A Method for Extracting Debye Parameters as a Tool for Monitoring Watered and Contaminated Soils
Abstract
1. Introduction
2. State-of-the-Art Methods and the Proposed Solution
3. Background
- a probe;
- the instrument for generating/receiving the electromagnetic (EM) signal;
- an elaboration unit to acquire and process the measured data.
4. Materials and Methods
4.1. Experimental Setup
4.2. Methodological Procedure and Description of the Experiments
- (1)
- Initially, the probe model was optimized through a parametric study using the commercial software CST Microwave Studio. During this optimization procedure, different probe settings such as the dielectric permittivity of the probe head, the discrete port position, and the electrical conductivity of the bars were determined. The optimization procedure was based on the minimum difference between the measured S11(f) and that obtained via simulations. This was done so that the developed model, utilizing the optimal probe settings, is a good representation of the experimental setup used in the laboratory;
- (2)
- Subsequently, a validation procedure was performed utilizing well-referenced materials (i.e., methanol and isopropyl alcohol, also called prop-2-ol). An experimental campaign to obtain a set of S11(f) for different liquids was conducted, each time measuring the temperature of the sample using a thermometer with a tip immersed in the sample. Then the Debye parameters of the MUT at the measured temperature were taken from the literature [47] and loaded into CST. The S11(f) as obtained from simulation and measurements were compared;
- (3)
- Good agreement between measurements on reference liquids and simulations carried out using the probe model settings as identified in step (1) was achieved, demonstrating the correct modelling of the probe in CST;
- (4)
- Finally, the two rods were immersed in the MUT and the unknown Debye parameters were retrieved using an optimization procedure based on the minimization of the differences between the measured S11(f) and the modelled S11,MOD(f).
- Reference materials: air, methanol, and prop-2-ol;
- Sand with different moisture contents: 0%, 5%, 10%, 15%, 20%, 25%, and 30%;
- Contaminated sand at different diesel oil percentages: 0%, 5%, 7.5%, and 10%.
5. Experimental Results
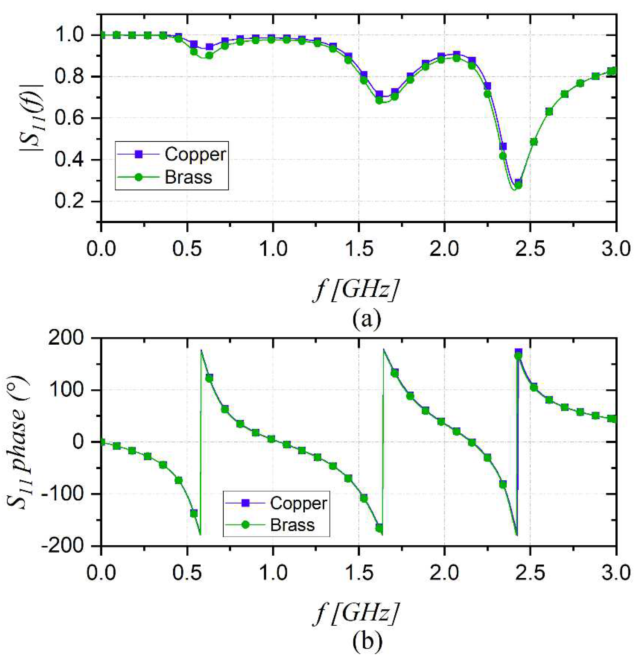
5.1. Preliminary Experimental Validation
