A Novel Floating High-Voltage Level Shifter with Pre-Storage Technique
Abstract
:1. Introduction
- A novel level-shifting circuit structure with pre-storage technology is proposed to achieve low propagation delay. Then, the design approach and implementation of the proposed FHV-LS are presented.
- Based on the proposed FHV_LS, the propagation delay is analyzed in detail. Moreover, the factors affecting the propagation delay are revealed for an in-depth insight into the proposed FHV-LS.
- To further improve the performance of the proposed FHV-LS, the pull-up network with regulated strength technology and the pseudosymmetrical input structure are introduced to optimize the propagation delay and the deviation of the proposed FHV-LS, respectively. In addition, a start-up circuit applied to the register is developed to initialize the output state of FHV-LS during power-up. With the start-up circuit, the output of FHV-LS always follows the input correctly in any operating condition.
2. Review of Conventional FHV-LSs
- (1)
- Topology-I: DC-LS
- (2)
- Topology-II: CM-LS
- (3)
- Topology-III: CC-LS
3. Proposed FHV-LS
3.1. Design Approach of Proposed FHV-LS
3.2. Implementation of the Proposed FHV-LS
3.3. Propagation Delay Analysis
4. Improvements of Proposed FHV-LS
4.1. Improvement-I Reduction of Propagation Delay
4.2. Improvement-II Optimizing the Symmetry of Propagation Delay
4.3. Improvement-III Start-Up Circuit
5. Post-Layout Simulation
5.1. Supply Voltage Simulation
5.2. Process Corners Simulation
5.3. Temperature Simulation
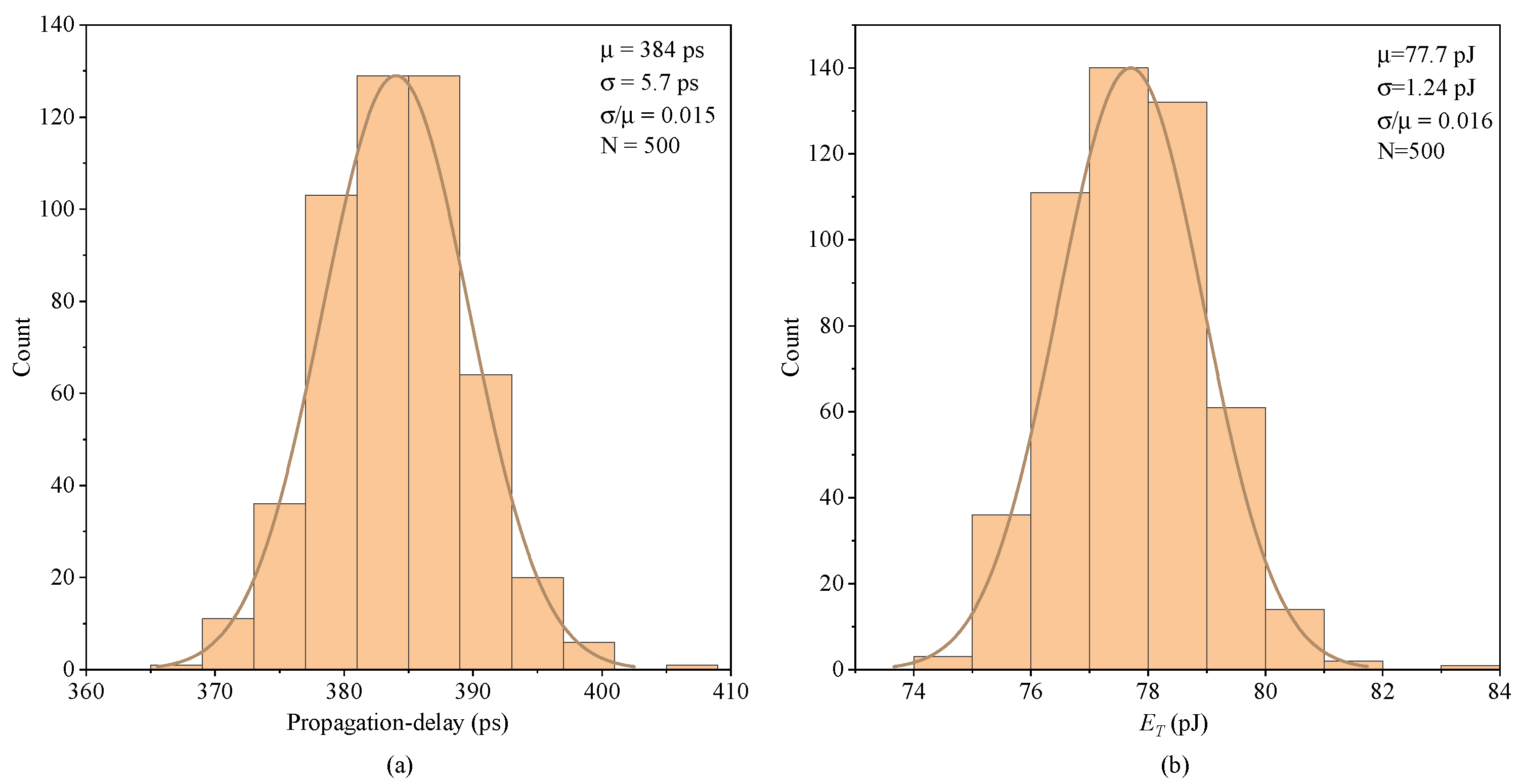
5.4. Monte Carlo Simulation
5.5. Discussion
6. Conclusions
Author Contributions
Funding
Institutional Review Board Statement
Informed Consent Statement
Data Availability Statement
Conflicts of Interest
References
- Riazmontazer, H.; Mazumder, S.K. Optically Switched-Drive-Based Unified Independent dv/dt and di/dt Control for Turn-Off Transition of Power MOSFETs. IEEE Trans. Power Electron. 2015, 30, 2338–2349. [Google Scholar] [CrossRef]
- Ling, Y.; Zhao, Z.; Zhu, Y. A Self-Regulating Gate Driver for High-Power IGBTs. IEEE Trans. Power Electron. 2021, 36, 3450–3461. [Google Scholar] [CrossRef]
- Chen, H.Y.; Kao, Y.Y.; Zhang, Z.Q.; Liao, C.H.; Yang, H.Y.; Hsu, M.S.; Chen, K.H.; Lin, Y.H.; Lin, S.R.; Tsai, T.Y. 33.1 A Fully Integrated GaN-on-Silicon Gate Driver and GaN Switch with Temperature-compensated Fast Turn-on Technique for Improving Reliability. In Proceedings of the 2021 IEEE International Solid-State Circuits Conference (ISSCC), San Francisco, CA, USA, 13–22 February 2021; pp. 460–462. [Google Scholar] [CrossRef]
