Copper(II) Oxide Nanoparticles Embedded within a PEDOT Matrix for Hydrogen Peroxide Electrochemical Sensing †
Abstract
1. Introduction
2. Materials and Methods
2.1. Chemicals
2.2. Synthesis of the Copper-Based Material
2.3. Preparation of the CuONP-Based Electrochemical Sensor
- (A)
- Drop casting technique: Ethanol 98% solutions containing selected CuO nanoparticle concentrations of 1, 3, and 5 mg/mL were prepared. The freshly prepared solutions were sonicated for 30 min. Then, a known volume of 4 µL of CuO-containing solution was dropped onto the electrode surface. The electrode was left to dry in the laboratory for 4 h. The obtained sensor was denoted as GCE/CuONPs;
- (B)
- Sinusoidal voltage deposition of the PEDOT coating onto naked GCE followed by deposition of CuO nanoparticles using the drop casting technique. The obtained sensor was denoted as GCE/PEDOT-CuONPs;
- (C)
- Drop casting of CuO nanoparticles onto naked GCE and electrodeposition of the PEDOT coating over the modified electrode surface using the sinusoidal voltage procedure. The obtained sensor was denoted as GCE/CuONPs/PEDOT.
2.4. Apparatus and Measurements
2.5. Analytical Protocols
3. Results
3.1. PhysicoChemical Characterization of the CuONP Material
3.1.1. FTIR and UV–Vis Spectroscopy
3.1.2. XRD Analysis
3.1.3. Microstructural Characterization
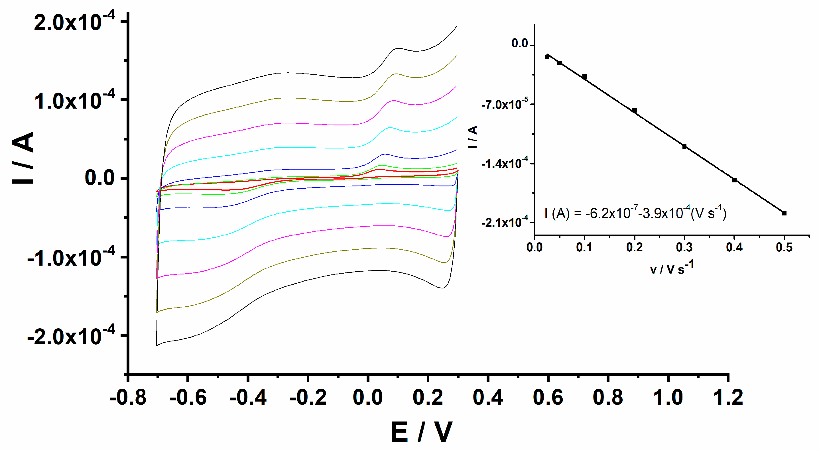
3.2. Electrochemical Characterization of CuONP-Based Sensors
3.3. Analytical Applications of CuONP-Based Sensors
4. Conclusions
Author Contributions
Funding
Institutional Review Board Statement
Informed Consent Statement
Data Availability Statement
Acknowledgments
Conflicts of Interest
References
- Liu, J.; Jin, J.; Deng, Z.; Huang, S.-Z.; Hu, Z.-Y.; Wang, L.; Wang, C.; Chen, L.-H.; Li, Y.; Van Tendeloo, G.; et al. Tailoring CuO nanostructures for enhanced photocatalytic property. J. Colloid Interface Sci. 2012, 384, 1–9. [Google Scholar] [CrossRef] [PubMed]
- Wei, B.; Yang, N.; Pang, F.; Ge, J. Cu2O−CuO hollow nanospheres as a heterogeneous catalyst for synergetic oxidation of CO. J. Phys. Chem. C 2018, 122, 19524–19531. [Google Scholar] [CrossRef]
- Akimoto, K.; Ishizuka, S.; Yanagita, M.; Nawa, Y.; Paul, G.K.; Sakurai, T. Thin film deposition of Cu2O and application for solar cells. Sol. Energy 2006, 80, 715–722. [Google Scholar] [CrossRef]
- Ameri, B.; Davarani, S.S.H.; Roshani, R.; Moazami, H.R.; Tadjarodi, A. A flexible mechanochemical route for the synthesis of copper oxide nanorods/nanoparticles/nanowires for supercapacitor applications: The effect of morphology on the charge storage ability. J. Alloys Compd. 2017, 695, 114–123. [Google Scholar] [CrossRef]
- Prasad, K.P.; Dhawale, D.S.; Joseph, S.; Anand, C.; Wahab, M.A.; Mano, A.; Sathish, C.; Balasubramanian, V.V.; Sivakumar, T.; Vinu, A. Post-synthetic functionalization of mesoporous carbon electrodes with copper oxide nanoparticles for supercapacitor application. Microporous Mesoporous Mater. 2013, 172, 77–86. [Google Scholar] [CrossRef]
