Energy Consumption Model of SCHC Packet Fragmentation over Sigfox LPWAN
Abstract
:1. Introduction
2. Related Work
2.1. Sigfox Energy Performance
2.2. SCHC F/R
3. Sigfox
3.1. Network Architecture
3.2. Physical Layer Features
3.3. Communication Procedures
3.3.1. U-Proc
3.3.2. B-Proc
3.4. Frame Formats
4. SCHC over Sigfox
4.1. Tiles, Windows and Bitmaps
4.2. SCHC Messages
4.3. ACK-on-Error Configuration
5. Modeling SCHC F/R over Sigfox Current Consumption
5.1. Experimental Setup
5.2. SCHC Packet Transfer States
5.3. Current Consumption Profile
5.3.1. Sleep and Wake-Up States Current Consumption Profile
5.3.2. SCHC Fragmentation States Current Consumption Profile
5.3.3. U-Proc Current Consumption Profile
5.3.4. B-Proc Current Consumption Profile
5.4. SCHC Packet Transfer Current and Energy Consumption Model
5.4.1. Number of U-Proc and B-Proc
5.4.2. Single SCHC Packet Transfer Model
5.5. Periodic SCHC Packet Transfer Energy Performance Metrics
6. Evaluation
6.1. SCHC Packet Current and Energy Consumption
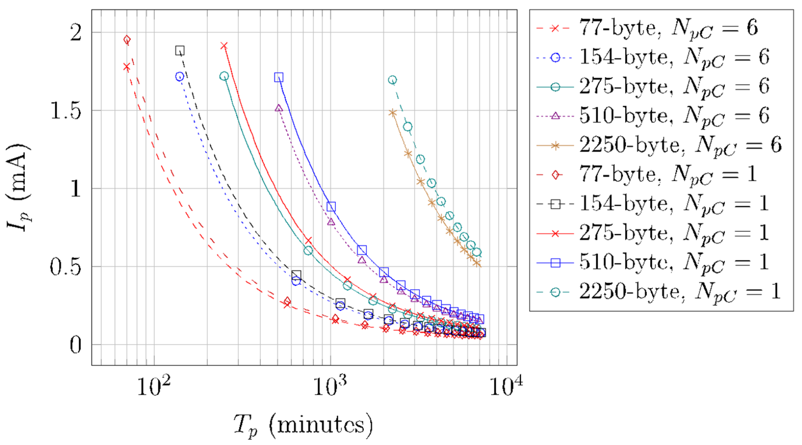
6.2. Periodic SCHC Packet Transfer Energy Performance
7. Conclusions
Author Contributions
Funding
Institutional Review Board Statement
Informed Consent Statement
Conflicts of Interest
References
- Farrell, S. Low-Power Wide Area Network (LPWAN) Overview. RFC Editor, RFC 8376, May 2018. Available online: https://www.rfc-editor.org/rfc/rfc8376.txt (accessed on 2 March 2022).
- Gomez, C.; Minaburo, A.; Toutain, L.; Barthel, D.; Zuniga, J.C. IPv6 over LPWANs: Connecting Low Power Wide Area Networks to the Internet (of Things). IEEE Wirel. Commun. 2020, 27, 206–213. [Google Scholar] [CrossRef]
- Deering, S.; Hinden, R. Internet Protocol, Version 6 (IPv6) Specification. RFC Editor, RFC 8200, July 2017. Available online: https://www.rfc-editor.org/rfc/rfc8200.txt (accessed on 2 March 2022).
- Minaburo, A.; Toutain, L.; Gomez, C.; Barthel, D.; Zúñiga, J. SCHC: Generic Framework for Static Context Header Compression and Fragmentation. RFC 2020, 8724, 1–71. [Google Scholar]
- Gimenez, O.; Petrov, I. Static Context Header Compression and Fragmentation (SCHC) over LoRaWAN. Internet Engineering Task Force, Request for Comments. RFC 9011, April 2021. Available online: https://doi.org/10.17487/RFC9011 (accessed on 2 March 2022).
- Zúñiga, J.-C.; Gomez, C.; Aguilar, S.; Toutain, L.; Cespedes, S.; Torre, D.S.W.L. SCHC over Sigfox LPWAN. Internet Engineering Task Force, Internet Draft draft-ietf-lpwan-schc-over-sigfox-08, October 2021. Available online: https://datatracker.ietf.org/doc/draft-ietf-lpwan-schc-over-sigfox-08 (accessed on 27 December 2021).