- Camacho, A.P.; Sala, V.; Ghorbani, H.; Martinez, J.L.R. A Novel Active Gate Driver for Improving SiC MOSFET Switching Trajectory. IEEE Trans. Ind. Electron. 2017, 64, 9032–9042. [Google Scholar] [CrossRef]
- Yang, Y.; Wen, Y.; Gao, Y. A Novel Active Gate Driver for Improving Switching Performance of High-Power SiC MOSFET Modules. IEEE Trans. Power Electron. 2019, 34, 7775–7787. [Google Scholar] [CrossRef]
- Wen, Y.; Yang, Y.; Gao, Y. Active Gate Driver for Improving Current Sharing Performance of Paralleled High-Power SiC MOSFET Modules. IEEE Trans. Power Electron. 2021, 36, 1491–1505. [Google Scholar] [CrossRef]
- Sun, K.; Wang, J.; Burgos, R.; Boroyevich, D. Design, Analysis, and Discussion of Short Circuit and Overload Gate-Driver Dual-Protection Scheme for 1.2-kV, 400-A SiC MOSFET Modules. IEEE Trans. Power Electron. 2020, 35, 3054–3068. [Google Scholar] [CrossRef]
- Nevarez, J.; Olmedo, A.; Williams, R.; Pechnikova, P. Gate Driver Protection Methods for SiC MOSFET Short Circuit Testing. In Proceedings of the 2021 IEEE International Reliability Physics Symposium (IRPS), Monterey, CA, USA, 21–25 March 2021; pp. 1–4. [Google Scholar] [CrossRef]
- Seidel, A.; Wicht, B. Integrated Gate Drivers Based on High-Voltage Energy Storing for GaN Transistors. IEEE J. Solid-State Circuit 2018, 53, 3446–3454. [Google Scholar] [CrossRef]
- Zhang, W.J.; Yu, J.; Cui, W.T.; Leng, Y.; Liang, J.; Hsieh, Y.T.; Tsai, H.H.; Juang, Y.Z.; Yeh, W.K.; Ng, W.T. A Smart Gate Driver IC for GaN Power HEMTs with Dynamic Ringing Suppression. IEEE Trans. Power Electron. 2021, 36, 14119–14132. [Google Scholar] [CrossRef]
- Zhang, Z.; Dix, J.; Wang, F.; Blalock, B.J.; Costinett, D.; Tolbert, L.M. Intelligent Gate Drive for Fast Switching and Crosstalk Suppression of SiC Devices. IEEE Trans. Power Electron. 2017, 32, 9319–9332. [Google Scholar] [CrossRef]
- Rouger, N.; Barazi, Y.; Cousineau, M.; Richardeau, F. Modular Multilevel SOI-CMOS Active Gate Driver Architecture for SiC MOSFETs. In Proceedings of the 2020 32nd International Symposium on Power Semiconductor Devices and ICs (ISPSD), Vienna, Austria, 13–18 September 2020; pp. 278–281. [Google Scholar] [CrossRef]
- Kobayashi, K.; Yanagigawa, H.; Mori, K.; Yamanaka, S.; Fujiwara, A. High voltage SOI CMOS IC technology for driving plasma display panels. In Proceedings of the 10th International Symposium on Power Semiconductor Devices and ICs. ISPSD’98 (IEEE Cat. No.98CH36212), Kyoto, Japan, 3–6 June 1998; pp. 141–144. [Google Scholar] [CrossRef]
