Precision Enhancement of Wireless Localization System Using Passive DOA Multiple Sensor Network for Moving Target
Abstract
1. Introduction
2. Related Works
3. Multi-Stations Localization Techniques
3.1. System Description
3.2. Triple Base Stations Localization System
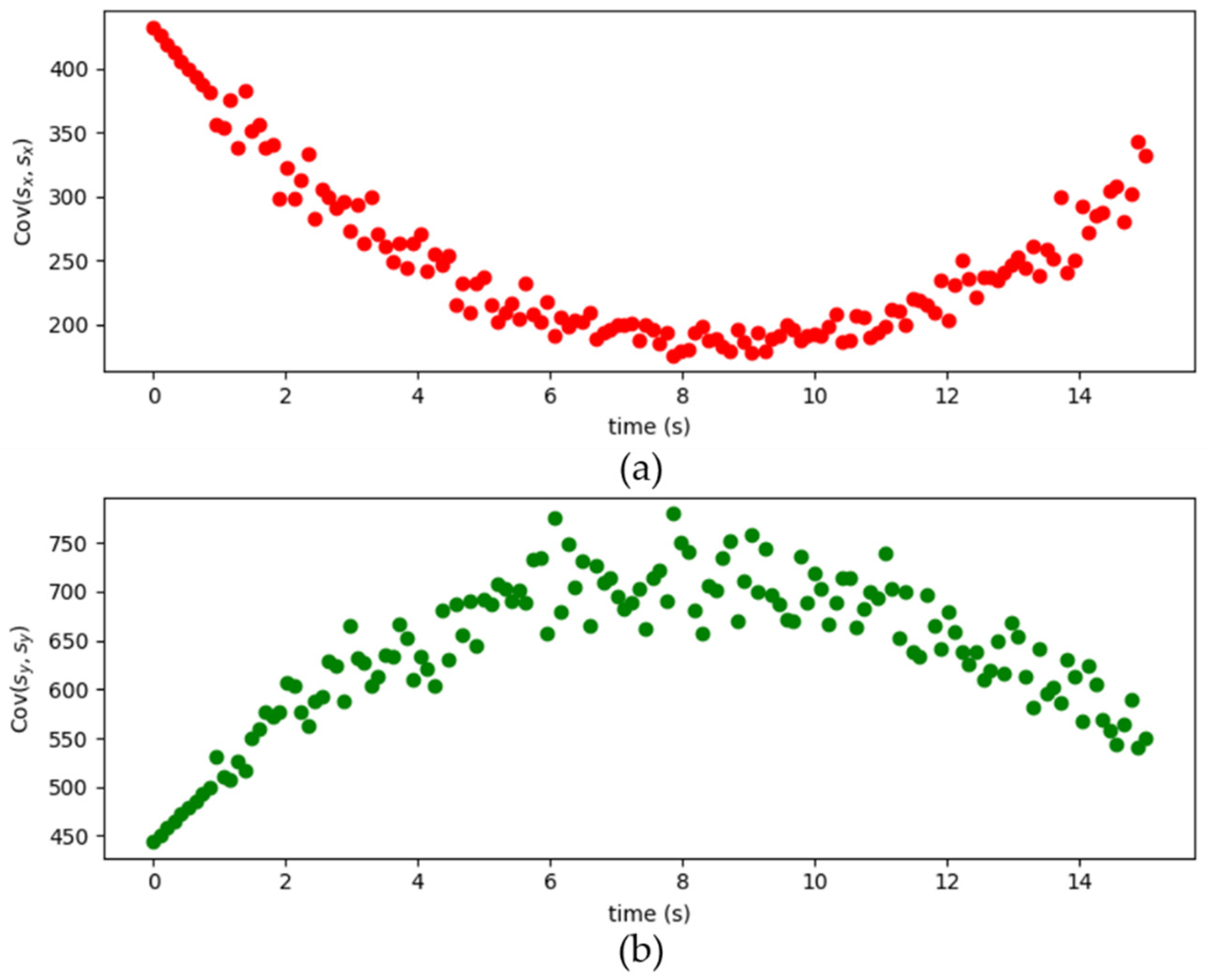
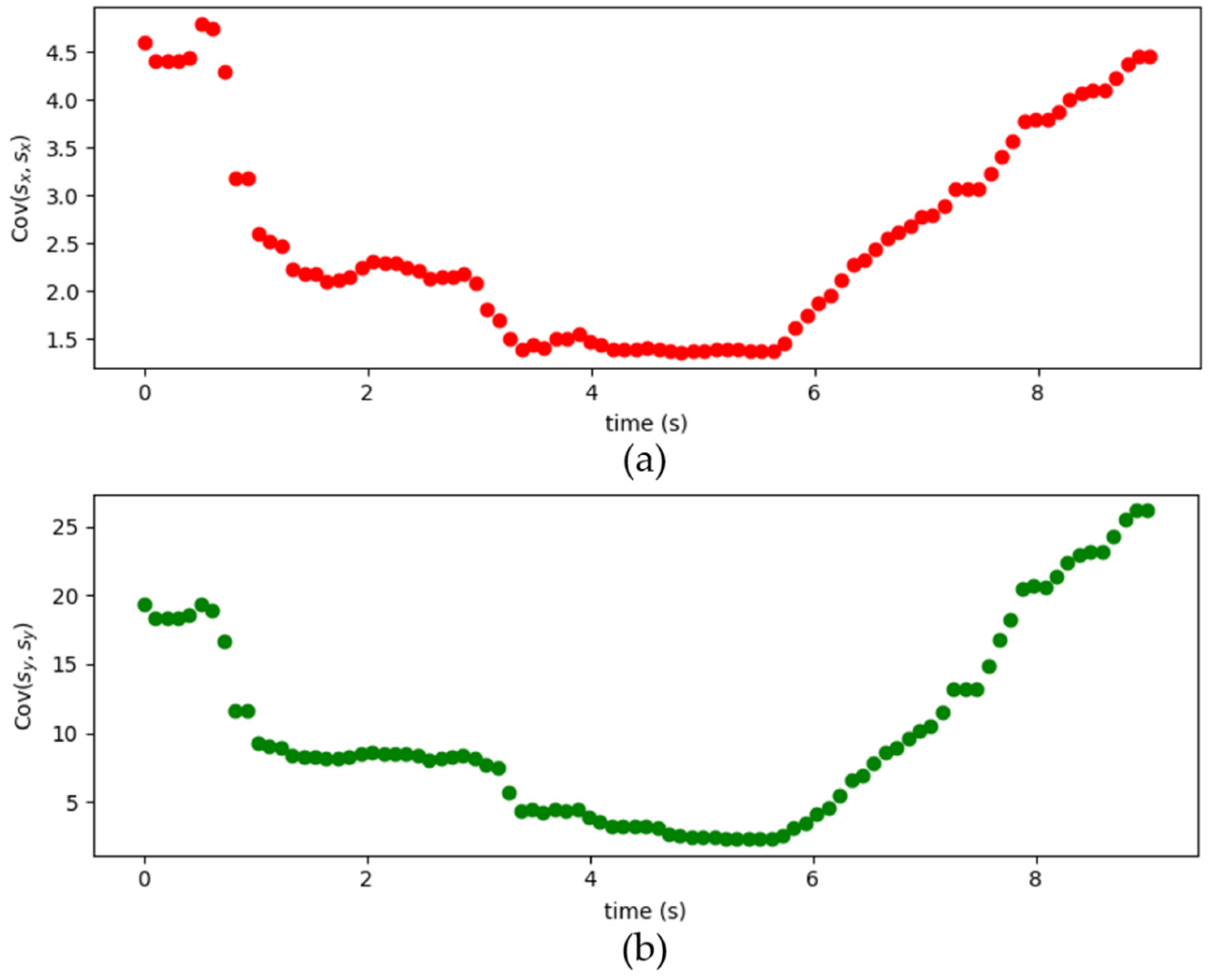
4. Moving Target
| Algorithm 1 Algorithm for Kalman Filter [33]. | ||
| Known parameters: | 1. | : state vector predicted by at |
| 2. | : transition matrix at | |
| 3. | : observation matrix at | |
| 4. | : covariance matrix of system noise at | |
| 5. | : covariance matrix of measurement noise at | |
| Initial conditions: | 6. | where |
| 7. | ||
| Input: | 8. | : prediction location of target at |
| 9. | : time difference between and | |
| Output: | 10. | Calculate by Algorithm 2. |
| 11. | ||
| 12. | ||
| 13. | ||
| 14. | ||
| 15. | ||
| 16. | ||
| (Memorization/Delay) | ||
| 17. | ||
| 18. | ||
| 19. | return | |
| Algorithm 2 Algorithm for Calculating . | ||
| Input: | 1. | time difference between and |
| Output: | 2. | return |
5. Measurement
5.1. Single Base station
5.2. Two Basestations
6. Conclusions
Author Contributions
Funding
Conflicts of Interest
References
- Mogyorósi, F.; Revisnyei, P.; Pašić, A.; Papp, Z.; Törös, I.; Varga, P.; Pašić, A. Positioning in 5G and 6G Networks—A Survey. Sensors 2022, 22, 4757. [Google Scholar] [CrossRef] [PubMed]
- Wu, L.; Chen, C.-H.; Zhang, Q. A Mobile Positioning Method Based on Deep Learning Techniques. Electronics 2019, 8, 59. [Google Scholar] [CrossRef]
- Mensing, C.; Plass, S. Positioning Algorithms for Cellular Networks Using TDOA. In Proceedings of the 2006 IEEE International Conference on Acoustics Speech and Signal Processing, Toulouse, France, 14–19 May 2006; p. IV. [Google Scholar] [CrossRef]
