Low Complexity Adaptive Detection of Short CPM Bursts for Internet of Things in 6G
Abstract
1. Introduction
1.1. Background and Motivation
1.2. Contribution
- The symbol detector is proposed on the basis of the trellis. To reduce the number of states and tackle a memory that linearly grows with time, a simplified trellis was constructed on the basis of the truncation of the memory.
- On the basis of the simplified trellis, the channel response is acquired by embedding the adaptive channel estimator, RLS or LMS algorithm, in the calculation of the trellis branch metric. The channel estimation is updated iteratively by using the recursiveness of the trellis, which can avoid matrix inversion when the LS estimator is used to calculate metrics and reduce complexity.
- In processing the trellis search, the BCJR algorithm was applied with per-survivor processing (PSP) in the forward direction, which could iteratively ensure the accuracy of channel estimation for each state.
- Lastly, a link-level simulation platform of the communication system was established to evaluate the performance of different symbol detectors.
1.3. Paper Outline
2. System Model
2.1. CPM Representation
2.2. Serially Concatenated CPM System in Fading Channels
3. Derivation of the SISO Symbol-by-Symbol Detector
3.1. Transition/Branch Metric
3.2. Derivation of SISO Symbol Detection
3.3. Computational Complexity Analysis
4. Simulation Results
4.1. Simulation Setup and Parameters
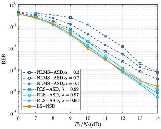
4.2. Uncoded CPM: Single Burst and Time-Invariant Channel
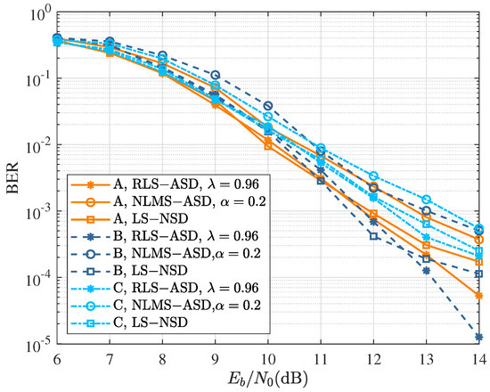
4.3. Coded CPM: Multiple Burst and Time-Variant Channel
5. Conclusions
Author Contributions
Funding
Institutional Review Board Statement
Informed Consent Statement
Data Availability Statement
Conflicts of Interest
Abbreviations
| SISO | Soft input–soft output | 
| PSP | Per-survivor processing | 
| CPM | Continuous-phase modulation | 
| PA | Power amplifiers | 
| HMM | Hidden Markov model | 
| FAFB-SISO | Forward backward adaptive SISO | 
| FA-SISO | Forward adaptive SISO | 
| RS-A-SISO | Reduced state A-SISO | 
| LLR | Log-likelihood ratio | 
| CPE | Continuous phase encoder | 
| MM | Memoryless modulator | 
| AWGN | Additive white Gaussian noise | 
| CSI | Channel state information | 
| LS-NSD | Least-squares noncoherent symbol detector | 
| RLS-ASD | Recursive least-squares adaptive symbol detector | 
| LMS-ASD | Least-mean-squares adaptive symbol detector | 
| IRS | Intelligent reflective surfaces | 
Appendix A. Complexity
References
- You, X.; Wang, C.X.; Huang, J.; Gao, X.; Zhang, Z.; Wang, M.; Huang, Y.; Zhang, C.; Jiang, Y.; Wang, J.; et al. Towards 6G wireless communication networks: Vision, enabling technologies, and new paradigm shifts. Sci. China Inf. Sci. 2021, 64, 64. [Google Scholar] [CrossRef]
- Jiang, H.; Mukherjee, M.; Zhou, J.; Lloret, J. Channel modeling and characteristics analysis for 6G wireless communications. IEEE Netw. 2021, 35, 296–303. [Google Scholar] [CrossRef]
