A New Compact Triple-Band Triangular Patch Antenna for RF Energy Harvesting Applications in IoT Devices
Abstract
1. Introduction
- -
- The simplicity of defining, theoretically, the resonant frequencies of the antenna according to its geometric parameters based on theory of resonant cavities (see Section 2);
- -
- The maximum gain is higher compared to rectangular and circular shapes for the same resonators size due to the reduced surface area at the end of the triangle which increases the electric field intensity, as shown in Section 2;
- -
- The superposition of several triangular resonators results in a low resistance at the connection point between them, which reduces the ohmic losses compared to the other shapes.
2. Antenna Design
3. Simulation Results
4. Measurement Results
5. Testing the Different Challenges That the Proposed Antenna Faces for RF Energy Harvesting Applications in IoT Devices
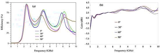
5.1. Antenna Tilting Effects
5.2. Antenna Flexibility for RF Energy Harvesting in the Biomedical Field
6. Specific Absorption Rate (SAR) Investigation
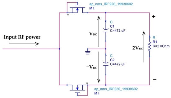
7. Design of the RF Energy Harvesting System Using the Proposed Antennas
8. Discussion
9. Conclusions
Author Contributions
Funding
Institutional Review Board Statement
Informed Consent Statement
Data Availability Statement
Conflicts of Interest
References
- Lu, X.; Wang, P.; Niyato, D.; Kim, D.I.; Han, Z. Wireless Networks With RF Energy Harvesting: A Contemporary Survey. IEEE Commun. Surv. Tutor. 2015, 17, 757–789. [Google Scholar] [CrossRef]
- Chow, E.Y.; Yang, C.; Ouyang, Y.; Chlebowski, A.L.; Irazoqui, P.P.; Chappell, W.J. Wireless Powering and the Study of RF Propagation Through Ocular Tissue for Development of Implantable Sensors. IEEE Trans. Antennas Propag. 2011, 59, 2379–2387. [Google Scholar] [CrossRef]
- Kao, S.-K. A CMOS Active Rectifier with Time Domain Technique to Enhance PCE. Electronics 2021, 10, 1450. [Google Scholar] [CrossRef]
- Banerjee, A.; Bhattacharyya, T.K.; Nag, S. High efficiency CMOS active rectifier with adaptive delay compensation. Microelectron. J. 2021, 112, 105052. [Google Scholar] [CrossRef]
- Zhang, Y.; Ma, J.; Tang, X. A CMOS Active Rectifier with Efficiency-Improving and Digitally Adaptive Delay Compensation for Wireless Power Transfer Systems. Energies 2021, 14, 8089. [Google Scholar] [CrossRef]
- Rothwell, E.J.; Ouedraogo, R.O. Antenna miniaturization: Definitions, concepts, and a review with emphasis on metamaterials. J. Electromagn. Waves Appl. 2014, 28, 2089–2123. [Google Scholar] [CrossRef]
- Hall, P.S.; Hao, Y. Antennas and Propagation for Body-Centric Wireless Communications, 2nd ed.; Artech House: Norwood, MA, USA, 2012. [Google Scholar]
- Chow, E.Y.; Chlebowski, A.L.; Chakraborty, S.; Chappell, W.J.; Irazoqui, P.P. Fully Wireless Implantable Cardiovascular Pressure Monitor Integrated with a Medical Stent. IEEE Trans. Biomed. Eng. 2010, 57, 1487–1496. [Google Scholar] [CrossRef] [PubMed]