- Choi, B.D. Enhancement of current driving capability in data driver ICs for plasma display panels. IEEE Trans. Consum. Electron. 2009, 55, 992–997. [Google Scholar] [CrossRef]
- Li, Y.; Wen, C.; Yuan, B.; Wen, L.; Ye, Q. A high speed and power-efficient level shifter for high voltage buck converter drivers. In Proceedings of the 2010 10th IEEE International Conference on Solid-State and Integrated Circuit Technology, Shanghai, China, 1–4 November 2010; pp. 309–311. [Google Scholar] [CrossRef]
- Liu, Z.; Cong, L.; Lee, H. Design of On-Chip Gate Drivers with Power-Efficient High-Speed Level Shifting and Dynamic Timing Control for High-Voltage Synchronous Switching Power Converters. IEEE J. Solid-State Circuits 2015, 50, 1463–1477. [Google Scholar] [CrossRef]
- Moghe, Y.; Lehmann, T.; Piessens, T. Nanosecond Delay Floating High Voltage Level Shifters in a 0.35 μm HV-CMOS Technology. IEEE J. Solid-State Circuits 2011, 46, 485–497. [Google Scholar] [CrossRef]
- Ming, X.; Zhang, X.; Zhang, Z.W.; Feng, X.D.; Hu, L.; Wang, X.; Wu, G.; Zhang, B. A high-voltage half-bridge gate drive circuit for GaN devices with high-speed low-power and high-noise-immunity level shifter. In Proceedings of the 2018 IEEE 30th International Symposium on Power Semiconductor Devices and ICs (ISPSD), Chicago, IL, USA, 13–17 May 2018; pp. 355–358. [Google Scholar] [CrossRef]
- Buyle, J.; De Gezelle, V.; Bakeroot, B.; Doutreloigne, J. A new type of level-shifter for n-type high side switches used in high-voltage switching ADSL line-drivers. In Proceedings of the 2008 15th IEEE International Conference on Electronics, Circuits and Systems, Saint Julian’s, Malta, 31 August–3 September 2008; pp. 954–957. [Google Scholar] [CrossRef]
- Liu, D.; Hollis, S.J.; Dymond, H.C.P.; McNeill, N.; Stark, B.H. Design of 370-ps Delay Floating-Voltage Level Shifters With 30-V/ns Power Supply Slew Tolerance. IEEE Trans. Circuits Syst. II Exp. Briefs 2016, 63, 688–692. [Google Scholar] [CrossRef] [Green Version]
- Liu, D.; Hollis, S.J.; Stark, B.H. A New Design Technique for Sub-Nanosecond Delay and 200 V/ns Power Supply Slew-Tolerant Floating Voltage Level Shifters for GaN SMPS. IEEE Trans. Circuits Syst. I Reg. Pap. 2019, 66, 1280–1290. [Google Scholar] [CrossRef] [Green Version]
- Ma, H.; Namgoong, G.; Choi, E.; Bien, F. Instantaneous Power Consuming Level Shifter for Improving Power Conversion Efficiency of Buck Converter. IEEE Trans. Circuits Syst. II Exp. Briefs 2019, 66, 1207–1211. [Google Scholar] [CrossRef]