- Nguyen, D.C.; Ding, M.; Pathirana, P.N.; Seneviratne, A.; Li, J.; Niyato, D.; Dobre, O.; Poor, H.V. 6G Internet of Things: A Comprehensive Survey. IEEE Internet Things J. 2022, 9, 359–383. [Google Scholar] [CrossRef]
- Jiang, H.; Zhang, Z.; Xiong, B.; Dang, J.; Wu, L.; Zhou, J. A 3D Stochastic Channel Model for 6G Wireless Double-IRS Cooperatively Assisted MIMO Communications. In Proceedings of the 2021 13th International Conference on Wireless Communications and Signal Processing (WCSP), Changsha, China, 20–22 October 2021. [Google Scholar]
- Ahmed, M.; Khan, W.U.; Ihsan, A.; Li, X.; Li, J.; Tsiftsis, A.T. Backscatter Sensors Communication for 6G Low-Powered NOMA-Enabled IoT Networks Under Imperfect SIC. IEEE Syst. J. 2022. [Google Scholar] [CrossRef]
- Jameel, F.; Khan, W.U.; Shah, S.T.; Ristaniemi, T. Towards Intelligent IoT Networks: Reinforcement Learning for Reliable Backscatter Communications. In Proceedings of the 2019 IEEE Globecom Workshops (GC Wkshps), Waikoloa, HI, USA, 9–13 December 2019. [Google Scholar]
- Khan, W.U.; Liu, J.; Jameel, F.; Khan, M.T.R.; Ahmed, S.H.; Jäntti, R. Secure Backscatter Communications in Multi-Cell NOMA Networks: Enabling Link Security for Massive IoT Networks. In Proceedings of the IEEE INFOCOM 2020—IEEE Conference on Computer Communications Workshops (INFOCOM WKSHPS), Toronto, ON, Canada, 6–9 July 2020. [Google Scholar]
- Khan, W.U.; Ihsan, A.; Nguyen, T.N.; Ali, Z.; Javed, M.A. NOMA-Enabled Backscatter Communications for Green Transportation in Automotive-Industry 5.0. IEEE Trans. Ind. Inform. 2022, 18, 7862–7874. [Google Scholar] [CrossRef]
- Chamaa, M.E.; Lankl, B. Noncoherent Symbol Detection of Short CPM Bursts in Frequency-Selective Fading Channels. IEEE Trans. Wirel. Commun. 2020, 19, 771–782. [Google Scholar] [CrossRef]
- Darsena, D.; Gelli, G.; Iudice, I.; Verde, F. Equalization Techniques of Control and Non-Payload Communication Links for Unmanned Aerial Vehicles. IEEE Access. 2018, 6, 4485–4496. [Google Scholar] [CrossRef]
- Chayot, R.; Thomas, N.; Poulliat, C.; Boucheret, M.L.; Lesthievent, G.; Van Wambeke, N. A New Exact Low-Complexity MMSE Equalizer for Continuous Phase Modulation. IEEE Commun. Lett. 2018, 22, 2218–2221. [Google Scholar] [CrossRef]
- Aulin, T.; Sundberg, C. Continuous Phase Modulation—Part I: Full Response Signaling. IEEE Trans. Commun. 1981, 29, 196–209. [Google Scholar] [CrossRef]
- Moqvist, P.; Aulin, T.M. Serially concatenated continuous phase modulation with iterative decoding. IEEE Trans. Commun. 2001, 49, 1901–1915. [Google Scholar] [CrossRef]
- Ho, P.; Kim, J.H. Pilot symbol-assisted detection of CPM schemes operating in fast fading channels. IEEE Trans. Commun. 1996, 44, 337–347. [Google Scholar] [CrossRef]
- Brown, C.; Vigneron, P.J. Signal recovery for CPM in frequency flat fast fading channels. In Proceedings of the 2012 IEEE Military Communications Conference, Orlando, FL, USA, 29 October–1 November 2012. [Google Scholar]