- Li, D.; Lei, Y.; Zhang, H. A Novel Outdoor Positioning Technique Using LTE Network Fingerprints. Sensors 2020, 20, 1691. [Google Scholar] [CrossRef]
- Caffery, J.J. Wireless Location in CDMA Cellular Radio Systems; Kluwer Academic Publishers: Norwell, MA, USA, 2000. [Google Scholar]
- del Peral-Rosado, J.A.; Raulefs, R.; López-Salcedo, J.A.; Seco-Granados, G. Survey of Cellular Mobile Radio Localization Methods: From 1G to 5G. IEEE Commun. Surv. Tutor. 2018, 20, 1124–1148. [Google Scholar] [CrossRef]
- Wu, G. Analysis of Multi-Path Fading and the Doppler Effect for Reconfigurable-Intelligent-Surface-Assisted Wireless Networks. Entropy 2022, 24, 281. [Google Scholar] [CrossRef]
- Turin, G.L.; Clapp, F.D.; Johnston, T.L.; Fine, S.B.; Lavry, D. A statistical model of urban multipath propagation. IEEE Trans. Veh. Technol. 1972, 21, 1–9. [Google Scholar] [CrossRef]
- Saleh, A.A.M.; Valenzuela, R. A Statistical Model for Indoor Multipath Propagation. IEEE J. Sel. Areas Commun. 1987, 5, 128–137. [Google Scholar] [CrossRef]
- Wei, Y.; Sun, B.; Zhou, Y.; Wang, H. Non-Line-of-Sight Moving Target Detection Method Based on Noise Suppression. Remote Sens. 2022, 14, 1614. [Google Scholar] [CrossRef]
- Hua, J.; Yin, Y.; Lu, W.; Zhang, Y.; Li, F. NLOS Identification and Positioning Algorithm Based on Localization Residual in Wireless Sensor Networks. Sensors 2018, 18, 2991. [Google Scholar] [CrossRef]
- Wylie, M.P.; Holtzman, J. The non-line of sight problem in mobile location estimation. In Proceedings of the ICUPC—5th International Conference on Universal Personal Communications, Cambridge, MA, USA, 2 October 1996; Volume 2, pp. 827–831. [Google Scholar] [CrossRef]
- Qi, Y.; Kobayashi, H.; Suda, H. Analysis of wireless geolocation in a non-line-of-sight environment. IEEE Trans. Wirel. Commun. 2006, 5, 672–681. [Google Scholar] [CrossRef]