- Zeng, F.-G. Challenges in Improving Cochlear Implant Performance and Accessibility. IEEE Trans. Biomed. Eng. 2017, 64, 1662–1664. [Google Scholar] [CrossRef]
- Reynolds, D.; Duray, G.Z.; Omar, R.; Soejima, K.; Neuzil, P.; Zhang, S.; Narasimhan, C.; Steinwender, C.; Brugada, J.; Lloyd, M.; et al. A leadless intracardiac transcatheter pacing system. N. Engl. J. Med. 2016, 374, 533–541. [Google Scholar] [CrossRef]
- de Cos Gómez, M.E.; Fernández Álvarez, H.; Flórez Berdasco, A.; Las-Heras Andrés, F. Paving the Way to Eco-Friendly IoT Antennas: Tencel-Based Ultra-Thin Compact Monopole and Its Applications to ZigBee. Sensors 2020, 20, 3658. [Google Scholar] [CrossRef] [PubMed]
- Hussain, R.; Alhuwaimel, S.I.; Algarni, A.M.; Aljaloud, K.; Hussain, N. A Compact Sub-GHz Wide Tunable Antenna Design for IoT Applications. Electronics 2022, 11, 1074. [Google Scholar] [CrossRef]
- Morales-Centla, N.; Torrealba-Melendez, R.; Tamariz-Flores, E.I.; López-López, M.; Arriaga-Arriaga, C.A.; Munoz-Pacheco, J.M.; Gonzalez-Diaz, V.R. Dual-Band CPW Graphene Antenna for Smart Cities and IoT Applications. Sensors 2022, 22, 5634. [Google Scholar] [CrossRef] [PubMed]
- Atanasova, G.L.; Atanasov, B.N.; Atanasov, N.T. Fully Textile Dual-Band Logo Antenna for IoT Wearable Devices. Sensors 2022, 22, 4516. [Google Scholar] [CrossRef] [PubMed]
- Abdulzahra, D.H.; Alnahwi, F.; Abdullah, A.S.; Al-Yasir, Y.I.A.; Abd-Alhameed, R.A. A Miniaturized Triple-Band Antenna Based on Square Split Ring for IoT Applications. Electronics 2022, 11, 2818. [Google Scholar] [CrossRef]
- Khang, S.-T.; Yu, J.W.; Lee, W.-S. Compact folded dipole rectenna with RF-based energy harvesting for IoT smart sensors. Electron. Lett. 2015, 51, 926–928. [Google Scholar] [CrossRef]
- Shi, Y.; Jing, J.; Fan, Y.; Yang, L.; Li, Y.; Wang, M. A novel compact broadband rectenna for ambient RF energy harvesting. AEU Int. J. Electron. Commun. 2018, 95, 264–270. [Google Scholar] [CrossRef]
- Shi, Y.Y.; Jing, J.; Fan, Y.; Yang, L.; Wang, M. Design of a novel compact and efficient rectenna for WiFi energy harvesting. Prog. Electromagn. Res. 2018, 83, 57–70. [Google Scholar] [CrossRef]
- Palazzi, V.; Hester, J.; Bito, J.; Alimenti, F.; Kalialakis, C.; Collado, A.; Mezzanotte, P.; Georgiadis, A.; Roselli, L.; Tentzeris, M.M.; et al. A Novel Ultra-Lightweight Multiband Rectenna on Paper for RF Energy Harvesting in the Next Generation LTE Bands. IEEE Trans. Microw. Theory Tech. 2018, 66, 366–379. [Google Scholar] [CrossRef]
- Said, M.A.M.; Zakaria, Z.; Husain, M.N.; Misran, M.H.; Noor, F.S.M. 2.45 GHz rectenna with high gain for RF energy harvesting. Telkomnika 2019, 17, 384–391. [Google Scholar] [CrossRef]
- Okba, A.; Takacs, A.; Aubert, H. Compact Rectennas for Ultra-Low-Power Wireless Transmission Applications. IEEE Trans. Microw. Theory Tech. 2019, 67, 1697–1707. [Google Scholar] [CrossRef]
