A Context-Aware Smartphone-Based 3D Indoor Positioning Using Pedestrian Dead Reckoning
Abstract
1. Introduction
- PDR positioning is more adaptable when considering various phone-carrying modes, including texting, calling and swinging, as well as different pedestrian activities, including ascending and descending stairs and walking. This is because sensor data differ for different phone-carrying modes and pedestrian activities. The acceleration data also differ across walking speeds as walking can be classified as fast, medium and slow; thus, positioning accuracy is improved and adapted to changes in walking speed. This paper uses the DTree and SVM to identify various motion states and walking speeds. Using the proposed classification strategy, 15 combinations of five pedestrian activities and three phone-carrying modes are accurately distinguished.
- In addition to detecting different motion states and walking speeds, considering height and gender as effective parameters in estimating step length promotes distance estimation accuracy. By analyzing each motion state separately for women and men, PDR positioning is further adapted to diverse heights and genders, so the overall accuracy of positioning improves.
- After state detection, parameters of step counting and methods for step length estimation are separately adjusted for each pedestrian activity, phone-carrying mode, walking speed and gender to enhance the robustness and accuracy of PDR positioning.
2. Related Work
3. The Proposed Method
3.1. PDR
3.2. Components of the PDR Positioning System
3.2.1. Preprocessing
3.2.2. Classification of Different Motion States
3.2.3. Step Detection
3.2.4. Step Length Estimation
3.2.5. Heading Estimation
| Algorithm 1. GDA algorithm | |
| Input: acc → measured acceleration, ω → measured angular velocity, mag → measured magnetometer, → earth’s gravity, → magnetic field vectors | |
| Output: → updated quaternions | |
| 1. | |
| 2. | If ( | |||| - | < mag_ stability_thereshold ) then |
| 3. | stability = 1 |
| 4. | else then |
| 5. | stability = 0 |
| 6. | end if |
| 7. | F() = - acc |
| 8. | If (stability) then |
| 9. | F() = − |
| 10. | = |
| 11. | else then |
| 12. | ) |
| 13. | end if |
| 14. | |
| 15. | |
| 16. | = |
| 17. | Return |
3.3. Calculation of the Pedestrians’ Movement Height
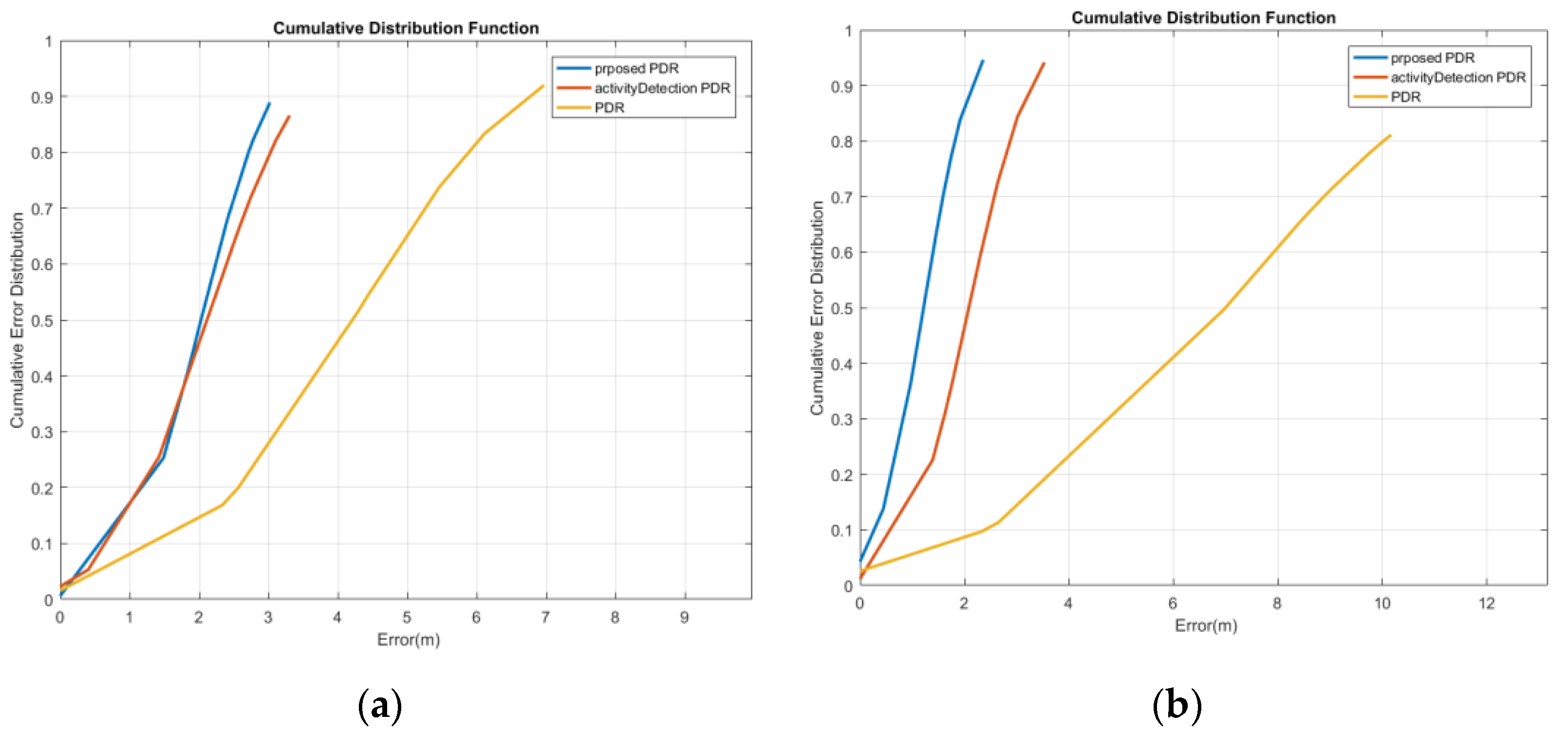
4. Positioning Experiments and Assessment
4.1. Texting Mode Positioning Experimentation
4.2. Calling Mode Positioning Experimentation
4.3. Swinging Mode Positioning Experimentation
5. Conclusions
Author Contributions
Funding
Institutional Review Board Statement
Informed Consent Statement
Data Availability Statement
Conflicts of Interest
References
- Wu, B.; Ma, C.; Poslad, S.; Selviah, D.R. An Adaptive Human Activity-Aided Hand-Held Smartphone-Based Pedestrian Dead Reckoning Positioning System. Remote Sens. 2021, 13, 2137. [Google Scholar] [CrossRef]
- Tuta, J.; Juric, M.B. A self-adaptive model-based Wi-Fi indoor localization method. Sensors 2016, 16, 2074. [Google Scholar] [CrossRef]
- Daníş, F.S.; Cemgíl, A.T.; Ersoy, C. Adaptive sequential Monte Carlo filter for indoor positioning and tracking with bluetooth low energy beacons. IEEE Access 2021, 9, 37022–37038. [Google Scholar] [CrossRef]
- Bencak, P.; Hercog, D.; Lerher, T. Indoor Positioning System Based on Bluetooth Low Energy Technology and a Nature-Inspired Optimization Algorithm. Electronics 2022, 11, 308. [Google Scholar] [CrossRef]
- Otim, T.; Bahillo, A.; Díez, L.E.; Lopez-Iturri, P.; Falcone, F. Towards sub-meter level UWB indoor localization using body wearable sensors. IEEE Access 2020, 8, 178886–178899. [Google Scholar] [CrossRef]
