Effects of Resistance Training as a Behavioural Preventive Measure on Musculoskeletal Complaints, Maximum Strength and Ergonomic Risk in Dentists and Dental Assistants
Abstract
1. Introduction
2. Materials & Methods
2.1. Subjects
2.2. Assessment Tools
- Nordic Questionnaire and Nordic Questionnaire combined with VAS scales
- b.
- Tergumed 530 series devices
- c.
- MVN Link by Xsens
2.3. Assessment Protocol
- Pain intensity
- b.
- Maximum voluntary isometric contraction (MVIC)
- c.
- Ergonomic analysis of the working posture
2.4. Intervention
2.5. Data Analysis
| - | RULA Step 15 |
| - | RULA Step 9 |
| - | RULA Step 10 |
| - | RULA Step 1 |
| - | RULA Step 2 |
| - | RULA Step 3 + 4 |
2.6. Statistical Analysis
3. Results
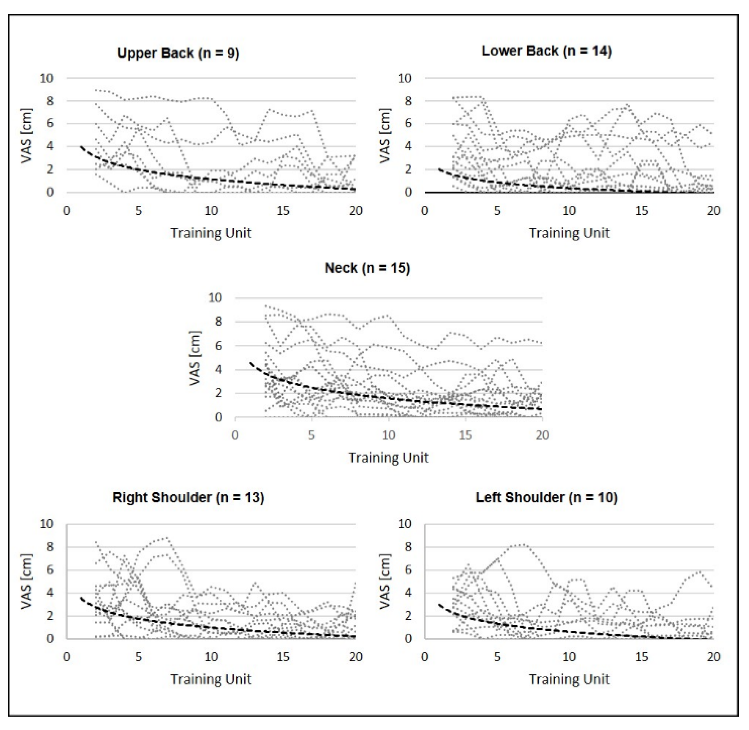
3.1. Pain Intensity
3.2. Maximum Isometric Force
3.3. Ergonomic Analysis of the Working Posture
4. Discussion
5. Conclusions
Supplementary Materials
Author Contributions
Funding
Institutional Review Board Statement
Informed Consent Statement
Data Availability Statement
Acknowledgments
Conflicts of Interest
Abbreviations
| MSD | musculoskeletal disorders |
| RULA | rapid upper limb assessment |
| SOPEZ | study for the optimization of ergonomics in the dental practice |
| SD | standard deviation |
| VAS | visual analogue scale |
| MVIC | maximum voluntary isometric contraction |
References
- Ohlendorf, D.; Haas, Y.; Naser, A.; Haenel, J.; Maltry, L.; Holzgreve, F.; Erbe, C.; Betz, W.; Wanke, E.M.; Brüggmann, D.; et al. Prevalence of Muscular Skeletal Disorders among Qualified Dental Assistants. Int. J. Environ. Res. Public Health 2020, 17, 3490. [Google Scholar] [CrossRef] [PubMed]
- Alexopoulos, E.C.; Stathi, I.-C.; Charizani, F. Prevalence of musculoskeletal disorders in dentists. BMC Musculoskelet. Disord. 2004, 5, 16. [Google Scholar] [CrossRef] [PubMed]
- Feng, B.; Liang, Q.; Wang, Y.; Andersen, L.L.; Szeto, G. Prevalence of work-related musculoskeletal symptoms of the neck and upper extremity among dentists in China. BMJ Open 2014, 4, e006451. [Google Scholar] [CrossRef] [PubMed]
- Lietz, J.; Kozak, A.; Nienhaus, A. Prevalence and occupational risk factors of musculoskeletal diseases and pain among dental professionals in Western countries: A systematic literature review and meta-analysis. PLoS ONE 2018, 13, e0208628. [Google Scholar] [CrossRef] [PubMed]
- Sakzewski, L.; Naser-Ud-Din, S. Work-related musculoskeletal disorders in dentists and orthodontists: A review of the literature. Work 2014, 48, 37–45. [Google Scholar] [CrossRef]
- Ohlendorf, D.; Naser, A.; Haas, Y.; Haenel, J.; Fraeulin, L.; Holzgreve, F.; Erbe, C.; Betz, W.; Wanke, E.M.; Brueggmann, D.; et al. Prevalence of Musculoskeletal Disorders among Dentists and Dental Students in Germany. Int. J. Environ. Res. Public Health 2020, 17, 8740. [Google Scholar] [CrossRef]