- Singh, N.; Kanaujia, B.K.; Beg, M.T.; Kumar, S.; Choi, H.C.; Kim, K.W. Low profile multiband rectenna for efficient energy harvesting at microwave frequencies. Int. J. Electron. 2019, 106, 2057–2071. [Google Scholar] [CrossRef]
- Benyetho, T.; Zbitou, J.; Abdellaoui, L.; Bennis, H.; Tribak, A. A New Fractal Multiband Antenna for Wireless Power Transmission Applications. Act. Passiv. Electron. Compon. 2018, 2018, 2084747. [Google Scholar] [CrossRef]
- Kumar, S.A.; Shanmuganantham, T.; Dileepan, D. Design and development of CPW fed monopole antenna at 2.45GHz and 5.5GHz for wireless applications. Alex. Eng. J. 2017, 56, 231–234. [Google Scholar] [CrossRef]
- Kee, C.P.; Olule, L.; Gnanagurunathan, G. Microstrip Patch Antenna and Three-stage Cockcroft-Walton Rectenna for Wi-Fi Energy Harvesting. In Proceedings of the 2018 IEEE International RF and Microwave Conference (RFM), Penang, Malaysia, 17–19 December 2018; pp. 242–245. [Google Scholar] [CrossRef]
- Paul, S.; Ravichandran, A.; Varshney, M.; Pandey, S. A Novel Multi-patch Triangular Antenna for Energy Harvesting. In Smart Innovations in Communication and Computational Sciences. Advances in Intelligent Systems and Computing; Panigrahi, B., Trivedi, M., Mishra, K., Tiwari, S., Singh, P., Eds.; Springer: Singapore, 2019; Volume 669. [Google Scholar] [CrossRef]
- Bhatt, K.; Kumar, S.; Kumar, P.; Tripathi, C.C. Highly Efficient 2.4 and 5.8 GHz Dual-Band Rectenna for Energy Harvesting Applications. IEEE Antennas Wirel. Propag. Lett. 2019, 18, 2637–2641. [Google Scholar] [CrossRef]
- Surender, D.; Khan, T.; Talukdar, F.A. A Hexagonal-Shaped Microstrip Patch Antenna with notch included partial ground plane for 2.45 GHz Wi-Fi Band RF Energy Harvesting Applications. In Proceedings of the 2020 7th International Conference on Signal Processing and Integrated Networks (SPIN), Noida, India, 27–28 February 2020; pp. 966–969. [Google Scholar] [CrossRef]
- Maity, S.; Gupta, B. Closed form expressions to find the far-field patterns of an equilateral triangular dielectric resonator antenna for various higher order modes. Int. J. RF Microw. Comput. Aided Eng. 2020, 31, e22475. [Google Scholar] [CrossRef]
- Anoop, P.; Bhattacharjee, R. Investigation on dual-band equilateral triangular shaped dielectric resonator antennas for WLAN applications. Int. J. RF Microw. Comput. Aided Eng. 2021, 31, e22672. [Google Scholar] [CrossRef]
- Chakrabarti, S.; Chakraborty, A. A dual band shorted triangular patch antenna for vehicular application. Int. J. RF Microw. Comput. Aided Eng. 2021, 31, e22801. [Google Scholar] [CrossRef]
- Asan, N.B.; Noreland, D.; Hassan, E.; Shah, S.R.M.; Rydberg, A.; Blokhuis, T.J.; Carlsson, P.O.; Voigt, T.; Augustine, R. Intra-body microwave communication through adipose tissue. Healthc. Technol. Lett. 2017, 4, 115–121. [Google Scholar] [CrossRef]
