 2021, 69, 892–901. [Google Scholar] [CrossRef]
- Gao, K.; Wang, W.Q.; Chen, H.; Cai, J. Transmit Beamspace Design for Multi-Carrier Frequency Diverse Array Sensor. IEEE Sens. J. 2016, 16, 5709–5714. [Google Scholar] [CrossRef]
- Ding, Y.; Zhang, J.; Fusco, V. Frequency diverse array OFDM transmitter for secure communication. Electron. Lett. 2015, 51, 1374–1375. [Google Scholar] [CrossRef] [Green Version]
- Liu, Y.; Ruan, H.; Wang, L.; Nehorai, A. The random frequency diverse array: A new antenna structure for uncoupled direction-range indication in active sensing. IEEE J. Sel. Top. Signal Process 2017, 11, 295–308. [Google Scholar] [CrossRef]
- Gao, J.; Qiu, B.; Zhou, J. Spatial Modulation and MP-WFRFT-Aided Multi-Beam Wireless Communication Scheme Based on Random Frequency Diverse Array. Sensors 2020, 20, 5298. [Google Scholar] [CrossRef] [PubMed]
- Shu, F.; Wu, X.; Li, J.; Chen, R.; Wang, J. Secure and precise wireless transmission for random-subcarrier-selection based directional modulation transmit antenna array. IEEE J. Sel. Areas Commun. 2018, 36, 890–904. [Google Scholar] [CrossRef]
- Shen, T.; Zhang, S.; Chen, R.; Wang, J.; Hu, J.; Shu, F.; Wang, J. Two practical random-subcarrier-selection methods for secure precise wireless transmissions. IEEE Trans. Veh. Technol. 2019, 68, 9018–9028. [Google Scholar] [CrossRef]
- Basar, E.; Aygolu, U.; Panayirci, E.; Poor, H.V. Orthogonal frequency division multiplexing with index modulation. In Proceedings of the IEEE GLOBECOM, Anaheim, CA, USA, 3–7 December 2012; pp. 4741–4746. [Google Scholar]
- Crawford, J.; Ko, Y. Low complexity greedy detection method with generalized multicarrier index keying ofdm. In Proceedings of the 2015 IEEE 26th Annual International Symposium on Personal Indoor and Mobile Radio Communications (PIMRC), Hong Kong, China, 30 August–2 September 2015; pp. 688–693. [Google Scholar]












| Notation | Description |
|---|---|
| ∑ | Sum. |
| The distribution of a circularly symmetric complex Gaussian. | |
| The binomial coefficient. |
| Scheme | Complexity | ||
|---|---|---|---|
| Addition | Multiplication | Modulo | |
| RSCS-IM | — | ||
| PSS Plus RP | |||
| Parameter | Value | Description |
|---|---|---|
| 2.404 GHz | Reference frequency. | |
| B | 20 MHz | Signal bandwidth. |
| 512/1024 | The number of total subcarriers. | |
| 64 | The number of antenna array elements. | |
| 9 dB | Average bit energy to noise power ratio. | |
| () | ( m) | The desired position. |
| 0 | The constant of Equation (13). |
Publisher’s Note: MDPI stays neutral with regard to jurisdictional claims in published maps and institutional affiliations. |
© 2022 by the authors. Licensee MDPI, Basel, Switzerland. This article is an open access article distributed under the terms and conditions of the Creative Commons Attribution (CC BY) license (https://creativecommons.org/licenses/by/4.0/).
Share and Cite
Zhan, T.; Chen, J.; Luan, S.; Lei, X. A Random Subcarrier-Selection Method Based on Index Modulation for Secure Transmission. Sensors 2022, 22, 2676. https://doi.org/10.3390/s22072676
Zhan T, Chen J, Luan S, Lei X. A Random Subcarrier-Selection Method Based on Index Modulation for Secure Transmission. Sensors. 2022; 22(7):2676. https://doi.org/10.3390/s22072676
Chicago/Turabian StyleZhan, Tao, Jiangong Chen, Shan Luan, and Xia Lei. 2022. "A Random Subcarrier-Selection Method Based on Index Modulation for Secure Transmission" Sensors 22, no. 7: 2676. https://doi.org/10.3390/s22072676
APA StyleZhan, T., Chen, J., Luan, S., & Lei, X. (2022). A Random Subcarrier-Selection Method Based on Index Modulation for Secure Transmission. Sensors, 22(7), 2676. https://doi.org/10.3390/s22072676