- Song, M.-K.; Park, S.; Alamgir, F.M.; Cho, J.; Liu, M. Nanostructured electrodes for lithium-ion and lithium-air batteries: The latest developments, challenges, and perspectives. Mater. Sci. Eng. R Rep. 2011, 72, 203–252. [Google Scholar] [CrossRef]
- Wang, S.B.; Hsiao, C.H.; Chan, S.J.; Lam, K.T.; Wen, K.H.; Hung, S.C.; Young, S.J.; Huang, B.R. A CuO nanowire infrared photodetector. Sens. Actuator A Phys. 2011, 171, 207–211. [Google Scholar] [CrossRef]
- Dizaj, S.M.; Lotfipour, F.; Barzegar-Jalali, M.; Zarrintan, M.H.; Adibkia, K. Antimicrobial activity of the metals and metal oxide nanoparticles. Mater. Sci. Eng. C 2014, 44, 278–284. [Google Scholar] [CrossRef]
- Dehno Khalaji, A.; Soleymanifard, M.; Jarosova, M.; Machek, P. Synthesis, characterization, and antibacterial activity of copper(ii) oxide nanoparticles prepared by thermal decomposition. J. Surf. Investig. X-Ray Synchrotron Neutron Tech. 2020, 14, 961–964. [Google Scholar] [CrossRef]
- Wang, Y.; Yang, F.; Zhang, H.; Zi, X.; Pan, X.; Chen, F.; Luo, W.; Li, J.; Zhu, H.; Hu, Y. Cuprous oxide nanoparticles inhibit the growth and metastasis of melanoma by targeting mitochondria. Cell Death Dis. 2013, 4, e783. [Google Scholar] [CrossRef]
- Yang, Q.; Wang, Y.; Yang, Q.; Gao, Y.; Duan, X.; Fu, Q.; Chu, C.; Pan, X.; Cui, X.; Sun, Y. Cuprous oxide nanoparticles trigger ER stress-induced apoptosis by regulating copper trafficking and overcoming resistance to sunitinib therapy in renal cancer. Biomaterials 2017, 146, 72–85. [Google Scholar] [CrossRef] [PubMed]
- Mamleyev, E.R.; Weidler, P.G.; Nefedov, A.; Szabó, D.V.; Islam, M.; Mager, D.; Korvink, J.G. Nano- and microstructured copper/copper oxide composites on laser-induced carbon for enzyme-free glucose sensors. ACS Appl. Nano Mater. 2021, 4, 13747–13760. [Google Scholar] [CrossRef]
- Zhong, Y.; Shi, T.; Liu, Z.; Cheng, S.; Huang, Y.; Tao, X.; Liao, G.; Tang, Z. Ultrasensitive non-enzymatic glucose sensors based on different copper oxide nanostructures by in-situ growth. Sens. Actuators B Chem. 2016, 236, 326–333. [Google Scholar] [CrossRef]
- Ahmad, R.; Vaseem, M.; Tripathy, N.; Hahn, Y.-B. Wide linear-range detecting nonenzymatic glucose biosensor based on CuO nanoparticles inkjet-printed on electrodes. Anal. Chem. 2013, 85, 10448–10454. [Google Scholar] [CrossRef]
- Reddy, S.; Kumara Swamy, B.E.; Jayadevapp, H. CuO nanoparticle sensor for the electrochemical determination of dopamine. Electrochim. Acta 2012, 61, 78–86. [Google Scholar] [CrossRef]
- Krishnamoorthy, K.; Sudha, V.; Kumar, S.M.S.; Thangamuthu, R. Simultaneous determination of dopamine and uric acid using copper oxide nano-rice modified electrode. J. Alloys Compd. 2018, 748, 338–347. [Google Scholar] [CrossRef]
- Ibarlucea, B.; Perez Roig, A.; Belyaev, D.; Baraban, L.; Cuniberti, G. CuO-Doped alginate for simple electrochemical vitamin C sensing in sweat. Eng. Proc. 2021, 6, 16. [Google Scholar]