- Morse, T.; Bruneau, H.; Dussetschleger, J. Musculoskeletal disorders of the neck and shoulder in the dental professions. Work 2010, 35, 419–429. [Google Scholar] [CrossRef]
- Leggat, P.A.; Kedjarune, U.; Smith, D.R. Occupational Health Problems in Modern Dentistry: A Review. Ind. Health 2007, 45, 611–621. [Google Scholar] [CrossRef]
- Hayes, M.; Cockrell, D.; Smith, D.R. A systematic review of musculoskeletal disorders among dental professionals. Int. J. Dent. Hyg. 2009, 7, 159–165. [Google Scholar] [CrossRef]
- Valachi, B.; Valachi, K. Mechanisms leading to musculoskeletal disorders in dentistry. J. Am. Dent. Assoc. 2003, 134, 1344–1350. [Google Scholar] [CrossRef]
- Vink, P.; Daanen, H.; Meijst, W.J.; Ligteringen, J. Decrease in back strength in asymmetric trunk postures. Ergonomics 1992, 35, 405–416. [Google Scholar] [CrossRef] [PubMed]
- Mousavi, S.J.; Olyaei, G.R.; Talebian, S.; Sanjari, M.A.; Parnianpour, M. The Effect of Angle and Level of Exertion on Trunk Neuromuscular Performance During Multidirectional Isometric Activities. Spine 2009, 34, E170–E177. [Google Scholar] [CrossRef] [PubMed]
- Westgaard, R.H. Effects of physical and mental stressors on muscle pain. Scand. J. Work Environ. Health 1999, 25, 19–24. [Google Scholar] [PubMed]
- Ahmadi, S.; Klingelhöfer, D.; Erbe, C.; Holzgreve, F.; Groneberg, D.; Ohlendorf, D. Oral Health: Global Research Performance under Changing Regional Health Burdens. Int. J. Environ. Res. Public Health 2021, 18, 5743. [Google Scholar] [CrossRef] [PubMed]
- Ciolac, E.G.; Rodrigues-Da-Silva, J.M. Resistance Training as a Tool for Preventing and Treating Musculoskeletal Disorders. Sports Med. 2016, 46, 1239–1248. [Google Scholar] [CrossRef]
- Zebis, M.K.; Andersen, L.L.; Pedersen, M.T.; Mortensen, P.; Andersen, C.H.; Pedersen, M.M.; Boysen, M.; Roessler, K.K.; Hannerz, H.; Mortensen, O.S.; et al. Implementation of neck/shoulder exercises for pain relief among industrial workers: A randomized controlled trial. BMC Musculoskelet. Disord. 2011, 12, 205. [Google Scholar] [CrossRef]
- Yiu, X.Y.; Maguire, A.; Johnson, M.; Wåhlin, C.; Johnston, V. A 10-week exercise intervention can improve work posture but not neck/shoulder symptoms in dental health students: A pilot cohort study. Work 2020, 67, 239–249. [Google Scholar] [CrossRef]
- Andersen, L.L.; Jakobsen, M.D.; Pedersen, M.T.; Mortensen, O.S.; Sjøgaard, G.; Zebis, M.K. Effect of specific resistance training on forearm pain and work disability in industrial technicians: Cluster randomised controlled trial. BMJ Open 2012, 2, e000412. [Google Scholar] [CrossRef]
- Gram, B.; Andersen, C.H.; Zebis, M.K.; Bredahl, T.; Pedersen, M.T.; Mortensen, O.S.; Jensen, R.H.; Andersen, L.L.; Sjøgaard, G. Effect of Training Supervision on Effectiveness of Strength Training for Reducing Neck/Shoulder Pain and Headache in Office Workers: Cluster Randomized Controlled Trial. BioMed Res. Int. 2014, 2014, 693013. [Google Scholar] [CrossRef]