- Zhou, N.; Lau, L.; Bai, R.; Moore, T. Novel prior position determination approaches in particle filter for ultra wideband (UWB)-based indoor positioning. Navig. J. Inst. Navig. 2021, 68, 277–292. [Google Scholar] [CrossRef]
- Girard, G.; Côté, S.; Zlatanova, S.; Barette, Y.; St-Pierre, J.; Van Oosterom, P. Indoor pedestrian navigation using foot-mounted IMU and portable ultrasound range sensors. Sensors 2011, 11, 7606–7624. [Google Scholar] [CrossRef]
- Martín-Gorostiza, E.; García-Garrido, M.A.; Pizarro, D.; Torres, P.; Miguel, M.O.; Salido-Monzú, D. Infrared and camera fusion sensor for indoor positioning. In Proceedings of the 2019 International Conference on Indoor Positioning and Indoor Navigation (IPIN), Pisa, Italy, 30 September–3 October 2019; pp. 1–8. [Google Scholar]
- Cahyadi, W.A.; Chung, Y.H.; Adiono, T. Infrared indoor positioning using invisible Beacon. In Proceedings of the 2019 Eleventh International Conference on Ubiquitous and Future Networks (ICUFN), Zagreb, Croatia, 2–5 July 2019; pp. 341–345. [Google Scholar]
- Xu, L.; Xiong, Z.; Liu, J.; Wang, Z.; Ding, Y. A novel pedestrian dead reckoning algorithm for multi-mode recognition based on smartphones. Remote Sens. 2019, 11, 294. [Google Scholar] [CrossRef]
- Poulose, A.; Senouci, B.; Han, D.S. Performance analysis of sensor fusion techniques for heading estimation using smartphone sensors. IEEE Sens. J. 2019, 19, 12369–12380. [Google Scholar] [CrossRef]
- Lee, K.; Kwan, M.-P. Physical activity classification in free-living conditions using smartphone accelerometer data and exploration of predicted results. Comput. Environ. Urban Syst. 2018, 67, 124–131. [Google Scholar] [CrossRef]
- Khedr, M.E.; El-Sheimy, N. SBAUPT: Azimuth SBUPT for frequent full attitude correction of smartphone-based PDR. IEEE Sens. J. 2020, 22, 4853–4868. [Google Scholar] [CrossRef]
- Geng, J.; Xia, L.; Xia, J.; Li, Q.; Zhu, H.; Cai, Y. Smartphone-based pedestrian dead reckoning for 3D indoor positioning. Sensors 2021, 21, 8180. [Google Scholar] [CrossRef]
- Obeidat, H.; Shuaieb, W.; Obeidat, O.; Abd-Alhameed, R. A review of indoor localization techniques and wireless technologies. Wirel. Pers. Commun. 2021, 119, 289–327. [Google Scholar] [CrossRef]
- Klein, I.; Solaz, Y.; Ohayon, G. Pedestrian dead reckoning with smartphone mode recognition. IEEE Sens. J. 2018, 18, 7577–7584. [Google Scholar] [CrossRef]
- Wang, Q.; Luo, H.; Ye, L.; Men, A.; Zhao, F.; Huang, Y.; Ou, C. Personalized stride-length estimation based on active online learning. IEEE Internet Things J. 2020, 7, 4885–4897. [Google Scholar] [CrossRef]
- Gu, F.; Khoshelham, K.; Yu, C.; Shang, J. Accurate step length estimation for pedestrian dead reckoning localization using stacked autoencoders. IEEE Trans. Instrum. Meas. 2018, 68, 2705–2713. [Google Scholar] [CrossRef]
- Sheu, J.S.; Huang, G.S.; Jheng, W.C.; Hsiao, C.H. Design and implementation of a three-dimensional pedometer accumulating walking or jogging motions. In Proceedings of the 2014 International Symposium on Computer, Consumer and Control, Taichung, Taiwan, 10–12 June 2014; pp. 828–831. [Google Scholar]
- Jang, H.-J.; Kim, J.W.; Hwang, D.-H. Robust step detection method for pedestrian navigation systems. Electron. Lett. 2007, 43, 749–751. [Google Scholar] [CrossRef]
- Rai, A.; Chintalapudi, K.K.; Padmanabhan, V.N.; Sen, R. Zee: Zero-effort crowdsourcing for indoor localization. In Proceedings of the 18th Annual International Conference on Mobile Computing and Networking, Istanbul, Turkey, 22–26 August 2012; pp. 293–304. [Google Scholar]
- Hannink, J.; Kautz, T.; Pasluosta, C.F.; Barth, J.; Schülein, S.; Gaßmann, K.-G.; Klucken, J.; Eskofier, B.M. Mobile stride length estimation with deep convolutional neural networks. IEEE J. Biomed. Health Inform. 2017, 22, 354–362. [Google Scholar] [CrossRef] [PubMed]
