The Associations between Evacuation Movements and Children’s Physiological Demands Analyzed via Wearable-Based Sensors
Abstract
1. Introduction
1.1. Evacuation Postures
1.2. Physiological Demands
1.3. Aims and Contributions
- Does age/gender have an effect on children’s evacuation velocity?
- How are children’s physiological demands affected by different postures?
- What is the impact of age/gender on children’s physiological demands?
2. Materials and Methods
2.1. Experimental Setting and Equipment
2.2. Participants
2.3. Physiological Measurements
2.4. Experimental Procedure
2.5. Data Analysis
3. Results
3.1. Evacuation Velocities of Children in Different Postures
3.1.1. Velocity
3.1.2. Age
3.1.3. Gender
3.2. The Significance of Influence of Evacuation Postures on Physiological Indicators
3.2.1. Electrodermal Activity, EDA
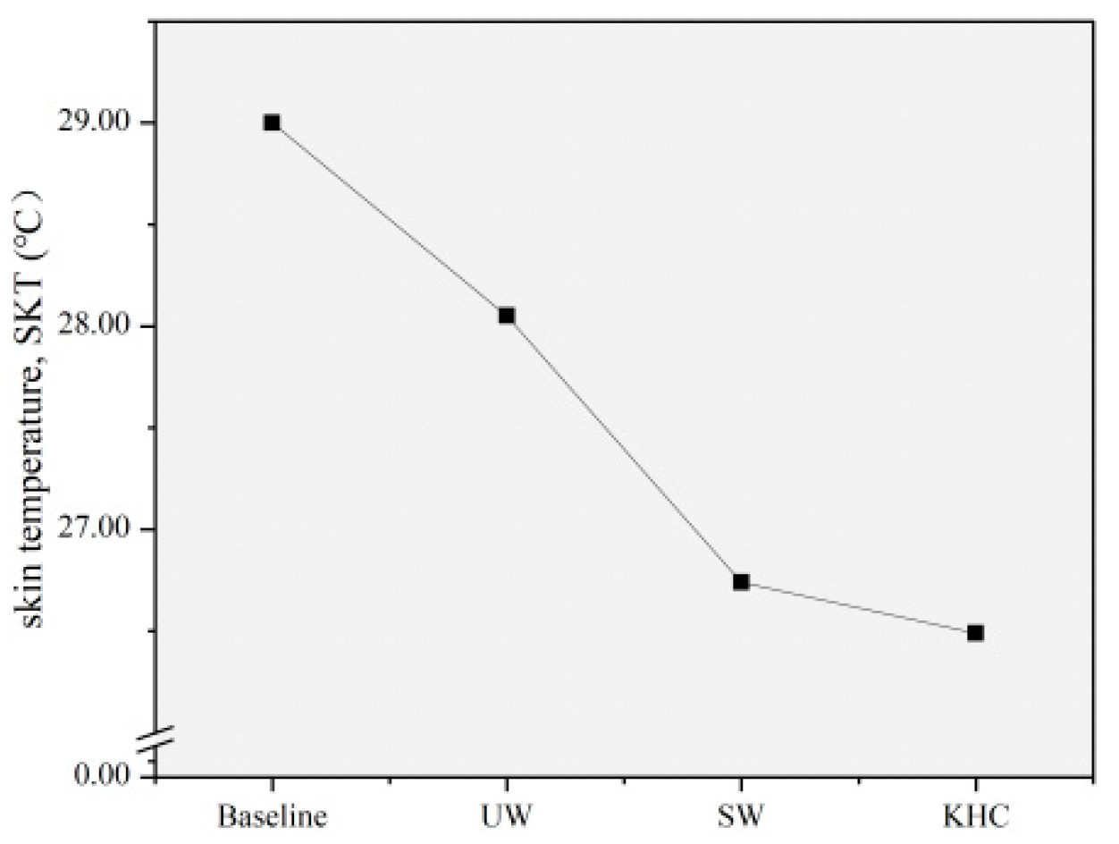
3.2.2. Skin Temperature, SKT
3.3. Effects of Different Evacuation Postures on Children’s Physiological Demands
3.4. Effects of Age/Gender on Children’s Physiological Demands
3.4.1. Age
3.4.2. Gender
4. Discussion and Limitation
5. Conclusions
- (1)
- Age (4–6 years old) and gender had significant effects on children’s evacuation velocities; the older the children, the faster the velocity in crawling. In terms of gender, boys were always faster than girls.