- Santos, H.G.; Chiavegato, L.D.; Valentim, D.P.; Padula, R.S. Effectiveness of a progressive resistance exercise program for industrial workers during breaks on perceived fatigue control: A cluster randomized controlled trial. BMC Public Health 2020, 20, 849. [Google Scholar] [CrossRef]
- Zebis, M.K.; Andersen, C.H.; Sundstrup, E.; Pedersen, M.T.; Sjøgaard, G.; Andersen, L.L. Time-Wise Change in Neck Pain in Response to Rehabilitation with Specific Resistance Training: Implications for Exercise Prescription. PLoS ONE 2014, 9, e93867. [Google Scholar] [CrossRef] [PubMed]
- Lidegaard, M.; Jensen, R.B.; Andersen, C.H.; Zebis, M.K.; Colado, J.C.; Wang, Y.; Heilskov-Hansen, T.; Andersen, L.L. Effect of Brief Daily Resistance Training on Occupational Neck/Shoulder Muscle Activity in Office Workers with Chronic Pain: Randomized Controlled Trial. BioMed Res. Int. 2013, 2013, 262386. [Google Scholar] [CrossRef] [PubMed]
- Ohlendorf, D.; Maltry, L.; Hänel, J.; Betz, W.; Erbe, C.; Maurer-Grubinger, C.; Holzgreve, F.; Wanke, E.M.; Brüggmann, D.; Nienhaus, A.; et al. SOPEZ: Study for the optimization of ergonomics in the dental practice-musculoskeletal disorders in dentists and dental assistants: A study protocol. J. Occup. Med. Toxicol. 2020, 15, 22. [Google Scholar] [CrossRef] [PubMed]
- Kuorinka, I.; Jonsson, B.; Kilbom, A.; Vinterberg, H.; Biering-Sørensen, F.; Andersson, G.; Jørgensen, K. Standardised Nordic questionnaires for the analysis of musculoskeletal symptoms. Appl. Ergon. 1987, 18, 233–237. [Google Scholar] [CrossRef]
- Williamson, A.; Hoggart, B. Pain: A review of three commonly used pain rating scales. J. Clin. Nurs. 2005, 14, 798–804. [Google Scholar] [CrossRef]
- Ferreira-Valente, M.A.; Pais-Ribeiro, J.; Jensen, M.P. Validity of four pain intensity rating scales. Pain 2011, 152, 2399–2404. [Google Scholar] [CrossRef]
- Mekhora, K.; Liston, C.; Nanthavanij, S.; Cole, J. The effect of ergonomic intervention on discomfort in computer users with tension neck syndrome. Int. J. Ind. Ergon. 2000, 26, 367–379. [Google Scholar] [CrossRef]
- Holzgreve, F.; Haas, Y.; Naser, A.; Haenel, J.; Fraeulin, L.; Erbe, C.; Betz, W.; Wanke, E.; Brueggmann, D.; Nienhaus, A.; et al. Prevalence of Musculoskeletal Disorders in Germany—A Comparison between Dentists and Dental Assistants. Appl. Sci. 2021, 11, 6956. [Google Scholar] [CrossRef]
- Moodley, R.; Naidoo, S.; Van Wyk, J.M. The prevalence of occupational health-related problems in dentistry: A review of the literature. J. Occup. Health 2018, 60, 111–125. [Google Scholar] [CrossRef]
- Maurer-Grubinger, C.; Holzgreve, F.; Fraeulin, L.; Betz, W.; Erbe, C.; Brueggmann, D.; Wanke, E.; Nienhaus, A.; Groneberg, D.; Ohlendorf, D. Combining Ergonomic Risk Assessment (RULA) with Inertial Motion Capture Technology in Dentistry—Using the Benefits from Two Worlds. Sensors 2021, 21, 4077. [Google Scholar] [CrossRef]