- Wang, Q.; Ye, L.; Luo, H.; Men, A.; Zhao, F.; Huang, Y. Pedestrian stride-length estimation based on LSTM and denoising autoencoders. Sensors 2019, 19, 840. [Google Scholar] [CrossRef] [PubMed]
- Yao, Y.; Pan, L.; Fen, W.; Xu, X.; Liang, X.; Xu, X. A robust step detection and stride length estimation for pedestrian dead reckoning using a smartphone. IEEE Sens. J. 2020, 20, 9685–9697. [Google Scholar] [CrossRef]
- Ladetto, Q. On foot navigation: Continuous step calibration using both complementary recursive prediction and adaptive Kalman filtering. In Proceedings of the 13th International Technical Meeting of the Satellite Division of The Institute of Navigation (ION GPS 2000), Salt Lake City, UT, USA, 19–22 September 2000; pp. 1735–1740. [Google Scholar]
- Weinberg, H. Using the ADXL 202 in pedometer and personal navigation applications. Analog Devices AN-602 Appl. Note 2002, 2, 1–6. [Google Scholar]
- Kim, J.W.; Jang, H.J.; Hwang, D.-H.; Park, C. A step, stride and heading determination for the pedestrian navigation system. J. Glob. Position. Syst. 2004, 3, 273–279. [Google Scholar] [CrossRef]
- Huang, C.; Zhang, F.; Xu, Z.; Wei, J. Adaptive Pedestrian Stride Estimation for Localization: From Multi-Gait Perspective. Sensors 2022, 22, 2840. [Google Scholar] [CrossRef]
- Wu, D.; Xia, L.; Geng, J. Heading estimation for pedestrian dead reckoning based on robust adaptive Kalman filtering. Sensors 2018, 18, 1970. [Google Scholar] [CrossRef]
- Farahan, S.B.; Machado, J.J.; de Almeida, F.G.; Tavares, J.M.R. 9-DOF IMU-Based Attitude and Heading Estimation Using an Extended Kalman Filter with Bias Consideration. Sensors 2022, 22, 3416. [Google Scholar] [CrossRef] [PubMed]
- Chiella, A.C.; Teixeira, B.O.; Pereira, G.A. Quaternion-based robust attitude estimation using an adaptive unscented Kalman filter. Sensors 2019, 19, 2372. [Google Scholar] [CrossRef]
- Madgwick, S.O.; Harrison, A.J.; Vaidyanathan, R. Estimation of IMU and MARG orientation using a gradient descent algorithm. In Proceedings of the 2011 IEEE International Conference on Rehabilitation Robotics, Zurich, Switzerland, 29 June–1 July 2011; pp. 1–7. [Google Scholar]
- Wang, B.; Liu, X.; Yu, B.; Jia, R.; Gan, X. Pedestrian dead reckoning based on motion mode recognition using a smartphone. Sensors 2018, 18, 1811. [Google Scholar] [CrossRef] [PubMed]
- Gu, F.; Kealy, A.; Khoshelham, K.; Shang, J. User-independent motion state recognition using smartphone sensors. Sensors 2015, 15, 30636–30652. [Google Scholar] [CrossRef] [PubMed]
- Fan, L.; Wang, Z.; Wang, H. Human activity recognition model based on decision tree. In Proceedings of the 2013 International Conference on Advanced Cloud and Big Data, Nanjing, China, 13–15 December 2013; pp. 64–68. [Google Scholar]
- Han, L.; Gu, L.; Gong, C.; Wang, T.; Zhang, A. Motion mode recognition in multi-storey buildings based on the naive Bayes method. Int. J. Sens. Netw. 2022, 38, 166–176. [Google Scholar] [CrossRef]
- Xu, L.; Yang, W.; Cao, Y.; Li, Q. Human activity recognition based on random forests. In Proceedings of the 2017 13th International Conference on Natural Computation, Fuzzy Systems and Knowledge Discovery (ICNC-FSKD), Guilin, China, 29–31 July 2017; pp. 548–553. [Google Scholar]
- Ye, J.; Li, X.; Zhang, X.; Zhang, Q.; Chen, W. Deep learning-based human activity real-time recognition for pedestrian navigation. Sensors 2020, 20, 2574. [Google Scholar] [CrossRef]
- Xia, K.; Huang, J.; Wang, H. LSTM-CNN architecture for human activity recognition. IEEE Access 2020, 8, 56855–56866. [Google Scholar] [CrossRef]