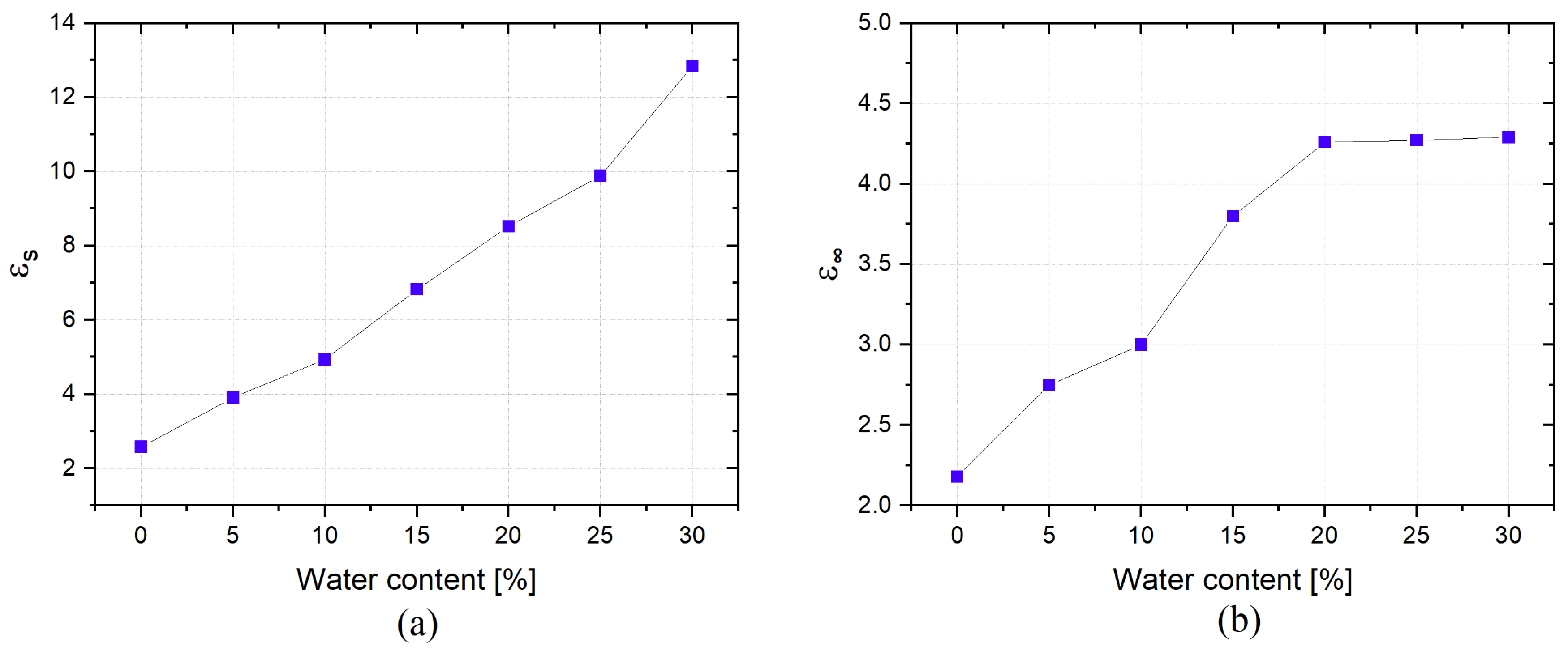
5.2. Experimental Results on Sand with Different Moisture Contents
5.3. Experimental Results on Contaminated Sand with Diesel Oil
6. Conclusions and Future Works
Author Contributions
Funding
Conflicts of Interest
References
- Bloem, J.; Schouten, T.; Sørensen, S.; Rutgers, M.; Werf, A.; Breure, A. Monitoring and evaluating soil quality. In Microbiological Methods for Assessing Soil Quality; CABI Publishing: Wallingford, UK, 2005. [Google Scholar]
- Ochsner, E.; Cosh, M.H.; Cuenca, R.; Hagimoto, Y.; Kerr, Y.H.; Njoku, E.G.; Zreda, M. State of the Art in Large-Scale Soil Moisture Monitoring. Soil Sci. Soc. Am. J. 2013, 77, 1888–1919. [Google Scholar] [CrossRef]
- Bond, W.J. Effluent irrigation—An environmental challenge for soil science. Soil Res. 1998, 36, 543–556. [Google Scholar] [CrossRef]
- Costa, J.; Ortuño, M.F.; Chaves, M.M. Deficit Irrigation as a Strategy to Save Water: Physiology and Potential Application to Horticulture. J. Integr. Plant Biol. 2007, 49, 1421–1434. [Google Scholar] [CrossRef]
- Ukaogo, P.O.; Ewuzie, U.; Onwuka, C.V. Environmental pollution: Causes, effects, and the remedies. In Microorganisms for Sustainable Environment and Health; Chowdhary, P., Raj, A., Verma, D., Akhter, Y., Eds.; Elsevier: Amsterdam, The Netherlands, 2020; pp. 419–429. [Google Scholar]
- Pérez-Novo, C.; Bermúdez-Couso, A.; López-Periago, J.; Fernández-Calviño, D.; Arias-Estévez, M. The effect of phosphate on the sorption of copper by acid soils. Geoderma 2009, 150, 166–170. [Google Scholar] [CrossRef]
- Khan, M.J.; Zia, M.S.; Qasim, M. Use of Pesticides and Their Role in Environmental Pollution. Int. Sch. Sci. Res. Innov. 2010, 4, 85–91. [Google Scholar]
- Barman, S.C.; Kisku, G.C.; Salve, P.R.; Misra, D.; Sahu, R.K.; Ramteke, P.W.; Bhargava, S.K. Assessment of industrial effluent and its impact on soil and plants. J. Environ. Biol. 2001, 22, 251–256. [Google Scholar]
- Abdelgwad, A.H.; Said, T.M. Measured Dielectric Permittivity of Contaminated Sandy Soil at Microwave Frequency. J. Microw. Optoelectron. Electromagn. Appl. 2016, 15, 115–122. [Google Scholar] [CrossRef]
- Persico, R.; Leucci, G.; Matera, L.; De Giorgi, L.; Soldovieri, F.; Cataldo, A.; Cannazza, G.; De Benedetto, E. Effect of the height of the observation line on the the diffraction curve in GPR prospecting. Near Surf. Geophys. 2015, 13, 243–252. [Google Scholar] [CrossRef]