- Buledi, J.A.; Ameen, S.; Khand, N.H.; Solangi, A.R.; Taqvi, I.H.; Agheem, M.H.; Wajdan, Z. CuO Nanostructures based electrochemical sensor for simultaneous determination of hydroquinone and ascorbic acid. Electroanalysis 2020, 32, 1600–1607. [Google Scholar] [CrossRef]
- Xuan, Z.; Wu, Y.; Liu, H.; Li, L.; Ye, J.; Wang, S. Copper Oxide Nanoparticle-Based Immunosensor for Zearalenone Analysis by Combining Automated Sample Pre-Processing and High-Throughput Terminal Detection. Sensors 2022, 21, 6538. [Google Scholar] [CrossRef] [PubMed]
- Sridara, T.; Upan, J.; Saianand, G.; Tuantranont, A.; Karuwan, C.; Jakmunee, J. Non-Enzymatic Amperometric Glucose Sensor Based on Carbon Nanodots and Copper Oxide Nanocomposites Electrode. Sensors 2020, 20, 808. [Google Scholar] [CrossRef]
- Neupane, M.P.; Kim, Y.K.; Park, I.S.; Kim, K.A.; Lee, M.H.; Ba, T.S. Temperature driven morphological changes of hydrothermally prepared copper oxide nanoparticles. Surf. Interface Anal. 2009, 41, 259–263. [Google Scholar] [CrossRef]
- Dar, M.A.; Ahsanulhaq, Q.; Kim, Y.S.; Sohn, J.M.; Kim, W.B.; Shin, H.S. Versatile synthesis of rectangular shaped nanobat-like CuO nanostructures by hydrothermal method; structural properties and growth mechanism. Appl. Surf. Sci. 2009, 255, 6279–6284. [Google Scholar] [CrossRef]
- Outokesh, M.; Hosseinpour, M.; Ahmadi, S.J.; Mousavand, T.; Sadjadi, S.; Soltanian, W. Hydrothermal synthesis of CuO nanoparticles: Study on effects of operational conditions on yield, purity, and size of the nanoparticles. Ind. Eng. Chem. Res. 2011, 50, 3540–3554. [Google Scholar] [CrossRef]
- Li, J.-Y.; Xiong, S.; Pan, J.; Qian, Y. Hydrothermal synthesis and electrochemical properties of urchin-like core−shell copper oxide nanostructures. J. Phys. Chem. C 2010, 114, 9645–9650. [Google Scholar] [CrossRef]
- Gao, P.; Liu, D. Hydrothermal preparation of nest-like CuO nanostructures for non-enzymatic amperometric detection of hydrogen peroxide. RSC Adv. 2015, 5, 24625–24634. [Google Scholar] [CrossRef]
- Wang, S.-Z.; Zheng, M.; Zhang, X.; Zhuo, M.-P.; Zhou, Q.-Q.; Zheng, M.; Yu, J.; Wang, H.Z.-S.; Liao, L.-S. Fine synthesis of hierarchical CuO/Cu(OH)2 urchin-like nanoparticles for efficient removal of Cr(VI). J. Alloys Compd. 2021, 884, 161052. [Google Scholar] [CrossRef]
- Verma, R.; Khan, A.B.; Imran, M.; Khan, K.; Amar, A.K.; Sah, S.; Jaiswal, K.K.; Singh, R.K. Microwave-assisted biosynthesis of CuO nanoparticles using Atalantia monophylla L. leaf extract and its biomedical applications. Chem. Eng. Technol. 2021, 44, 1496–1503. [Google Scholar] [CrossRef]
- Weng, S.; Zheng, Y.; Zhao, C.; Zhou, J.; Lin, L.; Zheng, Z.; Lin, X. CuO nanoleaf electrode: Facile preparation and nonenzymatic sensor applications. Microchim. Acta 2013, 180, 371–378. [Google Scholar] [CrossRef]