- Wang, H.; Luo, H.; Zhao, F.; Qin, Y.; Zhao, Z.; Chen, Y. Detecting transportation modes with low-power-consumption sensors using recurrent neural network. In Proceedings of the 2018 IEEE SmartWorld, Ubiquitous Intelligence & Computing, Advanced & Trusted Computing, Scalable Computing & Communications, Cloud & Big Data Computing, Internet of People and Smart City Innovation (SmartWorld/SCALCOM/UIC/ATC/CBDCom/IOP/SCI), Guangzhou, China, 8–12 October 2018; pp. 1098–1105. [Google Scholar]
- Abdi, H.; Williams, L.J. Principal component analysis. Wiley Interdiscip. Rev. Comput. Stat. 2010, 2, 433–459. [Google Scholar] [CrossRef]
- Wang, Q.; Ye, L.; Luo, H.; Men, A.; Zhao, F.; Ou, C. Pedestrian walking distance estimation based on smartphone mode recognition. Remote Sens. 2019, 11, 1140. [Google Scholar] [CrossRef]
- Lu, W.; Wu, F.; Zhu, H.; Zhang, Y. A step length estimation model of coefficient self-determined based on peak-valley detection. J. Sens. 2020, 2020, 8818130. [Google Scholar] [CrossRef]
- Ren, M.; Guo, H.; Shi, J.; Meng, J. Indoor pedestrian navigation based on conditional random field algorithm. Micromachines 2017, 8, 320. [Google Scholar] [CrossRef]
- Park, S.; Lee, J.H.; Park, C.G. Robust Pedestrian Dead Reckoning for Multiple Poses in Smartphones. IEEE Access 2021, 9, 54498–54508. [Google Scholar] [CrossRef]
- Deng, Z.-A.; Hu, Y.; Yu, J.; Na, Z. Extended Kalman filter for real time indoor localization by fusing WiFi and smartphone inertial sensors. Micromachines 2015, 6, 523–543. [Google Scholar] [CrossRef]
- Ozyagcilar, T. Calibrating an Ecompass in the Presence of Hard and Soft-Iron Interference; Freescale Semiconductor Ltd.: Austin, TX, USA, 2012; pp. 1–17. [Google Scholar]
- Olivares, A.; Ruiz-Garcia, G.; Olivares, G.; Górriz, J.M.; Ramirez, J. Automatic determination of validity of input data used in ellipsoid fitting MARG calibration algorithms. Sensors 2013, 13, 11797–11817. [Google Scholar] [CrossRef]
- Fushiki, T. Estimation of prediction error by using K-fold cross-validation. Stat. Comput. 2011, 21, 137–146. [Google Scholar] [CrossRef]
- Rutkowski, L.; Jaworski, M.; Pietruczuk, L.; Duda, P. Decision trees for mining data streams based on the gaussian approximation. IEEE Trans. Knowl. Data Eng. 2013, 26, 108–119. [Google Scholar] [CrossRef]
- Cortes, C.; Vapnik, V. Support-vector networks. Mach. Learn. 1995, 20, 273–297. [Google Scholar] [CrossRef]
- Scholkopf, B.; Sung, K.-K.; Burges, C.J.; Girosi, F.; Niyogi, P.; Poggio, T.; Vapnik, V. Comparing support vector machines with Gaussian kernels to radial basis function classifiers. IEEE Trans. Signal Process. 1997, 45, 2758–2765. [Google Scholar] [CrossRef]
- Zhao, H.; Zhang, L.; Qiu, S.; Wang, Z.; Yang, N.; Xu, J. Pedestrian dead reckoning using pocket-worn smartphone. IEEE Access 2019, 7, 91063–91073. [Google Scholar] [CrossRef]
- Diebel, J. Representing attitude: Euler angles, unit quaternions, and rotation vectors. Matrix 2006, 58, 1–35. [Google Scholar]
- Ilkovičová, Ľ.; Kajánek, P.; Kopáčik, A. Pedestrian indoor positioning and tracking using smartphone sensors step detection and map matching algorithm. In Proceedings of the International Symposium on Engineering Geodesy, Varazdin, Croatia, 20–22 May 2016; pp. 1–24. [Google Scholar]
- Saadatzadeh, E.; Ali Abbaspour, R.; Chehreghan, A. An improvement in smartphone-based 3D indoor positioning using an effective map matching method. J. Ambient. Intell. Humaniz. Comput. 2022, 1–31. [Google Scholar] [CrossRef]


























| Gender | Mode | Downstairs | Upstairs | Fast Walking | Normal Walking | Slow Walking |
|---|---|---|---|---|---|---|
| Female | Texting | 572 | 332 | 259 | 223 | 759 |
| Calling | 534 | 303 | 156 | 334 | 651 | |
| Swinging | 561 | 297 | 185 | 303 | 643 | |
| Male | Texting | 513 | 352 | 238 | 299 | 537 |