- Gardner, W.; Kirkham, D. Determination of Soil Moisture by Neutron Scattering. Soil Sci. 1952, 73, 391–402. [Google Scholar] [CrossRef]
- Reginato, R.J.; Van Bavel, C.H.M. Soil Water Measurement with Gamma Attenuation. Soil Sci. Soc. Am. J. 1964, 28, 721–724. [Google Scholar] [CrossRef]
- Nanni, M.R.; Demattê, J.A.M. Spectral Reflectance Methodology in Comparison to Traditional Soil Analysis. Soil Sci. Soc. Am. J. 2006, 70, 393–407. [Google Scholar] [CrossRef]
- Kraszewski, A.W.; Nelson, S.O. Resonant Cavity Perturbation-Some New Applications of an Old Measuring Technique. J. Microw. Power Electromagn. Energy 1996, 31, 178–187. [Google Scholar] [CrossRef]
- Costa, F.; Borgese, M.; Degiorgi, M.; Monorchio, A. Electromagnetic Characterisation of Materials by Using Transmission/Reflection (T/R) Devices. Electronics 2017, 6, 95. [Google Scholar] [CrossRef]
- Vergnano, A.; Godio, A.; Raffa, C.M.; Chiampo, F.; Vasquez, J.A.T.; Vipiana, F. Open-Ended Coaxial Probe Measurements of Complex Dielectric Permittivity in Diesel-Contaminated Soil during Bioremediation. Sensors 2020, 20, 6677. [Google Scholar] [CrossRef] [PubMed]
- Cataldo, A.; Cannazza, G.; De Benedetto, E.; Giaquinto, N. Experimental Validation of a Tdr-Based System for Measuring Leak Distances in Buried Metal Pipes. Prog. Electromagn. Res. 2012, 132, 71–90. [Google Scholar] [CrossRef]
- Persico, R.; Farhat, I.; Farrugia, L.; Sammut, C. A Numerical Investigation of the Dispersion Law of Materials by Means of Multi-Length TDR Data. Remote Sens. 2022, 14, 2003. [Google Scholar] [CrossRef]
- Piuzzi, E.; Cannazza, G.; Cataldo, A.; De Benedetto, E.; De Giorgi, L.; Frezza, F.; Leucci, G.; Pisa, S.; Pittella, E.; Prontera, S.; et al. A comparative assessment of microwave-based methods for moisture content characterization in stone materials. Measurement 2018, 114, 493–500. [Google Scholar] [CrossRef]
- Persico, R.; Pieraccini, M. Measurement of dielectric and magnetic properties of Materials by means of a TDR probe. Near Surf. Geophys. 2018, 16, 118–126. [Google Scholar] [CrossRef]
- Schwarzler, C.; Schwarzler, M. A Guide to the NanoVNA: NanoVNA Users Manual; Jokalym Press: 2020. Available online: https://books.google.com.hk/books/about/A_Guide_to_the_NanoVNA.html?id=7dCWzQEACAAJ&redir_esc=y (accessed on 13 September 2022).