- Liu, A.; Zhu, H.; Noh, Y.-Y. Polyol Reduction: A low-temperature eco-friendly solution process for p-channel copper oxide-based transistors and inverter circuits. ACS Appl. Mater. Interfaces 2019, 11, 33157–33164. [Google Scholar] [CrossRef]
- Ohiienkoa, O.; Oh, Y.-J. New approach for more uniform size of Cu and Cu-CuO (core-shell) nanoparticles by double-salt reduction. Mater. Chem. Phys. 2018, 218, 296–303. [Google Scholar] [CrossRef]
- Cao, A.-M.; Monnell, J.D.; Matranga, C.; Wu, J.-M.; Cao, L.-I.; Gao, D. Hierarchical nanostructured copper oxide and its application in arsenic removal. J. Phys. Chem. C 2007, 111, 18624–18628. [Google Scholar] [CrossRef]
- Zhao, Y.; Zhu, J.-J.; Hong, J.-M.; Bian, N.; Chen, H.-Y. Microwave-induced polyol-process synthesis of copper and copper oxide nanocrystals with controllable morphology. Eur. J. Inorg. Chem. 2004, 4072–4080. [Google Scholar] [CrossRef]
- Huang, J.; Zhu, Y.; Yang, X.; Chen, W.; Zhou, Y.; Li, C. ;Flexible 3D porous CuO nanowire arrays for enzymeless glucose sensing: In situ engineered versus ex situ piled. Nanoscale 2015, 7, 559–569. [Google Scholar] [CrossRef] [PubMed]
- Zhang, Q.; Zhang, K.; Xu, D.; Yang, G.; Huang, H.; Nie, F.; Liu, C.; Yang, S. CuO nanostructures: Synthesis, characterization, growth mechanisms, fundamental properties, and applications. Prog. Mater. Sci. 2014, 60, 208–337. [Google Scholar] [CrossRef]
- Dong, H.; Chen, Y.-C.; Feldmann, C. Polyol synthesis of nanoparticles: Status and options regarding metals, oxides, chalcogenides, and non-metal elements. Green Chem. 2015, 17, 4107–4132. [Google Scholar] [CrossRef]
- Visinescu, D.; Scurtu, M.; Negrea, R.; Birjega, R.; Culita, D.C.; Chifiriuc, M.C.; Draghici, C.; Moreno, J.C.; Musuc, A.M.; Balint, I.; et al. Additive-free 1,4-butanediol mediated synthesis: A suitable route to obtain nanostructured, mesoporous spherical zinc oxide materials with multifunctional properties. RSC Adv. 2015, 5, 99976–99989. [Google Scholar] [CrossRef]
- Teichert, J.; Doert, T.; Ruck, M. Mechanisms of the polyol reduction of copper(II) salts depending on the anion type and diol chain length. Dalton Trans. 2018, 47, 14085–14093. [Google Scholar] [CrossRef]
- Kasatkin, A.; Urakov, A. Effect of hydrogen peroxide on erythrocyte temperature in vitro. Chem. Biol. Interactions 2022, 354, 109837. [Google Scholar] [CrossRef]
- Mahaseth, T.; Kuzminov, A. Potentiation of hydrogen peroxide toxicity. Mutual Res. 2017, 773, 274–281. [Google Scholar]
- Zhao, Q.; Li, N.; Liao, C.; Tian, L.; An, J.; Wang, X. The UV/H2O2 process based on H2O2 in-situ generation for water disinfection. J. Hazard. Mater. Lett. 2021, 2, 100020. [Google Scholar] [CrossRef]
- Trujillo, R.M.; Barraza, D.E.; Zamora, M.L.; Cattani-Scholz, A.; Madrid, R.E. Nanostructures in Hydrogen Peroxide Sensing. Sensors 2021, 21, 2204. [Google Scholar] [CrossRef] [PubMed]
- Song, H.; Ma, C.; You, L.; Cheng, Z.; Zhang, X.; Yin, B.; Ni, Y.; Zhang, K. Electrochemical hydrogen peroxide sensor based on a glassy carbon electrode modified with nanosheets of copper-doped copper(II) oxide. Microchim. Acta 2015, 182, 1543–1549. [Google Scholar] [CrossRef]