- Asan, N.B.; Penichet, C.P.; Shah, S.R.M.; Noreland, D.; Hassan, E.; Rydberg, A.; Blokhuis, T.J.; Voigt, T.; Augustine, R. Data Packet Transmission Through Fat Tissue for Wireless IntraBody Networks. IEEE J. Electromagn. RF Microw. Med. Biol. 2017, 1, 43–51. [Google Scholar] [CrossRef]
- Asan, N.B.; Redzwan, S.; Rydberg, A.; Augustine, R.; Noreland, D.; Hassan, E.; Voigt, T. Human fat tissue: A microwave communication channel. In Proceedings of the 2017 First IEEE MTT-S International Microwave Bio Conference (IMBIOC), Gothenburg, Sweden, 15–17 May 2017; pp. 1–4. [Google Scholar] [CrossRef]
- Asan, N.B.; Hassan, E.; Velander, J.; Mohd Shah, S.R.; Noreland, D.; Blokhuis, T.J.; Wadbro, E.; Berggren, M.; Voigt, T.; Augustine, R. Characterization of the Fat Channel for Intra-Body Communication at R-Band Frequencies. Sensors 2018, 18, 2752. [Google Scholar] [CrossRef]
- Atanasov, N.T.; Atanasova, G.L.; Angelova, B.; Paunov, M.; Gurmanova, M.; Kouzmanova, M. Wearable Antennas for Sensor Networks and IoT Applications: Evaluation of SAR and Biological Effects. Sensors 2022, 22, 5139. [Google Scholar] [CrossRef] [PubMed]
- Ahmad, A.; Faisal, F.; Ullah, S.; Choi, D.-Y. Design and SAR Analysis of a Dual Band Wearable Antenna for WLAN Applications. Appl. Sci. 2022, 12, 9218. [Google Scholar] [CrossRef]
- Piñuela, M.; Mitcheson, P.D.; Lucyszyn, S. Ambient RF Energy Harvesting in Urban and Semi-Urban Environments. IEEE Trans. Microw. Theory Tech. 2013, 61, 2715–2726. [Google Scholar] [CrossRef]
- Vu, H.S.; Nguyen, N.; Ha-Van, N.; Seo, C.; Le, M.T. Multiband Ambient RF Energy Harvesting for Autonomous IoT Devices. IEEE Microw. Wirel. Compon. Lett. 2020, 30, 1189–1192. [Google Scholar] [CrossRef]
- Adami, S.-E.; Zhu, D.; Li, Y.; Mellios, E.; Stark, B.H.; Beeby, S. A 2.45 GHz rectenna screen-printed on polycotton for on-body RF power transfer and harvesting. In Proceedings of the 2015 IEEE Wireless Power Transfer Conference (WPTC), Boulder, CO, USA, 13–15 May 2015; pp. 1–4. [Google Scholar] [CrossRef]
- Vital, D.; Bhardwaj, S.; Volakis, J.L. Textile-Based Large Area RF-Power Harvesting System for Wearable Applications. IEEE Trans. Antennas Propag. 2020, 68, 2323–2331. [Google Scholar] [CrossRef]
- Estrada, J.A.; Kwiatkowski, E.; López-Yela, A.; Borgoñós-García, M.; Segovia-Vargas, D.; Barton, T.; Popović, Z. RF-Harvesting Tightly Coupled Rectenna Array Tee-Shirt With Greater Than Octave Bandwidth. IEEE Trans. Microw. Theory Tech. 2020, 68, 3908–3919. [Google Scholar] [CrossRef]
- Adami, S.E.; Proynov, P.; Hilton, G.S.; Yang, G.; Zhang, C.; Zhu, D.; Li, Y.; Beeby, S.P.; Craddock, I.J.; Stark, B.H. A Flexible 2.45-GHz Power Harvesting Wristband With Net System Output From −24.3 dBm of RF Power. IEEE Trans. Microw. Theory Tech. 2018, 66, 380–395. [Google Scholar] [CrossRef]
- Benkalfate, C.; Ouslimani, A.; Kasbari, A.-E.; Feham, M. A New RF Energy Harvesting System Based on Two Architectures to Enhance the DC Output Voltage for WSN Feeding. Sensors 2022, 22, 3576. [Google Scholar] [CrossRef]