- Chung, C.-C.; Lin, C.-P. Apparent Dielectric Constant and Effective Frequency of TDR Measurements: Influencing Factors and Comparison. Vadose Zone J. 2009, 8, 548–556. [Google Scholar] [CrossRef]
- Cataldo, A.; De Benedetto, E.; Cannazza, G.; Piuzzi, E.; Giaquinto, N. Embedded TDR wire-like sensing elements for monitoring applications. Measurement 2015, 68, 236–245. [Google Scholar] [CrossRef]
- Schiavoni, R.; Monti, G.; Piuzzi, E.; Tarricone, L.; Tedesco, A.; De Benedetto, E.; Cataldo, A. Feasibility of a Wearable Reflectometric System for Sensing Skin Hydration. Sensors 2020, 20, 2833. [Google Scholar] [CrossRef] [PubMed]
- Schiavoni, R.; Monti, G.; Tedesco, A.; Tarricone, L.; Piuzzi, E.; De Benedetto, E.; Masciullo, A.; Cataldo, A. Microwave Wearable System for Sensing Skin Hydration. In Proceedings of the 2021 IEEE International Instrumentation and Measurement Technology Conference (I2MTC), Glasgow, UK, 17–20 May 2021; pp. 1–6. [Google Scholar]
- Cataldo, A.; De Benedetto, E.; Schiavoni, R.; Monti, G.; Tedesco, A.; Masciullo, A.; Piuzzi, E.; Tarricone, L. Portable Microwave Reflectometry System for Skin Sensing. IEEE Trans. Instrum. Meas. 2022, 71, 1–8. [Google Scholar] [CrossRef]
- Cataldo, A.; Schiavoni, R.; Masciullo, A.; Cannazza, G.; Micelli, F.; De Benedetto, E. Combined Punctual and Diffused Monitoring of Concrete Structures Based on Dielectric Measurements. Sensors 2021, 21, 4872. [Google Scholar] [CrossRef] [PubMed]
- Cataldo, A.; De Benedetto, E.; Schiavoni, R.; Tedesco, A.; Masciullo, A.; Cannazza, G. Microwave reflectometric systems and monitoring apparatus for diffused-sensing applications. Acta IMEKO 2021, 10, 202–208. [Google Scholar] [CrossRef]
- Pittella, E.; Schiavoni, R.; Monti, G.; Masciullo, A.; Scarpetta, M.; Cataldo, A.; Piuzzi, E. Split Ring Resonator Network and Diffused Sensing Element Embedded in a Concrete Beam for Structural Health Monitoring. Sensors 2022, 22, 6398. [Google Scholar] [CrossRef] [PubMed]
- Cataldo, A.; De Benedetto, E.; Cannazza, G.; Monti, G.; Piuzzi, E. TDR-based monitoring of rising damp through the embedding of wire-like sensing elements in building structures. Measurement 2016, 98, 355–360. [Google Scholar] [CrossRef]
- Cataldo, A.; Monti, G.; De Benedetto, E.; Cannazza, G.; Tarricone, L.; Catarinucci, L. Assessment of a TD-Based Method for Characterization of Antennas. IEEE Trans. Instrum. Meas. 2008, 58, 1412–1419. [Google Scholar] [CrossRef]
- Kim, D.-J.; Yu, J.-D.; Byun, Y.-H. Horizontally Elongated Time Domain Reflectometry System for Evaluation of Soil Moisture Distribution. Sensors 2020, 20, 6834. [Google Scholar] [CrossRef]
- Piuzzi, E.; Cataldo, A.; Cannazza, G.; De Benedetto, E. An Improved Reflectometric Method for Soil Moisture Measurement Exploiting an Innovative Triple-Short Calibration. IEEE Trans. Instrum. Meas. 2010, 59, 2747–2754. [Google Scholar] [CrossRef]
- Cataldo, A.; De Benedetto, E.; Cannazza, G.; Piuzzi, E.; Pittella, E. TDR-Based Measurements of Water Content in Construction Materials for In-the-Field Use and Calibration. IEEE Trans. Instrum. Meas. 2018, 67, 1230–1237. [Google Scholar] [CrossRef]
