Cooperative DF Protocol for MIMO Systems Using One-Bit ADCs
Abstract
1. Introduction
- The PEP of MIMO systems that uses one-bit ADCs is proposed. Because the non-linearity of one-bit ADCs hinders the derivation of an exact PEP, the upper bound of the PEP was analyzed instead. It was shown that the analyzed bound is well upper bounded with the simulated result.
- The low-complexity detection scheme for cooperative DF MIMO systems using one-bit ADCs is proposed. The analyzed bound is easily combined with a PEP-based error propagation model reported in [11] in a weighted distance form. Thus, using this bound, the proposed detection scheme can also be obtained in a single weighted distance form. The advantage offered by this proposed detection is that the low-complexity scheme reported in [24] can also be applied; thus, the computational complexity can be significantly reduced.
- In simulations, the proposed detection method provides a significant gain in one-bit ADCs by mitigating the error propagation effect generated from the relay. In addition, the proposed detection can be applied to arbitrary relay protocols similar to [11].
Notation
2. System Model
2.1. Signal Model
2.2. Detection Rule
3. Joint Maximum Likelihood Detection
3.1. Joint Maximum Likelihood Detection
3.2. PEP-Based Maximum Likelihood Detection
4. Proposed Detection
4.1. Proposed Detection Rule
4.1.1. Upper Bound of PEP
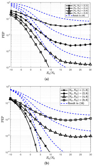
4.1.2. Validity of Upper Bound of PEP
4.1.3. Proposed Detection
4.2. Extension to Other Relaying Protocols
4.3. Complexity Analysis
5. Simulations
6. Conclusions
Funding
Institutional Review Board Statement
Informed Consent Statement
Data Availability Statement
Conflicts of Interest
Appendix A
References
- Swindlehurst, A.L.; Ayanoglu, E.; Heydari, P.; Capolino, F. Millimeter-Wave Massive MIMO: The Next Wireless Revolution? IEEE Commun. Mag. 2014, 52, 56–62. [Google Scholar] [CrossRef]
- Busari, S.A.; Huq, K.M.S.; Mumtaz, S.; Dai, L.; Rodriguez, J. Millimeter-Wave Massive MIMO Communication for Future Wireless Systems: A survey. IEEE Commun. Surv. Tut. 2017, 20, 836–869. [Google Scholar] [CrossRef]
- Fan, L.; Jin, S.; Wen, C.K.; Zhang, H. Uplink Achievable Rate for Massive MIMO Systems With Low-Resolution ADC. IEEE Commun. Lett. 2015, 19, 2186–2189. [Google Scholar] [CrossRef]
- Li, Y.; Tao, C.; Seco-Granados, G.; Mezghani, A.; Swindlehurst, A.L.; Liu, L. Channel Estimation and Performance Analysis of One-Bit Massive MIMO systems. IEEE Trans. Signal Process. 2017, 65, 4075–4089. [Google Scholar] [CrossRef]
- Jacobsson, S.; Durisi, G.; Coldrey, M.; Gustavsson, U.; Studer, C. Throughput Analysis of Massive MIMO Uplink with Low-Resolution ADCs. IEEE Trans. Wirel. Commun. 2017, 16, 4038–4051. [Google Scholar] [CrossRef]
- Sendonaris, A.; Erkip, E.; Aazhang, B. User Cooperation Diversity Part II: Implementatoin Aspects and Performance Analysis. IEEE Trans. Commun. 2003, 51, 1939–1948. [Google Scholar] [CrossRef]