- (2)
- Crawling is more physically demanding than bipedal walking for children, evidenced by the higher relative change in the scores of the EDA and SKT indicators.
- (3)
- Age (4–6 years old) and gender had significant effects on children’s physical demands; the older the child, the less physiological demands he/she needs. Furthermore, boys had greater physiological demands than girls.
Supplementary Materials
Author Contributions
Funding
Institutional Review Board Statement
Informed Consent Statement
Data Availability Statement
Acknowledgments
Conflicts of Interest
References
- Mcguire, J.H. Smoke movement in buildings. Fire Technol. 1967, 3, 163–174. [Google Scholar] [CrossRef]
- Chu, S. Decision analysis on fire safety design based on evaluating building fire risk to life. Saf. Sci. 2008, 46, 1125–1136. [Google Scholar] [CrossRef]
- Washburn, A.E.; Leblanc, P.R.; Fahy, F.R. Firefighter fatalities. Natl. Fire Prot. Assoc. J. 1999, 93, 54–70. [Google Scholar]
- Mytton, J.; Goodenough, T.; Novak, C. Children and young people’s behaviour in accidental dwelling fires: A systematic review of the qualitative literature. Saf. Sci. 2017, 96, 143–149. [Google Scholar] [CrossRef]
- Horn, G.P.; Stewart, J.W.; Kesler, R.M.; DeBlois, J.P.; Kerber, S.; Fent, K.W.; Scott, W.S.; Fernhall, B.; Smith, D.L. Firefighter and fire instructor’s physiological responses and safety in various training fire environments. Saf. Sci. 2019, 116, 287–294. [Google Scholar] [CrossRef]
- Samuel, S.D. SFPE handbook of fire protection engineering. Plumb. Eng. 2017, 45, 36. [Google Scholar]
- Fang, Z.; Jiang, L.; Li, X.; Qi, W.; Chen, L. Experimental study on the movement characteristics of 5–6 years old chinese children when egressing from a pre-school building. Saf. Sci. 2019, 113, 264–275. [Google Scholar] [CrossRef]
- Kady, R.A.; Davis, J. The effect of occupant characteristics on crawling speed in evacuation. Fire Saf. J. 2009, 44, 451–457. [Google Scholar] [CrossRef]
- Kady, R.A.; Davis, J. The impact of exit route designs on evacuation time for crawling occupants. J. Fire Sci. 2009, 27, 481–493. [Google Scholar] [CrossRef]
- Cao, L.; Davis, J.; Gallagher, S. The impact of posture on evacuation speed. In Proceedings of the 2nd International Tall Building Fire Safety Conference, London, UK, 17–20 June 2014; pp. 111–121, ISBN 978-1-904521-85-3. [Google Scholar]
- Cao, L.; Davis, G.A.; Gallagher, S.; Schall, M.C.; Sesek, R.F. Characterizing posture and associated physiological demand during evacuation. Saf. Sci. 2018, 104, 1–9. [Google Scholar] [CrossRef]
- Muhdi, R.; Davis, J.; Blackburn, T. Improving occupant characteristics in performance-based evacuation modeling. In Proceedings of the Human Factors & Ergonomics Society Annual Meeting, San Francisco, CA, USA, 16–20 October 2006; Volume 50, pp. 1199–1203. [Google Scholar]
- Nagai, R.; Fukamachi, M.; Nagatani, T. Evacuation of crawlers and walkers from corridor through an exit. Phys. A Stat. Mech. Its Appl. 2006, 367, 449–460. [Google Scholar] [CrossRef]
- Gallagher, S.; Pollard, J.; Porter, W.L. Characteristics of gait in restricted vertical space versus unrestricted walking. In Proceedings of the Human Factors and Ergonomics Society Annual Meeting, San Francisco, CA, USA, 27 September–1 October 2010; Volume 54, pp. 1149–1153. [Google Scholar]
- Babi, J.; Karnik, T.; Bajd, T. Stability analysis of four-point walking. Gait Posture 2001, 14, 56–60. [Google Scholar] [CrossRef]
