Impact Position Estimation for Baseball Batting with a Force-Irrelevant Vibration Feature
Abstract
:1. Introduction
2. Materials and Methods
2.1. Proposed Force-Irrelevant Features for Impact Position Estimation
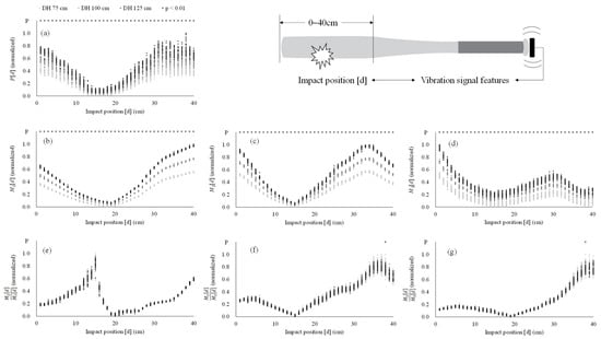
- Send to a bandpass filter (80 Hz–400 Hz) to get the primary bending mode signal .
- Get the peak magnitude in the primary bending mode by .
- Send to three bandpass filters (80 Hz–280 Hz, 400 Hz–600 Hz, 880 Hz–1080 Hz) to get the first three bending mode signals , where d is the impact position starting from grip, , and .
- Apply fast Fourier transform to and get the frequency-domain data .
- Process to get the peak magnitude in the three eigenfrequencies by .
2.2. Study Design
2.3. Vibration Sensor
2.4. Static Experiment
2.4.1. Data Collection
2.4.2. Experimental Apparatus
2.5. Dynamic Experiment
2.6. Vibration Signal Features
2.6.1. Peak Amplitude in Time Domain
2.6.2. Peaks at the Eigenfrequencies in Frequency Domain
2.6.3. Ratio of the Peaks at the Eigenfrequencies
2.7. Statistical Analysis
3. Results
4. Discussion
Author Contributions
Funding
Institutional Review Board Statement
Informed Consent Statement
Data Availability Statement
Conflicts of Interest
Abbreviations
| EFs | eigenfrequencies |
| ICC | intraclass correlation coefficients |
| PVDF | polyvinylidene difluoride |
| absolute largest peak in time domain | |
| peak at the first eigenfrequency | |
| peak at the second eigenfrequency | |
| peak at the third eigenfrequency | |
References
- Weyrich, A.S.; Messier, S.P.; Ruhmann, B.S.; Berry, M.J. Effects of bat composition, grip firmness, and impact location on postimpact ball velocity. Med. Sci. Sports Exerc. 1989, 21, 199–205. [Google Scholar] [CrossRef]
- Nathan, A.M. Characterizing the performance of baseball bats. Am. J. Phys. 2003, 71, 134–143. [Google Scholar] [CrossRef] [Green Version]
- Noble, L.; Walker, H. Baseball bat inertial and vibrational characteristics and discomfort following ball–bat impacts. J. Appl. Biomech. 1994, 10, 132–144. [Google Scholar] [CrossRef]
- Nathan, A.M. Dynamics of the baseball–bat collision. Am. J. Phys. 2000, 68, 979–990. [Google Scholar] [CrossRef]
- Cross, R. The sweet spot of a baseball bat. Am. J. Phys. 1998, 66, 772–779. [Google Scholar] [CrossRef]
- Brody, H. The sweet spot of a baseball bat. Am. J. Phys. 1986, 54, 640. [Google Scholar] [CrossRef]
- Cross, R. Center of percussion of hand-held implements. Am. J. Phys. 2004, 72, 622–630. [Google Scholar] [CrossRef]
- Bahill, A.T. Science of Baseball; Springer: Cham, Switzerland, 2018. [Google Scholar]
- Gray, R. How do batters use visual, auditory, and tactile information about the success of a baseball swing? Res. Q. Exerc. Sport 2009, 80, 491–501. [Google Scholar] [CrossRef]
- Yang, W.W.; Liu, Y.C.; Chen, W.H.; Tai, H.H.; Sato, K.; Ma, H.P.; Liu, C. Hitting weighted baseball enhances the experience of bat–ball contacts. Sports Biomech. 2021, in press. [Google Scholar] [CrossRef]
- Punchihewa, N.G.; Arakawa, H.; Chosa, E.; Yamako, G. A hand-worn inertial measurement unit for detection of bat–ball impact during baseball hitting. Sensors 2021, 21, 3002. [Google Scholar] [CrossRef]
- Punchihewa, N.G.; Miyazaki, S.; Chosa, E.; Yamako, G. Efficacy of inertial measurement units in the evaluation of trunk and hand kinematics in baseball hitting. Sensors 2020, 20, 7331. [Google Scholar] [CrossRef] [PubMed]
- Fallon, L.; Sherwood, J.; Donaruma, M. An assessment of sensing technologies to monitor the collision of a baseball and bat. In Proceedings of the 7th ISEA Conference, Biarritz, France, 2–6 June 2008. [Google Scholar]
- Osawa, T.; Tanaka, Y.; Yanai, T.; Sano, A. Position estimation of ball impact in baseball batting using PVDF films. In Proceedings of the 2017 IEEE World Haptics Conference (WHC), Munich, Germany, 6–9 June 2017. [Google Scholar]