| Calling | 522 | 320 | 121 | 149 | 565 | |
| Swinging | 498 | 303 | 198 | 207 | 514 |
| Gender | 1 | 2 | 3 | 4 | 5 | Average | STD |
|---|---|---|---|---|---|---|---|
| Female | 99.1% | 98.8% | 98.0% | 98.8% | 98.8% | 98.7% | 0.004 |
| Male | 99.70% | 99.50% | 99.70% | 99.50% | 100% | 99.7% | 0.002 |
| Average | 99.2% | 0.005 | |||||
| Genders | Female | Male | ||||
|---|---|---|---|---|---|---|
| Modes | Texting | Calling | Swinging | Texting | Calling | Swinging |
| Texting | 100% | 0% | 0% | 100.0% | 0% | 0% |
| Calling | 0% | 97.1% | 2.9% | 0% | 99.1% | 0.9% |
| Swinging | 0% | 0% | 100% | 0% | 0% | 100% |
| Mode | Gender | 1 | 2 | 3 | 4 | 5 | Average | STD |
|---|---|---|---|---|---|---|---|---|
| Texting | Female | 96.2% | 96.5% | 96.5% | 96.2% | 96.1% | 96.3% | 0.002 |
| Male | 92.7% | 93.5% | 93.7% | 93.7% | 94.6% | 93.7% | 0.006 | |
| Calling | Female | 94.6% | 94.8% | 95.0% | 95.2% | 95.3% | 95.0% | 0.003 |
| Male | 96.1% | 96.9% | 97.3% | 96.7% | 96.5% | 96.7% | 0.004 | |
| Swinging | Female | 94.9% | 94.8% | 94.5% | 94.5% | 95.2% | 94.8% | 0.003 |
| male | 96.4% | 96.8% | 96.5% | 96.7% | 96.7% | 96.6% | 0.002 | |
| Average | 95.5% | 0.011 | ||||||
| Gender | |||||||||||
|---|---|---|---|---|---|---|---|---|---|---|---|
| Modes | Female | Male | |||||||||
| Activities | DS | US | FW | NW | SW | DS | US | FW | NW | SW | |
| Texting | Downstairs | 97.9% | 0% | 1.6% | 0% | 0.5% | 99.5% | 0% | 0% | 0.5% | 0% |
| Upstairs | 0% | 99.1% | 0% | 0% | 0.9% | 0% | 100% | 0% | 0% | 0% | |
| Fast walking | 3.4% | 0% | 95.4% | 1.1% | 0% | 1.3% | 0% | 91.1% | 2.5% | 5.1% | |
| Normal walking | 0% | 0% | 2.7% | 88.8% | 8.5% | 0% | 0% | 1% | 93% | 6.0% | |
| Slow walking | 0% | 0% | 0% | 1.6% | 98.4% | 0% | 0% | 2.8% | 5.1% | 92.1% | |
| Calling | Downstairs | 98.1% | 0.5% | 1.4% | 0% | 0% | 98.2% | 0% | 0% | 0% | 1.8% |
| Upstairs | 0% | 99% | 0% | 1% | 0% | 0.9% | 99.1% | 0% | 0% | 0% | |
| Fast walking | 0% | 0% | 96.2% | 3.8% | 0% | 0% | 0% | 95% | 5% | 0% | |
| Normal walking | 0% | 0% | 0% | 92.8% | 7.2% | 0% | 0% | 2% | 89.8% | 8.2% | |
| Slow walking | 0% | 0% | 0% | 5.1% | 94.9% | 0% | 0% | 1.1% | 1.1% | 97.9% | |
| Swinging | Downstairs | 97.9% | 0% | 0% | 2.1% | 0% | 98% | 1.0% | 0% | 1.0% | 0% |
| Upstairs | 0% | 98.5% | 0% | 0% | 1.5% | 0.9% | 98.2% | 0% | 0% | 0.9% | |
| Fast walking | 0% | 0% | 95.2% | 4.8% | 0% | 0% | 0% | 100% | 0% | 0% | |
| Normal walking | 0% | 0% | 1% | 90.1% | 8.9% | 0% | 0% | 1.4% | 91.3% | 7.2% | |
| Slow walking | 0% | 0% | 0.9% | 4.7% | 94.4% | 0% | 0% | 1.2% | 2.3% | 96.5% | |
| Pedestrian Activity | Speed | Peak Threshold | Peak-Valley Threshold | Time Difference Threshold (s) |
|---|---|---|---|---|
| Slow | 11.2 | 1.5 | 0.5 | |
| Normal | 11.4 | 2 | 0.4 | |
| Fast | 11.6 | 2.5 | 0.3 | |
| Ascending and descending stairs | - | 11.75 | 2.5 | 0.2 |
| Mode | Gender | Subject | Steps Count | Steps Count Error (%) | Distance (m) | Absolute Distance Error (m) | Relative Distance Error (%) | |||||||
|---|---|---|---|---|---|---|---|---|---|---|---|---|---|---|
| Actual | M1* | M2* | M1* | M2* | Actual | M1* | M2* | M1* | M2* | M1* | M2* | |||
| Texting | Female | 1 | 102 | 99 | 99 | 3.3% | 3.4% | 56.2 | 55.8 | 60.6 | 0.4 | 4.4 | 0.8% | 7.8% |
| 2 | 100 | 99 | 99 | 1.4% | 1.4% | 56.2 | 55.7 | 60.3 | 0.5 | 4.1 | 1.0% | 7.3% | ||
| Male | 1 | 72 | 70 | 69 | 3.4% | 3.2% | 56.2 | 55.5 | 51.3 | 0.7 | 4.9 | 1.2% | 8.7% | |
| 2 | 80 | 78 | 85 | 2.5% | 5.3% | 56.2 | 54.7 | 56.6 | 1.5 | 0.4 | 2.6% | 0.6% | ||
| Average | 2.6% | 3.3% | 56.2 | 55.4 | 57.2 | 0.8 | 3.4 | 1.4% | 6.1% | |||||
| Calling | Female | 1 | 102 | 104 | 103 | 2.0% | 1.0% | 56.2 | 57.2 | 64.4 | 1.0 | 8.2 | 1.7% | 14.5% |