- Ramos, E.; Minaburo, A. SCHC over NB-IoT: Internet-Draft draft-ietf-lpwan-schc-over-nbiot-00. May 2019. Available online: https://datatracker.ietf.org/doc/html/draft-ietf-lpwan-schc-over-nbiot-00 (accessed on 2 March 2022).
- Suciu, I.; Vilajosana, X.; Adelantado, F. An analysis of packet fragmentation impact in LPWAN. In Proceedings of the 2018 IEEE Wireless Communications and Networking Conference (WCNC), Barcelona, Spain, 15–18 April 2018. [Google Scholar]
- Suciu, I.; Vilajosana, X.; Adelantado, F. Aggressive Fragmentation Strategy for Enhanced Network Performance in Dense LPWANs. In Proceedings of the 2018 IEEE 29th Annual International Symposium on Personal, Indoor and Mobile Radio Communications (PIMRC), Bologna, Italy, 9–12 September 2018; pp. 1833–1838. [Google Scholar] [CrossRef] [Green Version]
- Aguilar, S.; Marquet, A.; Toutain, L.; Gomez, C.; Vidal, R.; Montavont, N.; Papadopoulos, G.Z. LoRaWAN SCHC Fragmentation Demystified; Springer International Publishing: Cham, Switzerland, 2019; pp. 213–227. [Google Scholar]
- Aguilar, S.; Maillé, P.; Toutain, L.; Gomez, C.; Vidal, R.; Montavont, N.; Papadopoulos, G.Z. Performance Analysis and Optimal Tuning of IETF LPWAN SCHC ACK-on-Error Mode. IEEE Sens. 2020, 20, 14534–14547. [Google Scholar] [CrossRef]
- Aguilar, S.; Vidal, R.; Gomez, C. Evaluation of Receiver-Feedback Techniques for Fragmentation over LPWANs. IEEE Internet Things J. 2021. [Google Scholar] [CrossRef]
- Sanchez-Gomez, J.; Gallego-Madrid, J.; Sanchez-Iborra, R.; Santa, J.; Skarmeta, A. Impact of SCHC Compression and Fragmentation in LPWAN: A Case Study with LoRaWAN. Sensors 2020, 20, 280. [Google Scholar] [CrossRef] [PubMed] [Green Version]
- Santa, J.; Bernal-Escobedo, L.; Sanchez-Iborra, R. On-board unit to connect personal mobility vehicles to the IoT. Procedia Comput. Sci. 2020, 175, 173–180. [Google Scholar] [CrossRef]
- Aguilar, S.; La-Torre, D.S.W.; Platis, A.; Vidal, R.; Gomez, C.; Céspedes, S.; Zúñiga, J.C. Packet Fragmentation over Sigfox: Implementation and Performance Evaluation of SCHC ACK-on-Error. IEEE Internet Things J. 2021. [Google Scholar] [CrossRef]
- Muñoz, R.; Hidalgo, J.S.; Canales, F.; Dujovne, D.; Céspedes, S. SCHC over LoRaWAN Efficiency: Evaluation and Experimental Performance of Packet Fragmentation. Sensors 2022, 22, 1531. [Google Scholar] [CrossRef] [PubMed]
- Martinez, B.; Monton, M.; Vilajosana, I.; Prades, J.D. The Power of Models: Modeling Power Consumption for IoT Devices. IEEE Sens. J. 2015, 15, 5777–5789. [Google Scholar] [CrossRef] [Green Version]
- Gomez, C.; Veras, J.C.; Vidal, R.; Casals, L.; Paradells, J. A Sigfox Energy Consumption Model. Sensors 2019, 19, 681. [Google Scholar] [CrossRef] [PubMed] [Green Version]
- Ruckebusch, P.; Giannoulis, S.; Moerman, I.; Hoebeke, J.; De Poorter, E. Modelling the energy consumption for over-the-air software updates in LPWAN networks: SigFox, LoRa and IEEE 802.15.4g. Internet Things 2018, 3–4, 104–119. [Google Scholar] [CrossRef] [Green Version]
- Hernandez, D.M.; Peralta, G.; Manero, L.; Gomez, R.; Bilbao, J.; Zubia, C. Energy and coverage study of LPWAN schemes for Industry 4.0. In Proceedings of the 2017 IEEE International Workshop of Electronics, Control, Measurement, Signals and Their Application to Mechatronics (ECMSM), Donostia, Spain, 24–26 May 2017; pp. 1–6. [Google Scholar] [CrossRef]