- Chamaa, M.E.; Lankl, B. Turbo-Estimation for CPM Over Frequency-Selective Fast Fading Channel. IEEE Trans. Commun. 2020, 68, 2538–2550. [Google Scholar] [CrossRef]
- Tan, J.; Stuber, G.L. Frequency-domain equalization for continuous phase modulation. IEEE Trans. Wirel. Commun. 2005, 4, 2479–2490. [Google Scholar] [CrossRef]
- Pancaldi, F.; Vitetta, G.M. Equalization algorithms in the frequency domain for continuous phase modulations. IEEE Trans. Commun. 2006, 54, 648–658. [Google Scholar] [CrossRef]
- Ozgul, B.; Koca, M.; Delic, H. Double Turbo Equalization of Continuous Phase Modulation with Frequency Domain Processing. IEEE Trans. Commun. 2009, 57, 423–429. [Google Scholar] [CrossRef]
- Thillo, W.V.; Horlin, F.; Ramon, V.; Bourdoux, A.; Lauwereins, R. Novel block constructions using an intrafix for CPM with frequency domain equalization. IEEE Trans. Wirel. Commun. 2010, 9, 951–955. [Google Scholar] [CrossRef]
- Han, R.; Jia, N.; Guo, Z.; Huang, J.; Xiao, D.; Guo, S. Prefiltered Single-Carrier Frequency-Domain Equalization for Binary CPM over Shallow Water Acoustic Channel. Sensors 2022, 22, 3821. [Google Scholar] [CrossRef] [PubMed]
- Neugebauer, S.P.; Ding, Z. Blind SIMO channel estimation for CPM using the Laurent approximation. In Proceedings of the 2004 IEEE International Symposium on Circuits and Systems (ISCAS), Vancouver, BC, Canada, 23–26 May 2004. [Google Scholar]
- Kammeyer, K.D.; Kuhn, V.; Petermann, T. Blind and nonblind turbo estimation for fast fading GSM channels. IEEE J. Sel. Areas Commun. 2001, 19, 1718–1728. [Google Scholar] [CrossRef]
- Anton-Haro, C.; Fonollosa, J.A.R.; Fonollosa, J.R. Blind Channel Estimation and Data Detection Using Hidden Markov Models. IEEE Trans. Signal. Process. 1997, 45, 241–247. [Google Scholar] [CrossRef]
- Cirpan, A.H.; Tsatsanis, M.K. Blind Receivers for Nonlinearly Modulated Signals in Multipath. IEEE Trans. Signal. Process. 1999, 47, 583–586. [Google Scholar] [CrossRef]
- Nguyen, H.; Levy, B.C. Blind and Semi-Blind Equalization of CPM SignalsWith the EMV Algorithm. IEEE Trans. Signal. Process. 2003, 51, 2650–2664. [Google Scholar] [CrossRef]
- Pan, Z.; Xie, C.; Wang, H.; Wei, Y.; Guo, D. Blind Turbo Equalization of Short CPM Bursts for UAV-Aided Internet of Things. Sensors 2022, 22, 6508. [Google Scholar] [CrossRef] [PubMed]
- Raheli, R.; Polydoros, A.; Tzou, C.-K. Per-Survivor Processing: A general approach to MLSE in uncertain environments. IEEE Trans. Commun. 1995, 43, 354–364. [Google Scholar] [CrossRef]
- Anastasopoulos, A.; Mu, C.K. Adaptive soft-input soft-output algorithms for iterative detection with parametric uncertainty. IEEE Trans. Commun. 2000, 48, 1638–1649. [Google Scholar] [CrossRef]
- Hansson, A.; Chugg, K.M.; Aulin, T. On forward-adaptive versus forward/backward-adaptive SISO algorithms for Rayleigh fading channels. IEEE Commun. Lett. 2001, 5, 477–479. [Google Scholar] [CrossRef]
- Chung, K.; Chugg, K.M.; Heo, J. Reduced state adaptive SISO algorithms for serially concatenated CPM over frequency-selective fading channels. In Proceedings of the IEEE Global Telecommunications Conference (GLOBECOM), San Antonio, TX, USA, 25–29 November 2001. [Google Scholar]