| 2 | 99 | 100 | 100 | 1.0% | 1.0% | 56.2 | 56.4 | 63.9 | 0.2 | 7.7 | 0.3% | 13.7% | ||
| Male | 1 | 71 | 72 | 72 | 1.6% | 1.6% | 56.2 | 54.6 | 52.1 | 1.6 | 4.1 | 2.9% | 7.4% | |
| 2 | 79 | 82 | 89 | 3.8% | 9.6% | 56.2 | 55.2 | 59.7 | 1.0 | 3.5 | 1.7% | 6.3% | ||
| Average | 2.1% | 3.3% | 56.2 | 55.8 | 60.0 | 0.9 | 5.9 | 1.7% | 10.5% | |||||
| Swinging | Female | 1 | 99 | 102 | 102 | 3.0% | 3.0% | 56.2 | 57.1 | 61.8 | 0.9 | 5.6 | 1.6% | 9.9% |
| 2 | 101 | 104 | 103 | 3.0% | 2.0% | 56.2 | 57.3 | 61.1 | 1.1 | 4.9 | 2.0% | 8.7% | ||
| Male | 1 | 69 | 69 | 72 | 0.4% | 3.2% | 56.2 | 55.7 | 52.1 | 0.5 | 4.1 | 0.9% | 7.4% | |
| 2 | 76 | 78 | 84 | 2.6% | 7.6% | 56.2 | 55.1 | 52.7 | 1.1 | 3.5 | 1.9% | 6.3% | ||
| Average | 2.2% | 3.9% | 56.2 | 56.3 | 56.9 | 0.9 | 4.5 | 1.6% | 8.1% | |||||
| Mode | Gender | Subject | Steps Count | Steps Count Error (%) | Distance (m) | Absolute Distance Error (m) | Relative Distance Error (%) | |||||||
|---|---|---|---|---|---|---|---|---|---|---|---|---|---|---|
| Actual | M1* | M2* | M1* | M2* | Actual | M1* | M2* | M1* | M2* | M1* | M2* | |||
| Texting | Female | 1 | 130 | 133 | 132 | 2.6% | 1.4% | 79.9 | 80.2 | 85.2 | 0.3 | 5.3 | 0.3% | 6.6% |
| 2 | 130 | 132 | 136 | 2.4% | 6.4% | 79.9 | 77.1 | 77.9 | 2.8 | 2.0 | 3.5% | 2.5% | ||
| Male | 1 | 124 | 124 | 123 | 0.1% | 1.0% | 79.9 | 78.2 | 82.1 | 1.7 | 2.2 | 2.1% | 2.8% | |
| 2 | 99 | 101 | 101 | 2.1% | 2.0% | 79.9 | 80.1 | 70.3 | 0.2 | 9.6 | 0.2% | 12% | ||
| Average | 1.8% | 2.7% | 79.9 | 78.9 | 78.9 | 1.2 | 4.8 | 1.5% | 6.0% | |||||
| Calling | Female | 1 | 129 | 132 | 131 | 3.0% | 2.0% | 79.9 | 78.8 | 89.4 | 1.1 | 9.5 | 1.4% | 12% |
| 2 | 139 | 137 | 137 | 1.7% | 1.7% | 79.9 | 79.1 | 89.8 | 0.8 | 9.9 | 1.0% | 12.4% | ||
| Male | 1 | 125 | 125 | 125 | 0% | 0% | 79.9 | 79.7 | 74.1 | 0.2 | 5.8 | 0.3% | 7.2% | |
| 2 | 103 | 104 | 102 | 1.0% | 0.9% | 79.9 | 79.8 | 73.1 | 0.1 | 6.8 | 0.2% | 8.6% | ||
| Average | 1.4% | 1.2% | 79.9 | 79.3 | 81.6 | 0.6 | 8.0 | 0.7% | 10% | |||||
| Swinging | Female | 1 | 140 | 143 | 143 | 2.9% | 2.8% | 79.9 | 81.3 | 87.8 | 1.4 | 7.9 | 1.7% | 9.9% |
| 2 | 129 | 130 | 137 | 1.0% | 8.0% | 79.9 | 81.8 | 86.8 | 1.9 | 6.9 | 2.4% | 8.6% | ||
| Male | 1 | 130 | 132 | 132 | 1.6% | 1.4% | 79.9 | 81.6 | 86.8 | 1.7 | 6.9 | 2.1% | 8.6% | |
| 2 | 100 | 101 | 102 | 1.1% | 2.0% | 79.9 | 79.5 | 71.1 | 0.4 | 8.8 | 0.5% | 11% | ||
| Average | 1.7% | 3.5% | 79.9 | 81.0 | 83.1 | 1.3 | 7.6 | 1.7% | 9.5% | |||||
| Mode | Path | Complex | |||||||||||
|---|---|---|---|---|---|---|---|---|---|---|---|---|---|
| Gender | Steps Count | Steps Count Error (%) | Distance (m) | Absolute Distance Error (m) | Relative Distance Error (%) | ||||||||
| Actual | M1* | M2* | M1* | M2* | Actual | M1* | M2* | M1* | M2* | M1* | M2* | ||
| Reading | Female | 216 | 214 | 222 | 0.9% | 2.8% | 105.2 | 104.6 | 140.6 | 0.6 | 35.4 | 0.6% | 33.6% |
| Male | 162 | 166 | 171 | 2.5% | 5.6% | 105.2 | 104.3 | 121.5 | 0.9 | 16.3 | 0.8% | 15.5% | |
| Average | 1.7% | 4.2% | 105.2 | 104.5 | 131.0 | 0.7 | 25.8 | 0.7% | 24.5% | ||||
| Calling | Female | 213 | 214 | 215 | 0.5% | 0.9% | 105.2 | 104.3 | 138.7 | 0.9 | 33.5 | 0.9% | 31.8% |
| Male | 160 | 163 | 163 | 1.9% | 1.9% | 105.2 | 103.2 | 124.2 | 2.0 | 19.0 | 1.9% | 18.1% | |
| Average | 1.2% | 1.4% | 105.2 | 103.7 | 131.5 | 1.5 | 26.3 | 1.4% | 25.0% | ||||
| Swinging’ | Female | 216 | 219 | 210 | 1.4% | 2.8% | 105.2 | 106.3 | 133.1 | 1.1 | 27.9 | 1.0% | 26.5% |
| Male | 180 | 178 | 173 | 1.1% | 3.9% | 105.2 | 104.0 | 127.4 | 1.2 | 22.2 | 1.2% | 21.1% | |
| Average | 1.3% | 3.3% | 105.2 | 105.1 | 130.2 | 1.1 | 25.0 | 1.1% | 23.8% | ||||
| Gender | Strategies | Subject | Distance Estimation | Final Positioning | CDF | |||||
|---|---|---|---|---|---|---|---|---|---|---|