- Morin, E.; Maman, M.; Guizzetti, R.; Duda, A. Comparison of the Device Lifetime in Wireless Networks for the Internet of Things. IEEE Access 2017, 5, 7097–7114. [Google Scholar] [CrossRef]
- Ogawa, T.; Yoshimura, T.; Miyaho, N. Cloud control DTN utilizing general user’ smartphones for narrowband edge computing. In Proceedings of the 2018 IEEE 4th World Forum on Internet of Things (WF-IoT), Singapore, 5–8 February 2018; pp. 19–24. [Google Scholar] [CrossRef]
- Perles, A.; Pérez-Marín, E.; Mercado, R.; Segrelles, J.D.; Blanquer, I.; Zarzo, M.; García-Diego, F.J. An energy-efficient internet of things (IoT) architecture for preventive conservation of cultural heritage. Future Gener. Comput. Syst. 2018, 81, 566–581. [Google Scholar] [CrossRef]
- Finnegan, J.; Brown, S. An Analysis of the Energy Consumption of LPWA-based IoT Devices. In Proceedings of the 2018 International Symposium on Networks, Computers and Communications (ISNCC), Rome, Italy, 19–21 June 2018; pp. 1–6. [Google Scholar]
- Mekki, K.; Bajic, E.; Chaxel, F.; Meyer, F. Overview of Cellular LPWAN Technologies for IoT Deployment: Sigfox, LoRaWAN, and NB-IoT. In Proceedings of the 2018 IEEE International Conference on Pervasive Computing and Communications Workshops (PerCom Workshops), Athens, Greece, 19–23 March 2018. [Google Scholar]
- Lykov, Y.; Paniotova, A.; Shatalova, V.; Lykova, A. Energy Efficiency Comparison LPWANs: LoRaWAN vs Sigfox. In Proceedings of the 2020 IEEE International Conference on Problems of Infocommunications. Science and Technology (PIC S T), Kharkiv, Ukraine, 6–9 October 2020; pp. 485–490. [Google Scholar] [CrossRef]
- Pycom. LoPy4 Datasheet. 13 October 2021. Available online: https://docs.pycom.io/gitbook/assets/specsheets/Pycom_002_Specsheets_LoPy4_v2.pdf (accessed on 2 March 2022).


















| Reference | Sigfox Module | Battery Capacity (mAh) | Sending Period | Lifetime (Years) | Packet Fragmentation |
|---|---|---|---|---|---|
| [17] | Not specified | Not specified | Not specified | Not specified | No |
| [18] | ATA8520 Sigfox | 2400 | 10 min | 1.5 (at 600 bit/s) 2.5 (at 100 bit/s) | No |
| [19] | Onsemi AXSF | 2400 | Not specified | Not specified | No |
| [20] | Telit LE51-868/DIP | 1000 | 60 min | 4 (at 600 bit/s) | No |
| [21] | TD1202 | 1500 × 2 | 24 h | 25 (at 100 bit/s) | No |
| [22] | TD1207R/08R | Not specified | Not specified | Not specified | No |
| [23] | Telit LE51-868S | 1700 | 60 min | 1.5 (at 100 bit/s) | No |
| [24] | AX-Sigfox | 1500 | 10 min | 1 (at 100 bit/s) | No |
| [25] | Not specified | Not specified | Not specified | Not specified | No |
| [26] | AX-SIP-SFEU | 2000 | 10 min | 0.57 (at 100 bit/s) | No |
| Reference | Performance Parameters | Method | Energy Performance Evaluation |
|---|---|---|---|
| [8] | Overhead, throughput, goodput, end to end delay | Simulation | No |
| [9] | Goodput, application capacity, efficiency, header overhead | Simulation | No |
| [2] | Header compression, number of fragments, number of ACKs | Theoretical | No |
| [10] | Channel occupancy, goodput, total delay | Simulation | No |
| [11] | ACK message overhead, ACK bit overhead with and without L2 headers | Theoretical | No |
| [12] | Error rates and patterns | Simulation | No |
| [13] | Packet delivery ratio, goodput per ToA | Experimental | No |