- Escamilla, R.F.; Fleisig, G.S.; Groeschner, D.; Akizuki, K. Biomechanical comparisons among fastball, slider, curveball, and changeup pitch types and between balls and strikes in professional baseball pitchers. Am. J. Sports Med. 2017, 45, 3358–3367. [Google Scholar] [CrossRef]
- Alaways, L.W.; Mish, S.P.; Hubbard, M. Identification of release conditions and aerodynamic forces in pitched-baseball trajectories. J. Appl. Biomech. 2001, 17, 63–76. [Google Scholar] [CrossRef]
- Russell, D.A. Bending modes, damping, and the sensation of sting in baseball bats. In The Engineering of Sport 6; Springer: New York, NY, USA, 2006; pp. 11–16. [Google Scholar]
- Russel, D. Acoustics and vibration of baseball and softball bats. Acoust Today 2017, 13, 35–42. [Google Scholar]
- Adair, R.K. Comment on “The sweet spot of a baseball bat,” by Rod Cross [Am. J. Phys. 66 (9), 772–779 (1998)]. Am. J. Phys. 2001, 69, 229–230. [Google Scholar] [CrossRef]
- Brooks, R.; Mather, J.; Knowles, S. The influence of impact vibration modes and frequencies on cricket bat performance. Proc. Inst. Mech. Eng. Part L J. Mater. Des. Appl. 2006, 220, 237–248. [Google Scholar] [CrossRef]
- Sutton, A.D.; Sherwood, J.A. Using vibrational analysis to investigate the batted-ball performance of baseball bats. Procedia Eng. 2010, 2, 2687–2692. [Google Scholar] [CrossRef]
- Koo, T.K.; Li, M.Y. A guideline of selecting and reporting intraclass correlation coefficients for reliability research. J. Chiropr. Med. 2016, 15, 155–163. [Google Scholar] [CrossRef] [Green Version]
- Fleisig, G.S.; Barrentine, S.W.; Zheng, N.; Escamilla, R.F.; Andrews, J.R. Kinematic and kinetic comparison of baseball pitching among various levels of development. J. Biomech. 1999, 32, 1371–1375. [Google Scholar] [CrossRef]
- Szymanski, D.J.; DeRenne, C.; Spaniol, F.J. Contributing factors for increased bat swing velocity. J. Strength Cond. Res. 2009, 23, 1338–1352. [Google Scholar] [CrossRef]
- Bishop, C.M. Pattern Recognition and Machine Learning; Springer: New York, NY, USA, 2006. [Google Scholar]
- Chen, W.-H.; Lee, Y.-S.; Yang, C.-J.; Chang, S.-Y.; Shih, Y.; Sui, J.-D.; Chang, T.-S.; Shiang, T.-Y. Determining motions with an IMU during level walking and slope and stair walking. J. Sports Sci. 2020, 38, 62–69. [Google Scholar] [CrossRef] [PubMed]
- Crisco, J.J.; Greenwald, R.M.; Blume, J.D.; Penna, L.H. Batting performance of wood and metal baseball bats. Med. Sci. Sports Exerc. 2002, 34, 1675–1684. [Google Scholar] [CrossRef] [PubMed]
- Laughlin, W.A.; Fleisig, G.S.; Aune, K.T.; Diffendaffer, A.Z. The effects of baseball bat mass properties on swing mechanics, ground reaction forces, and swing timing. Sports Biomech. 2016, 15, 36–47. [Google Scholar] [CrossRef] [PubMed]





Publisher’s Note: MDPI stays neutral with regard to jurisdictional claims in published maps and institutional affiliations. |
© 2022 by the authors. Licensee MDPI, Basel, Switzerland. This article is an open access article distributed under the terms and conditions of the Creative Commons Attribution (CC BY) license (https://creativecommons.org/licenses/by/4.0/).
Share and Cite
Chen, W.-H.; Feng, Y.-C.; Yeh, M.-C.; Ma, H.-P.; Liu, C.; Wu, C.-W. Impact Position Estimation for Baseball Batting with a Force-Irrelevant Vibration Feature. Sensors 2022, 22, 1553. https://doi.org/10.3390/s22041553
Chen W-H, Feng Y-C, Yeh M-C, Ma H-P, Liu C, Wu C-W. Impact Position Estimation for Baseball Batting with a Force-Irrelevant Vibration Feature. Sensors. 2022; 22(4):1553. https://doi.org/10.3390/s22041553
Chicago/Turabian StyleChen, Wei-Han, Yang-Chih Feng, Ming-Chia Yeh, Hsi-Pin Ma, Chiang Liu, and Cheng-Wen Wu. 2022. "Impact Position Estimation for Baseball Batting with a Force-Irrelevant Vibration Feature" Sensors 22, no. 4: 1553. https://doi.org/10.3390/s22041553
APA StyleChen, W.-H., Feng, Y.-C., Yeh, M.-C., Ma, H.-P., Liu, C., & Wu, C.-W. (2022). Impact Position Estimation for Baseball Batting with a Force-Irrelevant Vibration Feature. Sensors, 22(4), 1553. https://doi.org/10.3390/s22041553