- Nguyen, D.M.; Bich, H.N.; Hai Anh, P.D.; Ai-Le, P.H.; Bui, Q.B. Vertical copper oxide nanowire arrays attached three-dimensional macroporous framework as a self-supported sensor for sensitive hydrogen peroxide detection. Arab. J. Chem. 2020, 13, 3934–3945. [Google Scholar] [CrossRef]
- Othmani, A.; Kouki, Z.; Kouass, S.; Touati, F.; Dhaouadi, H. A highly sensitive hydrazine and hydrogen peroxide non-enzymatic sensor based on CuO nanoplatelets. J. Mater. Sci. Mater. Electron. 2021, 32, 3566–3576. [Google Scholar] [CrossRef]
- Haghparas, Z.; Kordrostami, Z.; Sorouri, M.; Rajabzadeh, M.; Khalifeh, R. Nafion-coated copper oxide porous hollow structures modifed glassy carbon electrode for non-enzymatic detection of H2O2. J. Appl. Electrochem. 2021, 51, 1071–1081. [Google Scholar] [CrossRef]
- Chakrabortya, P.; Dhara, S.; Debnath, K.; Mondal, S.P. Glucose and hydrogen peroxide dual-mode electrochemical sensing using hydrothermally grown CuO nanorods. J. Electroanal. Chem. 2019, 833, 213–220. [Google Scholar] [CrossRef]
- Yuan, R.; Li, H.; Yin, X.; Zhang, L.; Lu, J. Stable controlled growth of 3D CuO/Cu nanoflowers by surfactant-free method for non-enzymatic hydrogen peroxide detection. J. Mater. Sci. Technol. 2018, 34, 1692–1698. [Google Scholar] [CrossRef]
- Hsua, Y.-K.; Chen, Y.-C.; Lin, Y.-G. Spontaneous formation of CuO nanosheets on Cu foil for H2O2 detection. Appl. Surf. Sci. 2015, 354, 85–89. [Google Scholar] [CrossRef]
- Lete, C.; Marin, M.; Anghel, E.M.; Preda, L.; Matei, C.; Lupu, S. Sinusoidal voltage electrodeposition of PEDOT-Prussian blue nanoparticles composite and its application to amperometric sensing of H2O2 in human blood. Mater. Sci. Eng. C 2019, 102, 661–669. [Google Scholar] [CrossRef]
- Karabozhikova, V.; Tsakova, V.; Lete, C.; Marin, M.; Lupu, S. Poly(3,4-ethylenedioxythiophene)-modified electrodes for tryptophan voltammetric sensing. J. Electroanal. Chem. 2019, 848, 113309. [Google Scholar] [CrossRef]
- Bottari, D.; Pigani, L.; Zanardi, C.; Terzi, F.; Paţurcă, S.V.; Grigorescu, S.D.; Matei, C.; Lete, C.; Lupu, S. Electrochemical sensing of caffeic acid using gold nanoparticles embedded in poly(3,4-ethylenedioxythiophene) layer by sinusoidal voltage. Chemosensors 2019, 7, 65. [Google Scholar] [CrossRef]
- Lefez, B.; Souchet, R.; Kartouni, K.; Lenglet, M. Infrared reflection study of CuO in thin oxide films. Thin Solid Film 1995, 268, 45–48. [Google Scholar] [CrossRef]
- Tauc, J.; Grigorovici, R.; Vancu, A. Optical properties and electronic structure of amorphous germanium. Phys. Status Solidi B 1966, 15, 627–637. [Google Scholar] [CrossRef]
- Visinescu, D.; Hussien, M.D.; Calderon-Moreno, J.; Negrea, R.; Birjega, R.; Somacescu, S.; Ene, C.D.; Chifiriuc, M.C.; Popa, M.; Stan, M.S.; et al. Zinc oxide spherical-shaped nanostructures: Investigation of surface reactivity and interactions with microbial and mammalian cells. Langmuir 2018, 34, 13638–13651. [Google Scholar] [CrossRef]