- Robertson, P.; Villebrun, E.; Hoeher, P. A comparison of optimal and sub-optimal MAP decoding algorithms operating in the log domain. In Proceedings of the Proceedings IEEE International Conference on Communications ICC ’95, Seattle, WA, USA, 18–22 June 1995. [Google Scholar]
- Sayed, A.H.; Kailath, T. A state-space approach to adaptive RLS filtering. IEEE Signal. Proc. Mag. 1994, 11, 18–60. [Google Scholar] [CrossRef]
- Khan, W.U.; Lagunas, E.; Ali, Z.; Javed, M.A.; Ahmed, M.; Chatzinotas, S.; Ottersten, B.; Popovski, P. Opportunities for Physical Layer Security in UAV Communication Enhanced with Intelligent Reflective Surfaces. arXiv 2022, arXiv:2203.16907. [Google Scholar]
- Xiong, B.; Zhang, Z.; Jiang, H.; Zhang, J.; Wu, L.; Dang, J. A 3D non-stationary MIMO channel model for reconfigurable intelligent surface auxiliary UAV-to-ground mmWave communications. IEEE Trans. Wirel. Commun. 2022, 21, 5658–5672. [Google Scholar] [CrossRef]
- Wu, Q.; Guan, X.; Zhang, R. Intelligent Reflecting Surface-Aided Wireless Energy and Information Transmission: An Overview. Proc. IEEE 2022, 110, 150–170. [Google Scholar] [CrossRef]








| Detector Type | FLOP at nth Transition Interval | 
|---|---|
| LS-NSD | |
| RLS-ASD | |
| LMS-ASD | |
| NLMS-ASD | 
| Parameters | Value | Remarks | 
|---|---|---|
| Frequency pulse | Raised-cosine pulse | |
| Modulation order (M) | 4 | - | 
| Modulation index (h) | 1/2 | |
| Mapping | Gray | - | 
| Training bits | 4,6,8 | ML estimation | 
| Coderate | 1/2 | Convolutional code | 
| Samples/Symbol | 2 | |
| Multipath channel | Four-tap Rayleigh fading channels | Equal power | 
| Scheme | Outer Code | Interleaver Length | Iterations | 
|---|---|---|---|
| A | 4831 | 3 | |
| B | 4831 | 3 | |
| C | 27,221 | 3 | 
| Publisher’s Note: MDPI stays neutral with regard to jurisdictional claims in published maps and institutional affiliations. | 
© 2022 by the authors. Licensee MDPI, Basel, Switzerland. This article is an open access article distributed under the terms and conditions of the Creative Commons Attribution (CC BY) license (https://creativecommons.org/licenses/by/4.0/).
Share and Cite
Pan, Z.; Wang, H.; Zhang, B.; Guo, D. Low Complexity Adaptive Detection of Short CPM Bursts for Internet of Things in 6G. Sensors 2022, 22, 8316. https://doi.org/10.3390/s22218316
Pan Z, Wang H, Zhang B, Guo D. Low Complexity Adaptive Detection of Short CPM Bursts for Internet of Things in 6G. Sensors. 2022; 22(21):8316. https://doi.org/10.3390/s22218316
Chicago/Turabian StylePan, Zihao, Heng Wang, Bangning Zhang, and Daoxing Guo. 2022. "Low Complexity Adaptive Detection of Short CPM Bursts for Internet of Things in 6G" Sensors 22, no. 21: 8316. https://doi.org/10.3390/s22218316
APA StylePan, Z., Wang, H., Zhang, B., & Guo, D. (2022). Low Complexity Adaptive Detection of Short CPM Bursts for Internet of Things in 6G. Sensors, 22(21), 8316. https://doi.org/10.3390/s22218316
 
        


 
       