| [14] | Network delay, SNR, power consumption | Experimental | No |
| [15] | Transfer time, number of uplink and downlink messages | Theoretical, Experimental | No |
| [16] | Channel occupancy efficiency | Theoretical, Experimental | No |
| States | Duration Notation | Duration (ms) | Average Current Consumption Notation | Average Current Consumption (mA) | Average Energy Consumption (mJ) |
|---|---|---|---|---|---|
| Wake-up | TWake-up | 20 | IWake-up | 42 | 2.94 |
| Sleep | TSleep | - | ISleep | 2.07 | - |
| States | Duration Notation | Duration (ms) | Average Current Consumption Notation | Average Current Consumption (mA) | Average Energy Consumption (mJ) |
|---|---|---|---|---|---|
| Wake-up | TWake-up | 2770 | IWake-up | 52.4 | 508.02 |
| Sleep | TSleep | - | ISleep | 0.02 | - |
| States | Duration Notation | Duration (ms) | Average Current Consumption Notation | Average Current Consumption (mA) |
|---|---|---|---|---|
| Fragmenter | TFrag | see Figure 10 | IFrag | 55.3 |
| Frag Prep | TPrep | 23.26 | IPrep | 55.3 |
| Inter Frag | TInter | 19.07 | IInter | 55.3 |
| Post Frag | TPost | 28.74 | IPost | 55.3 |
| Substates | Duration Notation | Duration (ms) | Average Current Consumption Notation | Average Current Consumption (mA) |
|---|---|---|---|---|
| TTx | [1120, 2080] | ITx | 112.9 |
| TWait_Tx | 1000 | IWait_Tx | 34.02 |
| TCool | 1000 | ICool | 33.98 |
| Substates | Duration Notation | Duration (ms) | Average Current Consumption Notation | Average Current Consumption (mA) |
|---|---|---|---|---|
| 1. Transmission | TTx | [1120, 2080] | ITx | 112.9 |
| 2. Wait next transmission | TWait_Tx | 500 | IWait_Tx | 34.02 |
| 4. Wait for reception | TWaitRx | 15,556 | IWait_Rx | 34.14 |
| 5. Reception | TRx | [387, 25,000] * | IRx | 45.94 |
| 6. Confirmation | TConf | 1799 | IConf | 114.95 |
| 3. Cooldown | TCool | 1000 | ICool | 33.98 |
| SCHC Packet Size (Bytes) | NU-Proc | NB-Proc-NO-DL | NB-Proc-DL | Number of Windows | Tp_min (Minutes) | SCHC Packets per Day with Tp_min |
|---|---|---|---|---|---|---|
| 77 | 6 | 0 | 1 | 1 | 70 | 20 |
| 154 | 12 | 1 | 1 | 2 | 140 | 10 |
| 275 | 21 | 3 | 1 | 4 | 250 | 5 |
| 510 | 49 | 1 | 1 | 2 | 510 | 2 |
| 2250 | 217 | 7 | 1 | 8 | 2250 | 0.64 * |
Publisher’s Note: MDPI stays neutral with regard to jurisdictional claims in published maps and institutional affiliations. |
© 2022 by the authors. Licensee MDPI, Basel, Switzerland. This article is an open access article distributed under the terms and conditions of the Creative Commons Attribution (CC BY) license (https://creativecommons.org/licenses/by/4.0/).
Share and Cite
Aguilar, S.; Platis, A.; Vidal, R.; Gomez, C. Energy Consumption Model of SCHC Packet Fragmentation over Sigfox LPWAN. Sensors 2022, 22, 2120. https://doi.org/10.3390/s22062120
Aguilar S, Platis A, Vidal R, Gomez C. Energy Consumption Model of SCHC Packet Fragmentation over Sigfox LPWAN. Sensors. 2022; 22(6):2120. https://doi.org/10.3390/s22062120
Chicago/Turabian StyleAguilar, Sergio, Antonis Platis, Rafael Vidal, and Carles Gomez. 2022. "Energy Consumption Model of SCHC Packet Fragmentation over Sigfox LPWAN" Sensors 22, no. 6: 2120. https://doi.org/10.3390/s22062120
APA StyleAguilar, S., Platis, A., Vidal, R., & Gomez, C. (2022). Energy Consumption Model of SCHC Packet Fragmentation over Sigfox LPWAN. Sensors, 22(6), 2120. https://doi.org/10.3390/s22062120