- Wang, Q.; Song, W.; Zhang, J.; Ye, R.; Ma, J. Experimental study on knee and hand crawling evacuation for different age group students. Int. J. Disaster Risk Reduct. 2020, 48, 101613. [Google Scholar] [CrossRef]
- Najmanova, H.; Ronchi, E. An experimental data-set on pre-school children evacuation. Fire Technol. 2017, 53, 1509–1533. [Google Scholar] [CrossRef]
- Larusdottir, A.R.; Dederichs, A.S. Evacuation Dynamics of Children—Walking Speeds, Flows through Doors in Daycare Centers. In Pedestrian and Evacuation Dynamics; Springer: Boston, MA, USA, 2011; pp. 139–147. [Google Scholar]
- Larusdottir, A.R.; Dederichs, A.S. Evacuation of children: Movement on stairs and on horizontal plane. Fire Technol. 2012, 48, 43–53. [Google Scholar] [CrossRef]
- Yao, Y.; Lu, W. Research on kindergarten children evacuation: Analysis of characteristics of the movement behaviours on stairway. Int. J. Disaster Risk Reduct. 2020, 50, 101718. [Google Scholar] [CrossRef]
- Chen, L.; Tang, T.Q.; Song, Z.; Huang, H.J.; Guo, R.Y. Child behavior during evacuation under non-emergency situations: Experimental and simulation results. Simul. Model. Pract. Theory 2019, 90, 31–44. [Google Scholar] [CrossRef]
- Yao, Y.; Lu, W. Children’s evacuation behavioural data of drills and simulation of the horizontal plane in kindergarten. Saf. Sci. 2021, 133, 105037. [Google Scholar] [CrossRef]
- Marsella, S. Escapes—Evacuation simulation with children, authorities, parents, emotions, and social comparison. In Proceedings of the 10th International Conference on Autonomous Agents and Multiagent Systems—Innovative Applications Track, Taipei, Taiwan, 2–6 May 2011; Volume 50, pp. 563–564. [Google Scholar]
- Ulriksen, L.; Dederichs, A.S. Evacuation of Day Care Centres for Children 0–6 Years: Simulations Using Simulex. In Pedestrian and Evacuation Dynamics 2012; Springer: Cham, Switzerland, 2014; pp. 959–969. [Google Scholar]
- Xiao, M.L.; Zhang, Y.; Liu, B. Simulation of primary school-aged children’s earthquake evacuation in rural town. Nat. Hazards 2017, 87, 1783–1806. [Google Scholar] [CrossRef]
- Montoye, H.J.; Ayen, T.; Nagle, F.; Howley, E.T. The oxygen required for horizontal and grade walking on a motor-driven treadmill. Med. Sci. Sports Exerc. 1985, 17, 640–645. [Google Scholar] [CrossRef] [PubMed]
- Flynn, T.W.; Connery, S.M.; Smutok, M.A.; Zeballos, R.J.; Weisman, I.M. Comparison of cardiopulmonary responses to forward and backward walking and running. Med. Sci. Sports Exerc. 1994, 26, 89. [Google Scholar] [CrossRef]
- Francis, K.; Hoobler, T. Changes in oxygen consumption associated with treadmill walking and running with light hand-carried weights. Ergonomics 1986, 29, 999–1004. [Google Scholar] [CrossRef] [PubMed]
- Jones, B.H.; Toner, M.M.; Daniels, W.L.; Knapik, J.J. The energy cost and heart-rate response of trained and untrained subjects walking and running in shoes and boots. Ergonomics 1983, 27, 895–902. [Google Scholar] [CrossRef] [PubMed]
- Fudge, B.W.; Wilson, J.; Easton, C.; Irwin, L.; Clark, J.; Haddow, O.; Kayser, B.; Pitsiladis, Y.P. Estimation of oxygen uptake during fast running using accelerometry and heart rate. Med. Sci. Sports Exerc. 2007, 39, 192–198. [Google Scholar] [CrossRef]
- Bedford, T.; Warner, C.G. The energy expended while walking in stooping postures. Br. J. Ind. Med. 1995, 12, 290–295. [Google Scholar] [CrossRef][Green Version]