- Babalola, O.P.; Balyan, V. WiFi Fingerprinting Indoor Localization Based on Dynamic Mode Decomposition Feature Selection with Hidden Markov Model. Sensors 2021, 21, 6778. [Google Scholar] [CrossRef] [PubMed]
- Wang, J.; Park, J. An Enhanced Indoor Positioning Algorithm Based on Fingerprint Using Fine-Grained CSI and RSSI Measurements of IEEE 802.11n WLAN. Sensors 2021, 21, 2769. [Google Scholar] [CrossRef] [PubMed]
- Liu, H.; Darabi, H.; Banerjee, P.; Liu, J. Survey of Wireless Indoor Positioning Techniques and Systems. IEEE Trans. Syst. Man Cybern. Part C (Appl. Rev.) 2007, 37, 1067–1080. [Google Scholar] [CrossRef]
- He, S.; Chan, S.-G. Wi-Fi Fingerprint-Based Indoor Positioning: Recent Advances and Comparisons. IEEE Commun. Surv. Tutor. 2016, 18, 466–490. [Google Scholar] [CrossRef]
- Subakti, H.; Liang, H.-S.; Jiang, J.-R. Indoor Localization with Fingerprint Feature Extraction. In Proceedings of the 2020 IEEE Eurasia Conference on IOT, Communication and Engineering (ECICE), Yunlin, Taiwan, 23–25 October 2020; pp. 239–242. [Google Scholar] [CrossRef]
- Li, G.; Geng, E.; Ye, Z.; Xu, Y.; Lin, J.; Pang, Y. Indoor Positioning Algorithm Based on the Improved RSSI Distance Model. Sensors 2018, 18, 2820. [Google Scholar] [CrossRef]
- Zhang, T.; Zhang, P.; Kalathas, P.; Wang, G.; Liu, H. A Machine Learning Approach to Improve Ranging Accuracy with AoA and RSSI. Sensors 2022, 22, 6404. [Google Scholar] [CrossRef]
- Xu, Y.; Zhou, J.; Zhang, P. RSS-Based Source Localization When Path-Loss Model Parameters are Unknown. IEEE Commun. Lett. 2014, 18, 1055–1058. [Google Scholar] [CrossRef]
- Sari, R.; Zayyani, H. RSS Localization Using Unknown Statistical Path Loss Exponent Model. IEEE Commun. Lett. 2018, 22, 1830–1833. [Google Scholar] [CrossRef]