- Grandi, G.; Kazimierczuk, M.K.; Massarini, A.; Reggiani, U.; Sancineto, G. Model of laminated iron-core inductors for high frequencies. IEEE Trans. Magn. 2004, 40, 1839–1845. [Google Scholar] [CrossRef]
- Jiya, I.N.; Gurusinghe, N.; Gouws, R. Electrical Circuit Modelling of Double Layer Capacitors for Power Electronics and Energy Storage Applications: A Review. Electronics 2018, 7, 268. [Google Scholar] [CrossRef]
- Franek, O. Phasor Alternatives to Friis’ Transmission Equation. IEEE Antennas Wirel. Propag. Lett. 2018, 17, 90–93. [Google Scholar] [CrossRef]
- Saito, K.; Nishiyama, E.; Toyoda, I. A 2.45- and 5.8-GHz Dual-Band Stacked Differential Rectenna With High Conversion Efficiency in Low Power Density Environment. IEEE Open J. Antennas Propag. 2022, 3, 627–636. [Google Scholar] [CrossRef]
- Hu, Y.-Y.; Sun, S.; Su, H.-J.; Yang, S.; Hu, J. Dual-Beam Rectenna Based on a Short Series-Coupled Patch Array. IEEE Trans. Antennas Propag. 2021, 69, 5617–5630. [Google Scholar] [CrossRef]
- Zeng, M.; Andrenko, A.S.; Liu, X.; Li, Z.; Tan, H.-Z. A Compact Fractal Loop Rectenna for RF Energy Harvesting. IEEE Antennas Wirel. Propag. Lett. 2017, 16, 2424–2427. [Google Scholar] [CrossRef]
- Sun, H.; Guo, Y.-X.; He, M.; Zhong, Z. A Dual-Band Rectenna Using Broadband Yagi Antenna Array for Ambient RF Power Harvesting. IEEE Antennas Wirel. Propag. Lett. 2013, 12, 918–921. [Google Scholar] [CrossRef]
- Kim, S.; Vyas, R.; Bito, J.; Niotaki, K.; Collado, A.; Georgiadis, A.; Tentzeris, M.M. Ambient RF Energy-Harvesting Technologies for Self-Sustainable Standalone Wireless Sensor Platforms. Proc. IEEE 2014, 102, 1649–1666. [Google Scholar] [CrossRef]
- Sun, H. An Enhanced Rectenna Using Differentially-Fed Rectifier for Wireless Power Transmission. IEEE Antennas Wirel. Propag. Lett. 2016, 15, 32–35. [Google Scholar] [CrossRef]
- Sun, H.; Geyi, W. A New Rectenna With All-Polarization-Receiving Capability for Wireless Power Transmission. IEEE Antennas Wirel. Propag. Lett. 2016, 15, 814–817. [Google Scholar] [CrossRef]
- Assogba, O.; Mbodji, A.K.; Bréard, A.; Diallo, A.K.; Duroc, Y. Tri-Band Rectenna Dedicated to UHF RFID, GSM-1800 and UMTS-2100 Frequency Bands. Sensors 2022, 22, 3565. [Google Scholar] [CrossRef]
- Khansalee, E.; Zhao, Y.; Leelarasmee, E.; Nuanyai, K. A dual-band rectifier for RF energy harvesting systems. In Proceedings of the 2014 11th International Conference on Electrical Engineering/Electronics, Computer, Telecommunications and Information Technology (ECTI-CON), Nakhon Ratchasima, Thailand, 14–17 May 2014; pp. 1–4. [Google Scholar] [CrossRef]
- Shen, S.; Chiu, C.-Y.; Murch, R.D. A Dual-Port Triple-Band L-Probe Microstrip Patch Rectenna for Ambient RF Energy Harvesting. IEEE Antennas Wirel. Propag. Lett. 2017, 16, 3071–3074. [Google Scholar] [CrossRef]


: Bottom side.

: Bottom side.









































| Ref | Antenna Size (mm3) | Operating Frequency (GHz) | Maximum Gain (dB) | Substrate Type | Antenna Type |