- Sharma, G.V.V.; Ganwani, V.; Desai, U.B.; Merchant, S.N. Perforamnce Analysis of Maximum Likelihood Detectin for Decode and Forward MIMO Relay Channels in Rayleigh Fading. IEEE Trans. Wirel. Commun. 2010, 9, 2880–2889. [Google Scholar] [CrossRef]
- Bansal, A.; Bhatnagar, M.R.; Hjørungnes, A.; Han, Z. Low-Complexity Decoding in DF MIMO Relaying System. IEEE Trans. Veh. Technol. 2013, 62, 1123–1137. [Google Scholar] [CrossRef]
- Guan, W.; Liu, K.J.R. Mitigating Error Propagation for Wireless Network Coding. IEEE Trans. Wirel. Commun. 2012, 11, 3632–3643. [Google Scholar] [CrossRef][Green Version]
- Chen, D.; Laneman, J.N. Modulation and Demodulation for Cooperative Diversity in Wireless Systems. IEEE Trans. Wirel. Commun. 2006, 5, 1785–1794. [Google Scholar] [CrossRef]
- Kim, H.-M.; Kim, T.-K.; Min, M.; Im, G.H. Low-Complexity Detection Scheme for Cooperative MIMO Systems with Decode-and-Forward Relays. IEEE Trans. Commun. 2015, 63, 94–106. [Google Scholar]
- Wen, C.-K.; Wang, C.-J.; Jin, S.; Wong, K.-K.; Ting, P. Bayes-Optimal Joint Channel-and-Data Estimation for Massive MIMO with Low-Precision ADCs. IEEE Trans. Signal Process. 2016, 64, 2541–2556. [Google Scholar] [CrossRef]
- Mo, J.; Heath, R.W. Capacity Analysis of One-Bit Quantized MIMO Systems with Transmitter Channel State Information. IEEE Trans. Signal Process. 2015, 63, 5498–5512. [Google Scholar] [CrossRef]
- Saxena, A.K.; Fijalkow, I.; Swindlehurst, A.L. Analysis of One-Bit Quantized Precoding for the Multiuser Massive MIMO Downlink. IEEE Trans. Signal Process. 2017, 65, 4624–4634. [Google Scholar] [CrossRef]
- Moll’en, C.; Choi, J.; Larsson, E.G.; Heath, R.W. Uplink Performance of Wideband Massive MIMO with One-Bit ADCs. IEEE Trans. Wirel. Commun. 2017, 16, 87–100. [Google Scholar] [CrossRef]
- Wang, H.; Wen, C.-K.; Jin, S. Bayesian Optimal Data Detector for mmWave OFDM System with Low-Resolution ADC. IEEE J. Sel. Areas Commun. 2017, 35, 1962–1979. [Google Scholar] [CrossRef]
- Kong, C.; Mezghani, A.; Zhong, C.; Swindlehurts, A.L.; Zhang, Z. Multipair Massive MIMO Relaying Systems With One-Bit ADCs and DACs. IEEE Trans. Sig. Process. 2018, 66, 2984–2997. [Google Scholar] [CrossRef]
- Yu, C.; Dai, X.; Yin, H.; Jiang, F. Full-duplex massive MIMO Relaying Systems with Low-Resolution ADCs over Rician Fading Channels. IET Commun. 2019, 13, 3088–3096. [Google Scholar] [CrossRef]
- Dai, J.; Liu, J.; Wang, J.; Zhao, J.; Cheng, C.; Wang, J. Achievable Rates for Full-Duplex Massive MIMO Systems with Low-Resolution ADCs/DACs. IEEE Access 2019, 7, 24343–24353. [Google Scholar] [CrossRef]
- Yu, S.; Liu, X.; Cao, J.; Zhang, Y. Low-Resolution ADCs for Two-Hop Massive MIMO Relay System under Rician Channels. Entropy 2021, 23, 1074. [Google Scholar] [CrossRef]
- Cao, C.; Li, H.; Hu, Z.; Zeng, H. One-Bit Transceiver Cluster for Relay Transmission. IEEE Commun. Lett. 2017, 21, 925–928. [Google Scholar] [CrossRef]
- Kim, D.; Hong, S.-N.; Lee, N. Supervised-Learning for Multi-Hop MU-MIMO Communications with One-Bit Transceivers. IEEE J. Sel. Areas Commun. 2019, 37, 2559–2572. [Google Scholar] [CrossRef]