- Bard, A.J.; Faulkner, L.R. Electrochemical Methods. Fundamentals and Applications, 2nd ed.; John Wiley & Sons: Hoboken, NJ, USA, 2001; p. 249. [Google Scholar]
- Laviron, E. General expression of the linear potential sweep voltammogram in the case of diffusionless electrochemical systems. J. Electroanal. Chem. 1979, 101, 19–28. [Google Scholar] [CrossRef]
- Yin, H.; Shi, Y.H.; Dong, Y.P.; Chu, X.F. Synthesis of spinel-type CuGa2O4 nanoparticles as a sensitive non-enzymatic electrochemical sensor for hydrogen peroxide and glucose detection. J. Electroanal. Chem. 2021, 885, 115100–115108. [Google Scholar] [CrossRef]
- Dumore, N.S.; Mukhopadhyay, M. Sensitivity enhanced SeNPs-FTO electrochemical sensor for hydrogen peroxide detection. J. Electroanal. Chem. 2020, 878, 114544–114594. [Google Scholar] [CrossRef]
- Aparicio-Martínez, E.; Ibarra, A.; Estrada-Moreno, I.A.; Osuna, V.; Dominguez, R.B. Flexible electrochemical sensor based on laser scribed Graphene/Ag nanoparticles for non-enzymatic hydrogen peroxide detection. Sensors Actuators B Chem. 2019, 301, 127101–127109. [Google Scholar] [CrossRef]
- Lian, W.; Wang, L.; Song, Y.; Yuan, H.; Zhao, S.; Li, P.; Chen, L. A hydrogen peroxide sensor based on electrochemically roughened silver electrodes. Electrochim. Acta 2009, 54, 4334–4339. [Google Scholar] [CrossRef]
- Maicaneanu, A.; Varodi, C.; Bedelean, H.; Gligor, D. Physical-chemical and electrochemical characterization of Fe-exchanged natural zeolite applied for obtaining of hydrogen peroxide amperometric sensors. Geochemistry 2014, 74, 653–660. [Google Scholar] [CrossRef]
- Li, X.; He, G.; Han, Y.; Xue, Q.; Wu, X.; Yang, S. Magnetic titania-silica composite-Polypyrrole core-shell spheres and their high sensitivity toward hydrogen peroxide as electrochemical sensor. J. Colloid Interface Sci. 2012, 387, 39–46. [Google Scholar] [CrossRef] [PubMed]
- Cosnier, S.; Li, J.; Xin, W.; Dai, Y.; Shu, G.; Marks, R.; Shan, D.; Cosnier, S.; Li, J.; Xin, W.; et al. Postmodulation of the Metal—Organic Framework Precursor toward the Vacancy-Rich Cux O Transducer for Sensitivity Boost: Synthesis, Catalysis and H2O 2 Sensing. Anal. Chem. 2021, 93, 11066–11071. [Google Scholar]
- Huo, D.; Li, D.; Xu, S.; Tang, Y.; Xie, X.; Li, D.; Song, F.; Zhang, Y.; Li, A.; Sun, L. Disposable, stainless-steel wire-based electrochemical microsensor for in vivo continuous monitoring of hydrogen peroxide in vein of tomato leaf. Biosensors 2022, 12, 35. [Google Scholar] [CrossRef] [PubMed]
- Gutierrez, F.A.; Giordana, I.S.; Fuertes, V.C.; Montemerlo, A.E.; Sieben, J.M.; Alvarez, A.E.; Rubianes, M.D.; Rivas, G.A. Analytical applications of Cu@PtPd/C nanoparticles for the quantification of hydrogen peroxide. Microchem. J. 2018, 141, 240–246. [Google Scholar] [CrossRef]