- Andersen, L.L.; Kjaer, M.; Søgaard, K.; Hansen, L.; Kryger, A.I.; Sjøgaard, G. Effect of two contrasting types of physical exercise on chronic neck muscle pain. Arthritis Care Res. 2008, 59, 84–91. [Google Scholar] [CrossRef] [PubMed]
- Jay, K.; Schraefel, M.; Andersen, C.H.; Ebbesen, F.S.; Christiansen, D.; Skotte, J.; Zebis, M.K.; Andersen, L.L. Effect of brief daily resistance training on rapid force development in painful neck and shoulder muscles: Randomized controlled trial. Clin. Physiol. Funct. Imaging 2013, 33, 386–392. [Google Scholar] [CrossRef] [PubMed]
- Saeterbakken, A.H.; Makrygiannis, P.; Stien, N.; Solstad, T.E.J.; Shaw, M.; Andersen, V.; Pedersen, H. Dose-response of resistance training for neck-and shoulder pain relief: A workplace intervention study. BMC Sports Sci. Med. Rehabil. 2020, 12, 8. [Google Scholar] [CrossRef] [PubMed]
- Andersen, L.L.; Christensen, K.B.; Holtermann, A.; Poulsen, O.M.; Sjøgaard, G.; Pedersen, M.T.; Hansen, E.A. Effect of physical exercise interventions on musculoskeletal pain in all body regions among office workers: A one-year randomized controlled trial. Man. Ther. 2010, 15, 100–104. [Google Scholar] [CrossRef] [PubMed]
- Andersen, L.L.; Jørgensen, M.B.; Blangsted, A.K.; Pedersen, M.T.; Hansen, E.A.; Sjøgaard, G. A Randomized Controlled Intervention Trial to Relieve and Prevent Neck/Shoulder Pain. Med. Sci. Sports Exerc. 2008, 40, 983–990. [Google Scholar] [CrossRef]
- O’Leary, S.; Hoogma, C.; Solberg, M.; Sundberg, S.; Pedler, A.; Van Wyk, L. Comparative Strength and Endurance Parameters of the Craniocervical and Cervicothoracic Extensors and Flexors in Females With and Without Idiopathic Neck Pain. J. Appl. Biomech. 2019, 35, 209–215. [Google Scholar] [CrossRef]
- Owen, P.J.; Miller, C.T.; Mundell, N.L.; Verswijveren, S.J.J.M.; Tagliaferri, S.D.; Brisby, H.; Bowe, S.J.; Belavy, D.L. Which specific modes of exercise training are most effective for treating low back pain? Network meta-analysis. Br. J. Sports Med. 2020, 54, 1279–1287. [Google Scholar] [CrossRef]
- Pope-Ford, R.; Pope-Ozimba, J. Musculoskeletal disorders and emergent themes of psychosocial factors and their impact on health in dentistry. Work 2020, 65, 563–571. [Google Scholar] [CrossRef]
- Huppert, F.; Betz, W.; Maurer-Grubinger, C.; Holzgreve, F.; Fraeulin, L.; Filmann, N.; Groneberg, D.A.; Ohlendorf, D. Influence of design of dentist’s chairs on body posture for dentists with different working experience. BMC Musculoskelet. Disord. 2021, 22, 1–21. [Google Scholar] [CrossRef]
- Netanely, S.; Luria, S.; Langer, D. Musculoskeletal disorders among dental hygienist and students of dental hygiene. Int. J. Dent. Hyg. 2020, 18, 210–216. [Google Scholar] [CrossRef]
- Plessas, A.; Delgado, M.B. The role of ergonomic saddle seats and magnification loupes in the prevention of musculoskeletal disorders. A systematic review. Int. J. Dent. Hyg. 2018, 16, 430–440. [Google Scholar] [CrossRef] [PubMed]