- Li, F.; Giannopoulos, D.; Wacyk, I. A low loss high-frequency half-bridge driver with integrated power devices using EZ-HV SOI technology. In Proceedings of the APEC. Seventeenth Annual IEEE Applied Power Electronics Conference and Exposition (Cat. No.02CH37335), Dallas, TX, USA, 10–14 March 2002; pp. 1127–1132. [Google Scholar] [CrossRef]
- Zhu, J.; Zhang, Y.; Sun, W.; Lu, Y.; Shi, L.; Gu, Y.; Zhang, S. Noise Immunity and its Temperature Characteristics Study of the Capacitive-Loaded Level Shift Circuit for High Voltage Gate Drive IC. IEEE Trans. Ind. Electron. 2018, 65, 3027–3034. [Google Scholar] [CrossRef]
- Yuan, B.; Ying, J.; Ng, W.T.; Lai, X.Q.; Zhang, L.F. A High-Voltage DC–DC Buck Converter With Dynamic Level Shifter for Bootstrapped High-Side Gate Driver and Diode Emulator. IEEE Trans. Power Electron. 2020, 35, 7295–7304. [Google Scholar] [CrossRef]
- Lutz, D.; Seidel, A.; Wicht, B. A 50V, 1.45ns, 4.1pJ High-Speed Low-Power Level Shifter for High-Voltage DCDC Converters. In Proceedings of the ESSCIRC 2018—IEEE 44th European Solid State Circuits Conference (ESSCIRC), Dresden, Germany, 3–6 September 2018; pp. 126–129. [Google Scholar] [CrossRef]
- Liu, Z.; Lee, H. A 100V gate driver with sub-nanosecond-delay capacitive-coupled level shifting and dynamic timing control for ZVS-based synchronous power converters. In Proceedings of the IEEE 2013 Custom Integrated Circuits Conference, San Jose, CA, USA, 22–25 September 2013; pp. 1–4. [Google Scholar] [CrossRef]
- Salimath, A.; Gonano, G.; Bonizzoni, E.; Brambilla, D.; Botti, E.; Maloberti, F. A high-speed level shifting technique and its application in high-voltage, synchronous DC-DC converters with quasi-ZVS. In Proceedings of the 2017 IEEE International Symposium on Circuits and Systems (ISCAS), Baltimore, MD, USA, 28–31 May 2017; pp. 1–4. [Google Scholar] [CrossRef]
- Abdelmoaty, A.; Al-Shyoukh, M.; Fayed, A. A high-voltage level shifter with sub-nano-second propagation delay for switching power converters. In Proceedings of the 2016 IEEE Applied Power Electronics Conference and Exposition (APEC), Long Beach, CA, USA, 20–24 March 2016; pp. 2437–2440. [Google Scholar] [CrossRef]
- Lanuzza, M.; Corsonello, P.; Perri, S. Low-Power Level Shifter for Multi-Supply Voltage Designs. IEEE Trans. Circuits Syst. II Exp. Briefs 2012, 59, 922–926. [Google Scholar] [CrossRef]
- Kabirpour, S.; Jalali, M. A Low-Power and High-Speed Voltage Level Shifter Based on a Regulated Cross-Coupled Pull-Up Network. IEEE Trans. Circuits Syst. II Exp. Briefs 2019, 66, 909–913. [Google Scholar] [CrossRef]
- Le, V.L.; Kim, T.T.H. An Area and Energy Efficient Ultra-Low Voltage Level Shifter With Pass Transistor and Reduced-Swing Output Buffer in 65-nm CMOS. IEEE Trans. Circuits Syst. II Exp. Briefs 2018, 65, 607–611. [Google Scholar] [CrossRef]