- Piuzzi, E.; Cannazza, G.; Cataldo, A.; Chicarella, S.; De Benedetto, E.; Frezza, F.; Pisa, S.; Prontera, S.; Timpani, F. Measurement System for Evaluating Dielectric Permittivity of Granular Materials in the 1.7–2.6-GHz Band. IEEE Trans. Instrum. Meas. 2016, 65, 1051–1059. [Google Scholar] [CrossRef]
- Cataldo, A.; De Benedetto, E.; Masciullo, A.; Cannazza, G. A new measurement algorithm for TDR-based localization of large dielectric permittivity variations in long-distance cable systems. Measurement 2021, 174, 109066. [Google Scholar] [CrossRef]
- Giaquinto, N.; D’Aucelli, G.M.; De Benedetto, E.; Cannazza, G.; Cataldo, A.; Piuzzi, E.; Masciullo, A. Criteria for Automated Estimation of Time of Flight in TDR Analysis. IEEE Trans. Instrum. Meas. 2016, 65, 1215–1224. [Google Scholar] [CrossRef]
- Cataldo, A.; Cannazza, G.; De Benedetto, E.; Giaquinto, N. A TDR-based system for the localization of leaks in newly installed, underground pipes made of any material. Meas. Sci. Technol. 2012, 23, 105010. [Google Scholar] [CrossRef]
- Cataldo, A.; De Benedetto, E.; Cannazza, G.; Giaquinto, N.; Savino, M.; Adamo, F. Leak detection through microwave reflectometry: From laboratory to practical implementation. Measurement 2014, 47, 963–970. [Google Scholar] [CrossRef]
- Cataldo, A.; De Benedetto, E.; Angrisani, L.; Cannazza, G.; Piuzzi, E. A Microwave Measuring System for Detecting and Localizing Anomalies in Metallic Pipelines. IEEE Trans. Instrum. Meas. 2020, 70, 1–11. [Google Scholar] [CrossRef]
- Cataldo, A.; Tarricone, L.; Attivissimo, F.; Trotta, A. Simultaneous measurement of dielectric properties and levels of liquids using a TDR method. Measurement 2008, 41, 307–319. [Google Scholar] [CrossRef]
- Attivissimo, F.; Cataldo, A.; Fabbiano, L.; Giaquinto, N. Systematic errors and measurement uncertainty: An experimental approach. Measurement 2011, 44, 1781–1789. [Google Scholar] [CrossRef]
- Mantas, P. Dielectric response of materials: Extension to the Debye model. J. Eur. Ceram. Soc. 1999, 19, 2079–2086. [Google Scholar] [CrossRef]
- Huang, K.; He, Z.; Liu, S.-H. An iterative Debye dispersion model for a horizontal multi-layered material. AIP Adv. 2020, 10, 025015. [Google Scholar] [CrossRef]
- Cruciani, S.; De Santis, V.; Feliziani, M.; Maradei, F. Cole-Cole vs Debye models for the assessment of electromagnetic fields inside biological tissues produced by wideband EMF sources. In 2012 Asia-Pacific Symposium on Electromagnetic Compatibility; IEEE: Singapore, 2012; pp. 685–688. [Google Scholar] [CrossRef]
- Feng, W.; Lin, C.P.; Deschamps, R.J.; Drnevich, V.P. Theoretical model of a multisection time domain reflectometry measurement system. Water Resour. Res. 1999, 35, 2321–2331. [Google Scholar] [CrossRef]
- Gregory, A.P.; Clarke, R.N. Tables of the Complex Permittivity of Dielectric Reference Liquids at Frequencies up to 5 GHz; National Physical Laboratory Report; 2012. Available online: https://eprintspublications.npl.co.uk/2076/ (accessed on 13 September 2022).