| Total n = 17 | Females n = 14 | Males n = 3 | |
|---|---|---|---|
| Age [years] | 35.71 (12.38) | 32.14 (9.10) | 52.33 (13.61) |
| Height [cm] | 169.29 (6.31) | 167.93 (5.69) | 175.67 (5.86) |
| Weight [kg] | 62.94 (8.69) | 60.21 (6.59) | 75.67 (5.13) |
| BMI [kg/m2] | 21.89 (2.15) | 21.33 (1.92) | 24.51 (0.74) |
| Neck | Upper Back | Lower Back | Right Shoulder | Left Shoulder | ||||||
|---|---|---|---|---|---|---|---|---|---|---|
| Pre | Post | Pre | Post | Pre | Post | Pre | Post | Pre | Post | |
| median | 4.295 | 1.565 | 3.75 | 1.175 | 2.853 | 0.343 | 3.125 | 1.25 | 3.163 | 0.625 |
| IQR | 3.67 | 1.955 | 4.69 | 3.205 | 4.065 | 1.193 | 2.697 | 2.054 | 2.655 | 2.108 |
| p-value | <0.001 | 0.004 | <0.001 | 0.005 | 0.02 | |||||
| Neck | Upper Back | Lower Back | Right Shoulder | Left Shoulder | |
|---|---|---|---|---|---|
| Friedman’s Chi2 | 0.001 | 0.012 | 0.001 | 0.362 | 0.258 |
| 1st significance | 5 | 10 | 5 | - | - |
| p-value * | 0.030 | 0.005 | 0.038 | - | - |
Publisher’s Note: MDPI stays neutral with regard to jurisdictional claims in published maps and institutional affiliations. |
© 2022 by the authors. Licensee MDPI, Basel, Switzerland. This article is an open access article distributed under the terms and conditions of the Creative Commons Attribution (CC BY) license (https://creativecommons.org/licenses/by/4.0/).
Share and Cite
Holzgreve, F.; Fraeulin, L.; Maurer-Grubinger, C.; Betz, W.; Erbe, C.; Weis, T.; Janssen, K.; Schulte, L.; de Boer, A.; Nienhaus, A.; et al. Effects of Resistance Training as a Behavioural Preventive Measure on Musculoskeletal Complaints, Maximum Strength and Ergonomic Risk in Dentists and Dental Assistants. Sensors 2022, 22, 8069. https://doi.org/10.3390/s22208069
Holzgreve F, Fraeulin L, Maurer-Grubinger C, Betz W, Erbe C, Weis T, Janssen K, Schulte L, de Boer A, Nienhaus A, et al. Effects of Resistance Training as a Behavioural Preventive Measure on Musculoskeletal Complaints, Maximum Strength and Ergonomic Risk in Dentists and Dental Assistants. Sensors. 2022; 22(20):8069. https://doi.org/10.3390/s22208069
Chicago/Turabian StyleHolzgreve, Fabian, Laura Fraeulin, Christian Maurer-Grubinger, Werner Betz, Christina Erbe, Tim Weis, Keno Janssen, Lisa Schulte, Amaya de Boer, Albert Nienhaus, and et al. 2022. "Effects of Resistance Training as a Behavioural Preventive Measure on Musculoskeletal Complaints, Maximum Strength and Ergonomic Risk in Dentists and Dental Assistants" Sensors 22, no. 20: 8069. https://doi.org/10.3390/s22208069
APA StyleHolzgreve, F., Fraeulin, L., Maurer-Grubinger, C., Betz, W., Erbe, C., Weis, T., Janssen, K., Schulte, L., de Boer, A., Nienhaus, A., Groneberg, D. A., & Ohlendorf, D. (2022). Effects of Resistance Training as a Behavioural Preventive Measure on Musculoskeletal Complaints, Maximum Strength and Ergonomic Risk in Dentists and Dental Assistants. Sensors, 22(20), 8069. https://doi.org/10.3390/s22208069