- Wu, P.; Su, S.; Zuo, Z.; Guo, X.; Sun, B.; Wen, X. Time Difference of Arrival (TDoA) Localization Combining Weighted Least Squares and Firefly Algorithm. Sensors 2019, 19, 2554. [Google Scholar] [CrossRef]
- Alarifi, A.; Al-Salman, A.; Alsaleh, M.; Alnafessah, A.; Al-Hadhrami, S.; Al-Ammar, M.A.; Al-Khalifa, H.S. Ultra Wideband Indoor Positioning Technologies: Analysis and Recent Advances. Sensors 2016, 16, 707. [Google Scholar] [CrossRef]
- Ho, K.C.; Chan, Y.T. Solution and performance analysis of geolocation by TDOA. IEEE Trans. Aerosp. Electron. Syst. 1993, 29, 1311–1322. [Google Scholar] [CrossRef]
- Ma, X.; Ballal, T.; Chen, H.; Aldayel, O.; Al-Naffouri, T.Y. A Maximum-Likelihood TDOA Localization Algorithm Using Difference-of-Convex Programming. IEEE Signal Process. Lett. 2021, 28, 309–313. [Google Scholar] [CrossRef]
- Ye, R.; Redfield, S.; Liu, H. High-precision indoor UWB localization: Technical challenges and method. In Proceedings of the 2010 IEEE International Conference on Ultra-Wideband, Nanjing, China, 20–23 September 2010; pp. 1–4. [Google Scholar] [CrossRef]
- Li, Z.; Li, X.; Mou, G.; Jiang, D.; Bao, X.; Wang, Y. Design of Localization System Based on Ultra-Wideband and Long Range Wireless. In Proceedings of the 2019 IEEE 11th International Conference on Advanced Infocomm Technology (ICAIT), Jinan, China, 18–20 October 2019; pp. 142–146. [Google Scholar] [CrossRef]
- Zhang, H.; Zhang, Z. AOA-Based Three-Dimensional Positioning and Tracking Using the Factor Graph Technique. Symmetry 2020, 12, 1400. [Google Scholar] [CrossRef]
- Xu, J.; Ma, M.; Law, C.L. AOA Cooperative Position Localization. In Proceedings of the IEEE GLOBECOM 2008—2008 IEEE Global Telecommunications Conference, New Orleans, LA, USA, 30 November–4 December 2008; pp. 1–5. [Google Scholar] [CrossRef]