- Kim, S.; Hong, S.-N. A Supervised-Learning Detector for Multihop Distributed Reception Systems. IEEE Trans. Veh. Tech. 2019, 68, 1958–1962. [Google Scholar] [CrossRef]
- Jeon, Y.-S.; Lee, N.; Hong, S.-N.; Heath, R.W. One-Bit Sphere Decoding for Uplink Massive MIMO Systems with One-Bit ADCs. IEEE Trans. Wirel. Commun. 2018, 17, 4509–4521. [Google Scholar] [CrossRef]
- Kim, T.-K.; Min, M.; Jeon, Y.-S. Performance Bound for MIMO Systems using One-Bit ADCs over Rayleigh Fading Channels. IEEE Trans. Veh. Tech. 2022, 71, 9067–9072. [Google Scholar] [CrossRef]
- Hassibi, B.; Vikalo, H. On the Sphere-Decoding Algorithm I. Expected Complexity. IEEE Trans. Signal Process. 2005, 53, 2806–2818. [Google Scholar] [CrossRef]
- Nguyen, S.L.H.; Ghrayeb, A.; Al-Habian, G.; Hasna, M. Mitigating Error Propagation in Two-Way Relay Channels with Network Coding. IEEE Trans. Wirel. Commun. 2010, 9, 3380–3390. [Google Scholar]
- Lee, K.; Hanzo, L. MIMO-Assisted Hard versus Soft Decoding-and-Forwarding for Network Coding Aided Relaying Systems. IEEE Trans. Wirel. Commun. 2009, 8, 376–385. [Google Scholar] [CrossRef]
- Laneman, J.N.; Tse, D.N.C.; Wornell, G.W. Cooperative Diversity in Wireless Networks: Efficient Protocols and Outage Behavior. IEEE Trans. Inf. Theory 2004, 50, 3062–3080. [Google Scholar] [CrossRef]








| Papers | Descriptions | Performance Measure |
|---|---|---|
| [17] | Multipair MIMO relay using one-bit transceivers | Capacity |
| [18] | Massive MIMO relay using one-bit transceivers | Capacity |
| [21] | Relay cluster using one-bit transceivers | Error rate |
| [22] | Multihop relay using one-bit transceivers | Error rate |
| Symbols | Descriptions |
|---|---|
| transmitted signal at node a | |
| channel matrix between nodes a and b | |
| noise signal at node b | |
| received signal at node b | |
| quantized signal at node b | |
| the likelihood function when signal is transmitted | |
| (noise-free) codeword between nodes a and b | |
| the weighted Hamming distance |
| Detection Schemes | Number of Real Multiplications | Example |
|---|---|---|
| JML | 32,526,336 | |
| MRC | 90,112 | |
| Proposed detection | 2,359,296 |
Publisher’s Note: MDPI stays neutral with regard to jurisdictional claims in published maps and institutional affiliations. |
© 2022 by the author. Licensee MDPI, Basel, Switzerland. This article is an open access article distributed under the terms and conditions of the Creative Commons Attribution (CC BY) license (https://creativecommons.org/licenses/by/4.0/).
Share and Cite
Kim, T.-K. Cooperative DF Protocol for MIMO Systems Using One-Bit ADCs. Sensors 2022, 22, 7843. https://doi.org/10.3390/s22207843
Kim T-K. Cooperative DF Protocol for MIMO Systems Using One-Bit ADCs. Sensors. 2022; 22(20):7843. https://doi.org/10.3390/s22207843
Chicago/Turabian StyleKim, Tae-Kyoung. 2022. "Cooperative DF Protocol for MIMO Systems Using One-Bit ADCs" Sensors 22, no. 20: 7843. https://doi.org/10.3390/s22207843
APA StyleKim, T.-K. (2022). Cooperative DF Protocol for MIMO Systems Using One-Bit ADCs. Sensors, 22(20), 7843. https://doi.org/10.3390/s22207843