- Yuan, B.; Sun, P.; Fernandez, C.; Wang, H.; Guan, P.; Xu, H.; Niu, Y. Molecular fluorinated cobalt phthalocyanine immobilized on ordered mesoporous carbon as an electrochemical sensing platform for sensitive detection of hydrogen peroxide and hydrazine in alkaline medium. J. Electroanal. Chem. 2022, 906, 116019–116029. [Google Scholar] [CrossRef]
- Liu, T.; Zhang, X.; Fu, K.; Zhou, N.; Xiong, J.; Su, Z. Fabrication of Co3O4/NiCo2O4 nanocomposite for detection of H2O2 and dopamine. Biosensors 2021, 11, 452. [Google Scholar] [CrossRef]













| Electrode Materials | Linear Range (µM) | Detection Limit (µM) | Working Potential (V) | References |
|---|---|---|---|---|
| PEDOT-CuO | 40–10,000 | 8.5 | −0.4 | This work |
| a CuGa2O4 | 5–200 | 5 | −0.45 | [57] |
| b SeNPs-FTO | 100–20,000 | 79.3 | −0.9 | [58] |
| c LSG-Ag | 100–10,000 | 7.9 | −0.5 | [59] |
| Ag electrode | 10–22.5 × 103 | 6 | −0.3 | [60] |
| d Fe/CV-CPE | 20–1100 | 20 | −0.15 | [61] |
| e FTS-PPy-42.1% | 10–4000 | 5 | −0.73 | [62] |
| f CuO nanosheet/Cu foil | 10–20,000 | 10 | −0.25 | [48] |
| g NC@CuxO amorphous CuxO with oxygen vacancies | 0–500 | 6.7 | −0.41 | [63] |
| h Nest-like CuO nanostructures | 2500–300,000 | 440 | −0.2 | [25] |
| i Hierarchical CuO nanoflowers | 5–14,070 | 120 | −0.4 | [47] |
| j SS/AuNPs | 10–1000 | 3.97 | −0.6 | [64] |
| k Cu@Pt-Pd/C | 5–250 | 0.37 | −0.10 | [65] |
| l CoPCF16 | 4.4–1760 | 0.03 | −0.23 | [66] |
| m Co3O4/NiCo2O4 | 50–41,700 | 0.2578 | 0.3 | [67] |
Publisher’s Note: MDPI stays neutral with regard to jurisdictional claims in published maps and institutional affiliations. |
© 2022 by the authors. Licensee MDPI, Basel, Switzerland. This article is an open access article distributed under the terms and conditions of the Creative Commons Attribution (CC BY) license (https://creativecommons.org/licenses/by/4.0/).
Share and Cite
Lete, C.; Spinciu, A.-M.; Alexandru, M.-G.; Calderon Moreno, J.; Leau, S.-A.; Marin, M.; Visinescu, D. Copper(II) Oxide Nanoparticles Embedded within a PEDOT Matrix for Hydrogen Peroxide Electrochemical Sensing. Sensors 2022, 22, 8252. https://doi.org/10.3390/s22218252
Lete C, Spinciu A-M, Alexandru M-G, Calderon Moreno J, Leau S-A, Marin M, Visinescu D. Copper(II) Oxide Nanoparticles Embedded within a PEDOT Matrix for Hydrogen Peroxide Electrochemical Sensing. Sensors. 2022; 22(21):8252. https://doi.org/10.3390/s22218252
Chicago/Turabian StyleLete, Cecilia, Adela-Maria Spinciu, Maria-Gabriela Alexandru, Jose Calderon Moreno, Sorina-Alexandra Leau, Mariana Marin, and Diana Visinescu. 2022. "Copper(II) Oxide Nanoparticles Embedded within a PEDOT Matrix for Hydrogen Peroxide Electrochemical Sensing" Sensors 22, no. 21: 8252. https://doi.org/10.3390/s22218252
APA StyleLete, C., Spinciu, A.-M., Alexandru, M.-G., Calderon Moreno, J., Leau, S.-A., Marin, M., & Visinescu, D. (2022). Copper(II) Oxide Nanoparticles Embedded within a PEDOT Matrix for Hydrogen Peroxide Electrochemical Sensing. Sensors, 22(21), 8252. https://doi.org/10.3390/s22218252