- Halder, A.; Kuklane, K.; Miller, M.; Nordin, A.; Unge, J.; Gao, C. Physiological capacity during simulated stair climbing evacuation at maximum speed until exhaustion. Fire Technol. 2021, 57, 767–790. [Google Scholar] [CrossRef]
- Morrissey, S.J.; George, C.E.; Ayoub, M.M. Metabolic costs of stoopwalking and crawling. Appl. Ergon. 1985, 16, 99–102. [Google Scholar] [CrossRef]
- Davis, J.; Gallagher, S. Physiological demand on firefighters crawling during a search exercise. Int. J. Ind. Ergon. 2014, 44, 821–826. [Google Scholar] [CrossRef]
- Moss, K. The energy output of coal miners during work. Trans. Am. Inst. Min. Metall. Eng. 1934, 189, 132–149. [Google Scholar]
- Gallagher, S.; Pollard, J.; Porter, W.L. Locomotion in restricted space: Kinematic and electromyographic analysis of stoopwalking and crawling. Gait Posture 2011, 33, 71–76. [Google Scholar] [CrossRef]
- Davis, R. A Comparison of Physiological Effects of Traditional Walking Locomotion to Crawling. Ph.D. Thesis, East Stroudsburg University of Pennsylvania, East Stroudsburg, PA, USA, 2011. [Google Scholar]
- Merla, A.; Iodice, P.; Tangherlini, A.; De Michele, G.; Di Romualdo, S.; Saggini, R.; Romani, G. Monitoring skin temperature in trained and untrained subjects throughout thermal video. In Proceedings of the 2005 IEEE Engineering in Medicine and Biology 27th Annual Conference, Shanghai, China, 1–4 September 2005; Volume 2, pp. 1684–1686. [Google Scholar]
- Council, I.C. International Building Code 2018; International Code Council: Washington, DC, USA, 2018. [Google Scholar]
- Ministry of Housing and Urban-Rural Development of the People’s Republic of China (MOHURD). Code for Fire Protection Design of Buildings; Ministry of Housing and Urban-Rural Development of the People’s Republic of China: Beijing, China, 2018; GB 50016-2014.
- Zhang, L.; Wang, X.; Fang, H.; Lei, W. Numerical study of the effect of gender composition and partitioning boards on evacuation in a two-line transfer transit rail subway station. Indoor Built Environ. 2022, 31, 1858–1873. [Google Scholar] [CrossRef]
- Huang, Z.; Fan, R.; Fang, Z.; Ye, R.; Li, X.; Xu, Q.; Gao, H.; Gao, Y. Performance of occupant evacuation in a super high-rise building up to 583 m. Phys. A Stat. Mech. Its Appl. 2022, 589, 126643. [Google Scholar] [CrossRef]
- Zhou, J.; Jia, X.; Xu, G.; Jia, J.; Hai, R.; Gao, C.; Zhang, S. The relationship between different types of alarm sounds and children’s perceived risk based on their physiological responses. Int. J. Environ. Res. Public Health 2019, 16, 5091. [Google Scholar] [CrossRef] [PubMed]
- Zhou, J.; Jia, X.; Jia, J. Effects of Different Staircase Design Factors on Evacuation of Children from Kindergarten Buildings Analyzed via Agent-Based Simulation. Healthcare 2020, 8, 56. [Google Scholar] [CrossRef] [PubMed]
- Jia, X.; Zhang, B.; Gao, X.; Zhou, J. An Ergonomic Assessment of Different Postures and Children Risk during Evacuations. Int. J. Environ. Res. Public Health 2021, 18, 12029. [Google Scholar] [CrossRef] [PubMed]
- Taciuc, A.; Dederichs, A.S. Determining Self-Preservation Capability in Pre-School Children; The Fire Protection Research Foundation; Technical Note Final Report; Technical University of Denmark: Copenhagen, Denmark, 2013. [Google Scholar]
- Knoblauch, R.; Pietrucha, M.; Nitzburg, M. Field studies of pedestrian walking speed and start-up time. J. Transport. Res. 1996, 1538, 27–38. [Google Scholar] [CrossRef]