- Kabirpour, S.; Jalali, M. A Power-Delay and Area Efficient Voltage Level Shifter Based on a Reflected-Output Wilson Current Mirror Level Shifter. IEEE Trans. Circuits Syst. II Exp. Briefs 2020, 67, 250–254. [Google Scholar] [CrossRef]













| Devices | Pre-Reg | ||||||
|---|---|---|---|---|---|---|---|
| Read-Reg | |||||||
| W/L | 40/0.6 | 24/0.4 | 10/0.32 | 10/0.37 | N:60/0.32 | N:10/0.32 | N:10/0.32 |
| (m/m) | P:5/0.37 | P:10/0.37 | P:20/0.37 |
| Process | Voltage | Delay | Area | FoM | FoM* | |||
|---|---|---|---|---|---|---|---|---|
| m | V | ns | pJ | m | ||||
| [15] | 0.5 | 30 | 1.7 | NA | 6500 | 0.11 | NA | Measured |
| HVCMOS | ||||||||
| [16] | 0.5 | 40 | 1.7 | NA | NA | 0.09 | NA | Measured |
| HVCMOS | ||||||||
| [17] | 0.35 | 20 | 2.4 | 24 | NA | 0.34 | 67 | Measured |
| HVCMOS | ||||||||
| [20] | 0.18 | 20 | 0.37 | 7.2 | 4849 | 0.1 | 23 | Measured |
| HVCMOS | ||||||||
| [21] | 0.18 | 50 | 0.53 | 30.3 | 17595 | 0.06 | 54 | Measured |
| HVCMOS | ||||||||
| [25] | 0.3 | 23 | 1.34 | NA | NA | 0.19 | NA | Measured |
| HVCMOS | ||||||||
| [26] | 0.18 | 40 | 1.4 | 4.1 | 7350 | 0.19 | 20.4 | Measured |
| HVCMOS | ||||||||
| [28] | 0.18 | 50 | 0.5 | NA | NA | 0.06 | NA | Simulated |
| BCD | ||||||||
| This work | 0.32 | 20 | 0.38 | 77.7 | 36406 | 0.06 | 38 | Simulated |
| HVCMOS |
Publisher’s Note: MDPI stays neutral with regard to jurisdictional claims in published maps and institutional affiliations. |
© 2022 by the authors. Licensee MDPI, Basel, Switzerland. This article is an open access article distributed under the terms and conditions of the Creative Commons Attribution (CC BY) license (https://creativecommons.org/licenses/by/4.0/).
Share and Cite
Li, Q.; Yang, Y.; Ma, H.; Zhou, Y.; You, G.; Zhang, M.; Xiang, W. A Novel Floating High-Voltage Level Shifter with Pre-Storage Technique. Sensors 2022, 22, 1774. https://doi.org/10.3390/s22051774
Li Q, Yang Y, Ma H, Zhou Y, You G, Zhang M, Xiang W. A Novel Floating High-Voltage Level Shifter with Pre-Storage Technique. Sensors. 2022; 22(5):1774. https://doi.org/10.3390/s22051774
Chicago/Turabian StyleLi, Qiang, Yuan Yang, Haohao Ma, Yangle Zhou, Guolong You, Minmin Zhang, and Wei Xiang. 2022. "A Novel Floating High-Voltage Level Shifter with Pre-Storage Technique" Sensors 22, no. 5: 1774. https://doi.org/10.3390/s22051774
APA StyleLi, Q., Yang, Y., Ma, H., Zhou, Y., You, G., Zhang, M., & Xiang, W. (2022). A Novel Floating High-Voltage Level Shifter with Pre-Storage Technique. Sensors, 22(5), 1774. https://doi.org/10.3390/s22051774