|---|---|---|---|---|---|
| [11] | 28.3 × 34.5 × 0.26 | 2.5 | 2.4 | RO3003/Tencel | Patch antenna/CPW feed line |
| [12] | 27 × 60 × 0.76 | 0.764–1.029 | 1.42 | RO4350 | Meandered loop slot-line antenna |
| [13] | 30 × 30 × 0.24 | 2.45/5.8 | 1 | Graphene | Patch antenna/CPW feed line |
| [14] | 85 × 43 × 0.7 | 2.45/5.8 | 8.2 | Multi-layers | CPW strip-line feeding |
| [15] | 33 × 22 × 1.6 | 2.5/4/6 | 1.6 | FR-4 | Patch antenna |
| [16] | 30 × 30 × 10 | 0.918 | 1 | Copper | Folded dipole |
| [17] | 31 × 18.5 × 1.6 | 2.15–2.9 | 2.2 | FR-4 | Fractal patch antenna |
| [18] | 38 × 38 × 1.6 | 2.45 | 3 | FR-4 | Double layer of fractal patch antenna |
| [19] | 110 × 110 × 0.1 | 0.875/1.94/2.6 | 2.3/5/4.8 | Paper | Coupled proximity patches |
| [20] | 100 × 100 × 5 | 2.45 | 8.35 | FR-4 | Rectangular patch antenna |
| [21] | 110 × 60 × 0.8 | 0.868/0.915 | 2.6 | FR-4 | Printed dipole patch antenna |
| [22] | 60 × 60 × 1.6 | 1/1.85/2.5/3.55/5.85/7.4 | 1/3/5/4 | FR-4 | Square fractal patch antenna |
| [23] | 60 × 30 × 1.65 | 2.4/5.8 | 2/5.3 | FR-4 | Fractal patch antenna |
| [24] | 70 × 70 × 0.8 | 2.45/5.5 | 3.4/6 | FR-4 | CPW slot antenna |
| [25] | 76 × 46 × 1.6 | 2.45 | 2.9 | FR-4 | Patch antenna |
| [26] | 120 × 65 × 1.6 | 5 | 8 | FR-4 | Triangular patch antenna |
| [27] | 44 × 33 × 1.67 | 2.45/5.8 | 1.48/3.83 | FR-4 | Microstrip patch antenna |
| [28] | 48 × 28 × 1.6 | 2.45 | 2.5 | FR-4 | Hexagonal patch antenna |
| This work | 39 × 9 × 0.67 39 × 9 × 0.1 | 2.45/5.2/8.2 | 2.6/4.55/6 2.45/4.2/5.7 | Teflon glass Waterproof paper | Triangular patch antenna |
| Dimensions | W | WLt | WLr | WLc | LLt | LLr | LLc | Lg | Rc | Lt | Lr |
|---|---|---|---|---|---|---|---|---|---|---|---|
| Values | 9 | 2 | 2 | 2 | 10 | 10 | 9.5 | 7 | 3.75 | 9.7 | 4.85 |
| Dimensions | Wt | Lt | S | F | g | W |
|---|---|---|---|---|---|---|
| Values | 9 | 39 | 10.66 | 10 | 2 | 2 |
| fr (GHz) | 2.45 | 5.2 | 8.15 |
|---|---|---|---|
| ∆f (MHz) | 6.6 | 20 | 32.16 |
| Q | 378 | 246.7 | 248.7 |
| Elements | R1 (Ω) | R2 (Ω) | R3 (Ω) | L1 (nH) | L2 (nH) | L3 (nH) | C1 (pF) | C2 (pF) | C3 (pF) |
|---|---|---|---|---|---|---|---|---|---|
| Values | 49.5 | 46.2 | 49.5 | 0.1 | 0.17 | 0.49 | 3.92 | 5.95 | 8.4 |
| Elements | L1 (nH) | L2 (nH) | C1 (pF) | C2 (pF) | |
|---|---|---|---|---|---|
| Substrates | |||||
| Teflon glass | 10 | 0.7 | 6.45 | 30 | |
| Waterproof paper | 9.9 | 0.62 | 8.8 | 21 | |
| Elements | LS1 (pH) | LS2 (pH) | RS1 (mΩ) | RS2 (mΩ) | RLS1 (mΩ) | RLS2 (mΩ) | CL1 (pF) | CL2 (pF) | |
|---|---|---|---|---|---|---|---|---|---|
| Substrates | |||||||||
| Teflon glass | 10 | 7 | 10 | 50 | 80 | 10 | 0.02 | 0.01 | |
| Waterproof paper | 5 | 10 | 10 | 42 | 50 | 12 | 0.03 | 0.001 | |
| RF-EH Systems | 0° | 30° | 60° | 90° |
|---|---|---|---|---|
| Output DC voltage (mV) | 112 | 103 | 108 | 110 |
| Output DC power (µW) | 6.27 | 5.3 | 5.8 | 6 |
| RF-to-DC efficiency (%) | 63 | 53 | 58.3 | 60.5 |