- Farr, E.G.; Frost, C.A. Ultra-Wideband Antennas and Propagation. Volume 4: Impulse Propagation Measurements of Water, Dry Sand, Moist Sand, and Concrete; Farr Research Albuquerque Nm, Paseo Del Mar NE: Albuquerque, NM, USA, 1997. [Google Scholar]












| MUT | (ps) | ||
|---|---|---|---|
| Methanol | 33.64 | 5.65 | 56.39 |
| Prop-2-ol | 20.11 | 3.56 | 453.43 |
| MUT | RMSE |
|---|---|
| Air | 0.10 |
| Methanol | 0.09 |
| Prop-2-ol | 0.06 |
| MUT | (ps) | ||
|---|---|---|---|
| Sand (dry) | 2.58 | 2.18 | 21.50 |
| Sand (water = 5%) | 3.90 | 2.75 | 23.20 |
| Sand (water = 10%) | 4.93 | 3.00 | 25.00 |
| Sand (water = 15%) | 6.82 | 3.80 | 24.90 |
| Sand (water = 20%) | 8.52 | 4.26 | 23.00 |
| Sand (water = 25%) | 9.88 | 4.27 | 23.50 |
| Sand (water = 30%) | 12.83 | 4.29 | 24.00 |
| MUT | (ps) | ||
|---|---|---|---|
| Sand (dry) | 2.58 | 2.18 | 21.50 |
| Sand (diesel oil = 5%) | 2.72 | 2.23 | 21.50 |
| Sand (diesel oil = 7.5%) | 2.84 | 2.29 | 21.50 |
| Sand (diesel oil = 10%) | 2.90 | 2.21 | 21.50 |
Publisher’s Note: MDPI stays neutral with regard to jurisdictional claims in published maps and institutional affiliations. |
© 2022 by the authors. Licensee MDPI, Basel, Switzerland. This article is an open access article distributed under the terms and conditions of the Creative Commons Attribution (CC BY) license (https://creativecommons.org/licenses/by/4.0/).
Share and Cite
Cataldo, A.; Farhat, I.; Farrugia, L.; Persico, R.; Schiavoni, R. A Method for Extracting Debye Parameters as a Tool for Monitoring Watered and Contaminated Soils. Sensors 2022, 22, 7805. https://doi.org/10.3390/s22207805
Cataldo A, Farhat I, Farrugia L, Persico R, Schiavoni R. A Method for Extracting Debye Parameters as a Tool for Monitoring Watered and Contaminated Soils. Sensors. 2022; 22(20):7805. https://doi.org/10.3390/s22207805
Chicago/Turabian StyleCataldo, Andrea, Iman Farhat, Lourdes Farrugia, Raffaele Persico, and Raissa Schiavoni. 2022. "A Method for Extracting Debye Parameters as a Tool for Monitoring Watered and Contaminated Soils" Sensors 22, no. 20: 7805. https://doi.org/10.3390/s22207805
APA StyleCataldo, A., Farhat, I., Farrugia, L., Persico, R., & Schiavoni, R. (2022). A Method for Extracting Debye Parameters as a Tool for Monitoring Watered and Contaminated Soils. Sensors, 22(20), 7805. https://doi.org/10.3390/s22207805