- Jin, T.; Yamada, T. Experimental study of human behavior in smoke filled corridors. Fire Saf. Sci. 1989, 2, 511–519. [Google Scholar] [CrossRef]
- Purser, D. Behavioural impairment in smoke environments. Toxicology 1996, 115, 25–40. [Google Scholar] [CrossRef]










| Gender | Number | Age (Years) | Height (cm) | Weight (kg) | BMI (kg/m2) | ||||
|---|---|---|---|---|---|---|---|---|---|
| Mean | SD | Mean | SD | Mean | SD | Mean | SD | ||
| Boys | 13 | 5.0 | 0.82 | 116.31 | 6.84 | 22.07 | 4.48 | 16.17 | 1.71 |
| Girls | 15 | 5.4 | 0.91 | 116.20 | 5.85 | 20.75 | 2.93 | 15.34 | 1.42 |
| Physiological Indicators | Baseline | UW | SW | KHC | |
|---|---|---|---|---|---|
| Mean | Mean | Mean | Mean | ||
| EDA | SC (μS) | 10.26 | 19.92 | 20.31 | 22.14 |
| SCL (μS) | 9.61 | 17.19 | 18.07 | 19.77 | |
| SCR (μS) | 0.65 | 2.82 | 2.24 | 2.45 | |
| SKT | (°C) | 29 | 28.05 | 26.74 | 26.49 |
| Physiological Indicators | UW-Baseline | SW-Baseline | KHC-Baseline | UW-SW-KHC | |
|---|---|---|---|---|---|
| Sig. | Sig. | Sig. | Sig. | ||
| EDA | SC (μS) | 0 | 0 | 0 | 0 |
| SCL (μS) | 0 | 0 | 0.001 | 0 | |
| SCR (μS) | 0 | 0 | 0.18 | 0 | |
| SKT | (°C) | 0 | 0 | 0 | 0 |
| Physiological Indicators | Baseline | KHC | Relative Change | |||||||||
|---|---|---|---|---|---|---|---|---|---|---|---|---|
| 4 Year | 5 Year | 6 Year | 4 Year | 5 Year | 6 Year | Δ4 | Δ5 | Δ6 | 4 Year (%) | 5 Year (%) | 6 Year (%) | |
| SC | 10.90 | 14.82 | 9.28 | 23.38 | 30.87 | 17.34 | 16.05 | 12.48 | 8.06 | 114.50 | 108.30 | 86.77 |
| SCL | 10.09 | 13.88 | 8.64 | 21.50 | 27.02 | 14.90 | 13.14 | 11.41 | 6.26 | 113.08 | 94.67 | 72.45 |
| SKT | 30.68 | 30.42 | 30.75 | 28.55 | 28.37 | 28.78 | −2.13 | −2.05 | −1.97 | −6.94 | −6.74 | −6.41 |
| Physiological Indicators | Baseline (Mean) | KHC (Mean) | Relative Change | |||||
|---|---|---|---|---|---|---|---|---|
| Boy | Girl | Boy | Girl | ΔBoy | ΔGirl | Boy (%) | Girl (%) | |
| SC | 13.63 | 9.71 | 28.95 | 18.78 | 15.32 | 9.07 | 112.40 | 93.41 |
| SCL | 12.63 | 9.11 | 26.21 | 16.07 | 13.58 | 6.96 | 107.52 | 76.40 |
| SKT | 31.15 | 26.61 | 27.84 | 25.92 | −3.31 | −0.69 | −10.63 | −2.59 |
Publisher’s Note: MDPI stays neutral with regard to jurisdictional claims in published maps and institutional affiliations. |
© 2022 by the authors. Licensee MDPI, Basel, Switzerland. This article is an open access article distributed under the terms and conditions of the Creative Commons Attribution (CC BY) license (https://creativecommons.org/licenses/by/4.0/).
Share and Cite
Zhang, B.; Gao, X.; Zhou, J.; Jia, X. The Associations between Evacuation Movements and Children’s Physiological Demands Analyzed via Wearable-Based Sensors. Sensors 2022, 22, 8094. https://doi.org/10.3390/s22218094
Zhang B, Gao X, Zhou J, Jia X. The Associations between Evacuation Movements and Children’s Physiological Demands Analyzed via Wearable-Based Sensors. Sensors. 2022; 22(21):8094. https://doi.org/10.3390/s22218094
Chicago/Turabian StyleZhang, Bo, Xiaoyu Gao, Jiaxu Zhou, and Xiaohu Jia. 2022. "The Associations between Evacuation Movements and Children’s Physiological Demands Analyzed via Wearable-Based Sensors" Sensors 22, no. 21: 8094. https://doi.org/10.3390/s22218094
APA StyleZhang, B., Gao, X., Zhou, J., & Jia, X. (2022). The Associations between Evacuation Movements and Children’s Physiological Demands Analyzed via Wearable-Based Sensors. Sensors, 22(21), 8094. https://doi.org/10.3390/s22218094