| Absolute Error (m) | Relative Error (%) | Absolute Error (m) | Relative Error (%) | Mean | STD | 80% | 95% | |||
| Female | Proposed | 1 | 1.27 | 0.80 | 1.01 | 0.63 | 0.98 | 0.61 | 1.43 | 1.65 |
| 2 | 1.52 | 0.96 | 1.61 | 1.01 | 1.58 | 0.91 | 2.21 | 2.77 | ||
| Average | 1.40 | 0.88 | 1.31 | 0.82 | 1.28 | 0.76 | 1.82 | 2.21 | ||
| PDR+ activity Detection | 1 | 6.28 | 3.94 | 1.63 | 1.02 | 1.41 | 1.30 | 1.78 | 2.59 | |
| 2 | 9.53 | 5.99 | 2.15 | 1.35 | 3.63 | 2.12 | 5.05 | 6.71 | ||
| Average | 7.90 | 4.97 | 1.89 | 1.19 | 2.52 | 1.71 | 3.42 | 4.65 | ||
| PDR | 1 | 28.20 | 17.71 | 1.65 | 1.04 | 1.26 | 2.88 | 3.81 | 4.44 | |
| 2 | 39.88 | 25.05 | 3.20 | 2.01 | 4.77 | 2.76 | 6.56 | 8.51 | ||
| Average | 34.04 | 21.38 | 2.43 | 1.52 | 3.02 | 2.82 | 5.19 | 6.47 | ||
| Male | Proposed | 1 | 1.81 | 1.13 | 0.83 | 0.52 | 1.27 | 0.67 | 1.76 | 2.17 |
| 2 | 1.86 | 1.17 | 1.42 | 0.89 | 1.25 | 0.69 | 1.70 | 2.21 | ||
| Average | 1.83 | 1.15 | 1.13 | 0.71 | 1.26 | 0.68 | 1.73 | 2.19 | ||
| PDR+ activity Detection | 1 | 21.50 | 13.50 | 1.45 | 0.91 | 4.63 | 2.17 | 6.03 | 7.11 | |
| 2 | 4.36 | 2.74 | 4.03 | 2.53 | 2.03 | 1.06 | 2.68 | 3.46 | ||
| Average | 12.93 | 8.12 | 2.74 | 1.72 | 3.33 | 1.61 | 4.35 | 5.29 | ||
| PDR | 1 | 46.55 | 29.24 | 1.19 | 0.75 | 3.66 | 1.69 | 4.74 | 5.26 | |
| 2 | 20.38 | 12.80 | 1.30 | 0.81 | 4.48 | 2.50 | 6.00 | 7.67 | ||
| Average | 33.46 | 21.02 | 1.24 | 0.78 | 4.07 | 2.09 | 5.37 | 6.46 | ||
| Gender | Strategies | Subject | Distance Estimation | Final Positioning | CDF | |||||
|---|---|---|---|---|---|---|---|---|---|---|
| Absolute Error (m) | Relative Error (%) | Absolute Error (m) | Relative Error (%) | Mean | STD | 80% | 95% | |||
| Female | Proposed | 1 | 1.28 | 0.81 | 1.69 | 1.06 | 1.35 | 0.67 | 1.75 | 2.44 |
| 2 | 0.84 | 0.53 | 0.63 | 0.40 | 0.60 | 0.34 | 0.83 | 1.08 | ||
| Average | 1.06 | 0.67 | 1.16 | 0.73 | 0.98 | 0.51 | 1.29 | 1.76 | ||
| PDR+ activity Detection | 1 | 9.72 | 6.11 | 1.83 | 1.15 | 2.46 | 1.27 | 3.27 | 3.80 | |
| 2 | 3.67 | 2.30 | 1.14 | 0.71 | 1.10 | 0.62 | 1.49 | 1.92 | ||
| Average | 6.70 | 4.21 | 1.49 | 0.93 | 1.78 | 0.94 | 2.38 | 2.86 | ||
| PDR | 1 | 34.23 | 21.50 | 2.65 | 1.67 | 3.68 | 1.84 | 5.31 | 5.72 | |
| 2 | 17.66 | 11.09 | 2.92 | 1.83 | 3.35 | 1.68 | 4.43 | 5.73 | ||
| Average | 25.94 | 16.30 | 2.79 | 1.75 | 3.52 | 1.76 | 4.87 | 5.72 | ||
| Male | Proposed | 1 | 2.17 | 1.36 | 0.51 | 0.32 | 0.87 | 0.58 | 1.39 | 1.69 |
| 2 | 0.80 | 0.50 | 1.58 | 0.99 | 1.47 | 0.83 | 2.04 | 2.66 | ||
| Average | 1.48 | 0.93 | 1.04 | 0.66 | 1.17 | 0.70 | 1.72 | 2.18 | ||
| PDR+ activity Detection | 1 | 8.04 | 5.05 | 0.66 | 0.41 | 2.18 | 0.96 | 2.42 | 3.67 | |
| 2 | 5.04 | 3.17 | 4.17 | 2.62 | 2.80 | 1.28 | 3.52 | 4.52 | ||
| Average | 6.54 | 4.11 | 2.41 | 1.52 | 2.49 | 1.12 | 2.97 | 4.10 | ||
| PDR | 1 | 31.81 | 19.98 | 4.06 | 2.55 | 5.34 | 2.58 | 6.70 | 8.15 | |
| 2 | 9.09 | 5.71 | 2.47 | 1.55 | 3.11 | 2.03 | 4.40 | 5.91 | ||
| Average | 20.45 | 12.84 | 3.27 | 2.05 | 4.23 | 2.31 | 5.55 | 7.03 | ||
| Gender | Strategies | Subject | Distance Estimation | Final Positioning | CDF | |||||
|---|---|---|---|---|---|---|---|---|---|---|
| Absolute Error (m) | Relative Error (%) | Absolute Error (m) | Relative Error (%) | Mean | STD | 80% | 95% | |||
| Female | Proposed | 1 | 1.63 | 1.02 | 0.86 | 0.54 | 1.24 | 0.51 | 1.64 | 1.85 |
| 2 | 1.34 | 0.84 | 1.38 | 0.87 | 1.35 | 0.76 | 1.89 | 2.45 | ||
| Average | 1.48 | 0.93 | 1.12 | 0.70 | 1.29 | 0.64 | 1.76 | 2.15 | ||
| PDR+ activity Detection | 1 | 9.90 | 6.22 | 1.79 | 1.12 | 1.91 | 0.96 | 2.48 | 2.94 | |
| 2 | 8.45 | 5.31 | 3.47 | 2.18 | 2.39 | 1.54 | 3.30 | 4.35 | ||
| Average | 9.17 | 5.76 | 2.63 | 1.65 | 2.15 | 1.25 | 2.89 | 3.64 | ||
| PDR | 1 | 34.73 | 21.82 | 4.76 | 2.99 | 3.53 | 1.63 | 4.51 | 5.30 | |