| RF-EH Systems | Undeformed | Deformed | On Human Body |
|---|---|---|---|
| Output DC voltage (mV) | 119 | 110 | 124 |
| Output DC power (µW) | 7.1 | 6 | 7.68 |
| RF-to-DC efficiency (%) | 70.8 | 60.5 | 77 |
| Ref | System Size (mm3) | Operating Frequency (GHz) | Output DC Power (µW) | RF-to-DC Conversion Efficiency (%) | Substrate Type |
|---|---|---|---|---|---|
| [27] | 80 × 48 × 1.67 | 2.45 | 160 @ 2 dBm | 45 @ +2 dBm | FR-4 |
| [43] | 70 × 87 × 3.63 | 2.45 | 3.36 @ −20 dBm | 33.6 @ −20 dBm | Woven polyester and polyester felt |
| [48] | 200 × 150 × 2.8 | 2.45 | 80 @ 16 mW/m2 | 36.4 @ 16 mW/m2 | double-layer PTFE |
| [49] | 150 × 80 × 4 | 2.45 | 3.1 @ −20 dBm | 31 @ −20 dBm | Rogers 5880 |
| [50] | 45 × 45 × 0.8 | 1.81 | 46.9 @ −9.6 dBm | 61 @ −3.1 dBm | 2 layers PCB |
| [51] | 100 × 390 × 0.9 | 1.8 + 2.15 | 4 @ −20 dBm | 40 @ −20 dBm | RT/Duroid 5880 |
| [52] | 60 × 60 × 0.76 | 0.915/2.45 | 4.55 @ −15 dBm | 20 @ −15 dBm | Arlon 25N |
| [53] | 100 × 70 × 40 | 2.45 | 6.5 @ 0.2 mW/m2 | 74 @ 0.2 mW/m2 | FR-4 |
| [54] | 70 × 70 × 6 | 2.45 | 79 @ 50 mW/m2 | 64 @ 295 mW/m2 | RO4350B |
| [55] | 78 × 135 × 1.6 | 2.1 | 15 @ −10 dBm | 15 @ −10 dBm | FR-4 |
| [56] | 100 × 100 × 70 | 2.45 | 9.7 @ −10 dBm | 35 @ +10 dBm | FR-4 |
| [57] | 175 × 200 × 84 | 0.9 + 1.8 + 2.17 | 162 @ 1 mW/m2 | 35 @ −20 dBm | RT/Duroid 5880 |
| This work | 54 × 20 × 0.67 59 × 20 × 0.1 | 2.45 | 6.27 @ −20 dBm 7.8 @ −20 dBm | 63 @ −20 dBm77 @ −20 dBm | Teflon glass Waterproof paper |
| Angles | 30° | 60° | 90° |
|---|---|---|---|
| Fr,sim (GHz) | 8.4 | 8.4 | 8.4 |
| Fr,meas (GHz) | 8.2 | 8.1 | 8 |
| CC (pF) | 0.24 | 0.346 | 0.45 |
Publisher’s Note: MDPI stays neutral with regard to jurisdictional claims in published maps and institutional affiliations. |
© 2022 by the authors. Licensee MDPI, Basel, Switzerland. This article is an open access article distributed under the terms and conditions of the Creative Commons Attribution (CC BY) license (https://creativecommons.org/licenses/by/4.0/).
Share and Cite
Benkalfate, C.; Ouslimani, A.; Kasbari, A.-E.; Feham, M. A New Compact Triple-Band Triangular Patch Antenna for RF Energy Harvesting Applications in IoT Devices. Sensors 2022, 22, 8009. https://doi.org/10.3390/s22208009
Benkalfate C, Ouslimani A, Kasbari A-E, Feham M. A New Compact Triple-Band Triangular Patch Antenna for RF Energy Harvesting Applications in IoT Devices. Sensors. 2022; 22(20):8009. https://doi.org/10.3390/s22208009
Chicago/Turabian StyleBenkalfate, Chemseddine, Achour Ouslimani, Abed-Elhak Kasbari, and Mohammed Feham. 2022. "A New Compact Triple-Band Triangular Patch Antenna for RF Energy Harvesting Applications in IoT Devices" Sensors 22, no. 20: 8009. https://doi.org/10.3390/s22208009
APA StyleBenkalfate, C., Ouslimani, A., Kasbari, A.-E., & Feham, M. (2022). A New Compact Triple-Band Triangular Patch Antenna for RF Energy Harvesting Applications in IoT Devices. Sensors, 22(20), 8009. https://doi.org/10.3390/s22208009