| 2 | 20.64 | 12.96 | 3.25 | 2.04 | 4.09 | 2.31 | 5.27 | 6.76 | ||
| Average | 27.69 | 17.39 | 4.00 | 2.52 | 3.81 | 1.97 | 4.89 | 6.03 | ||
| Male | Proposed | 1 | 1.41 | 0.88 | 1.37 | 0.86 | 0.93 | 0.50 | 1.30 | 1.62 |
| 2 | 1.04 | 0.65 | 1.42 | 0.89 | 1.58 | 0.83 | 2.25 | 2.87 | ||
| Average | 1.22 | 0.77 | 1.40 | 0.88 | 1.25 | 0.66 | 1.77 | 2.24 | ||
| PDR+ activity Detection | 1 | 5.84 | 3.67 | 2.38 | 1.49 | 1.80 | 0.79 | 2.17 | 2.73 | |
| 2 | 5.99 | 3.76 | 3.29 | 2.07 | 3.24 | 1.95 | 4.47 | 5.90 | ||
| Average | 5.91 | 3.71 | 2.84 | 1.78 | 2.52 | 1.37 | 3.32 | 4.32 | ||
| PDR | 1 | 20.49 | 12.87 | 1.97 | 1.24 | 6.51 | 3.38 | 9.14 | 9.69 | |
| 2 | 17.51 | 11.00 | 6.00 | 3.77 | 5.22 | 3.67 | 7.66 | 9.41 | ||
| Average | 19.00 | 11.93 | 3.99 | 2.51 | 5.87 | 3.53 | 8.40 | 9.55 | ||
| Gu et al., 2018 [18] | Klein et al., 2018 [16] | Wang et al., 2020 [17] | Lu et al., 2020 [43] | Geng et al., 2021 [14] | Park et al., 2021 [45] | Wu et al., 2021 [1] | Saadatzadeh et al., 2022 [56] | Proposed | ||
|---|---|---|---|---|---|---|---|---|---|---|
| Key parameters | Gender | Yes | No | No | Yes | No | No | No | No | Yes |
| Height | ||||||||||
| Age | ||||||||||
| Walking speed | Yes | Yes | No | Yes | No | No | No | No | Yes | |
| Mode | Items | |||||||||
| Texting | Distance error (m) | --- | 0.38 | 1.91 | 1.74 | --- | --- | 2.68 | 1.68 | |
| Relative error (%) | --- | 1.8% | 1.31% | 1.74% | --- | --- | 1.81% | 1.05% | ||
| Error at Final Position (m) | --- | --- | --- | --- | 1.31 | 1.61 | 2.68 | 1.63 | 1.22 | |
| Relative position error (%) | --- | --- | --- | --- | 1.11% | 2.77% | 1.3% | 1.1% | 0.76% | |
| Calling | Items | |||||||||
| Distance error (m) | --- | 0.107 | --- | --- | --- | --- | --- | 3.82 | 1.27 | |
| Relative error (%) | --- | 0.5% | --- | --- | --- | --- | --- | 2.58% | 0.8% | |
| Error at Final Position (m) | --- | --- | --- | --- | --- | --- | --- | 1.13 | 1.1 | |
| Relative position error (%) | --- | --- | --- | --- | --- | --- | --- | 0.76% | 0.69% | |
| Swinging | Items | |||||||||
| Distance error (m) | 3.01 | 0.47 | --- | --- | --- | --- | --- | 8.39 | 1.35 | |
| Relative error (%) | 3.01% | 2.2% | --- | --- | --- | --- | --- | 5.65% | 0.85% | |
| Error at Final Position (m) | --- | --- | --- | --- | --- | 3.94 | --- | 1.68 | 1.26 | |
| Relative position error (%) | --- | --- | --- | --- | --- | 6.79% | --- | 1.13% | 0.79% | |
| Experiment’s Length (m) | 100 | 21.4 | 146 | 100 | 118 | 58 | 210 | 148.53 | 159.2 | |
Publisher’s Note: MDPI stays neutral with regard to jurisdictional claims in published maps and institutional affiliations. |
© 2022 by the authors. Licensee MDPI, Basel, Switzerland. This article is an open access article distributed under the terms and conditions of the Creative Commons Attribution (CC BY) license (https://creativecommons.org/licenses/by/4.0/).
Share and Cite
Khalili, B.; Ali Abbaspour, R.; Chehreghan, A.; Vesali, N. A Context-Aware Smartphone-Based 3D Indoor Positioning Using Pedestrian Dead Reckoning. Sensors 2022, 22, 9968. https://doi.org/10.3390/s22249968
Khalili B, Ali Abbaspour R, Chehreghan A, Vesali N. A Context-Aware Smartphone-Based 3D Indoor Positioning Using Pedestrian Dead Reckoning. Sensors. 2022; 22(24):9968. https://doi.org/10.3390/s22249968
Chicago/Turabian StyleKhalili, Boshra, Rahim Ali Abbaspour, Alireza Chehreghan, and Nahid Vesali. 2022. "A Context-Aware Smartphone-Based 3D Indoor Positioning Using Pedestrian Dead Reckoning" Sensors 22, no. 24: 9968. https://doi.org/10.3390/s22249968
APA StyleKhalili, B., Ali Abbaspour, R., Chehreghan, A., & Vesali, N. (2022). A Context-Aware Smartphone-Based 3D Indoor Positioning Using Pedestrian Dead Reckoning. Sensors, 22(24), 9968. https://doi.org/10.3390/s22249968