- Wang, H.; Kaveh, M. Coherent signal-subspace processing for the detection and estimation of angles of arrival of multiple wide-band sources. IEEE Trans. Acoust. Speech Signal Process. 1985, 33, 823–831. [Google Scholar] [CrossRef]
- Spencer, Q.H.; Jeffs, B.D.; Jensen, M.A.; Swindlehurst, A.L. Modeling the statistical time and angle of arrival characteristics of an indoor multipath channel. IEEE J. Sel. Areas Commun. 2000, 18, 347–360. [Google Scholar] [CrossRef]
- Haykin, S. Adaptive Filter Theory, 5/e; Prentice Hall: Hoboken, NJ, USA, 2013. [Google Scholar]
- Paul, A.S.; Wan, E.A. RSSI-Based Indoor Localization and Tracking Using Sigma-Point Kalman Smoothers. IEEE J. Sel. Top. Signal Process. 2009, 3, 860–873. [Google Scholar] [CrossRef]


















Publisher’s Note: MDPI stays neutral with regard to jurisdictional claims in published maps and institutional affiliations. |
© 2022 by the authors. Licensee MDPI, Basel, Switzerland. This article is an open access article distributed under the terms and conditions of the Creative Commons Attribution (CC BY) license (https://creativecommons.org/licenses/by/4.0/).
Share and Cite
Chen, C.-B.; Lo, T.-Y.; Chang, J.-Y.; Huang, S.-P.; Tsai, W.-T.; Liou, C.-Y.; Mao, S.-G. Precision Enhancement of Wireless Localization System Using Passive DOA Multiple Sensor Network for Moving Target. Sensors 2022, 22, 7563. https://doi.org/10.3390/s22197563
Chen C-B, Lo T-Y, Chang J-Y, Huang S-P, Tsai W-T, Liou C-Y, Mao S-G. Precision Enhancement of Wireless Localization System Using Passive DOA Multiple Sensor Network for Moving Target. Sensors. 2022; 22(19):7563. https://doi.org/10.3390/s22197563
Chicago/Turabian StyleChen, Chien-Bang, Tsu-Yu Lo, Je-Yao Chang, Shih-Ping Huang, Wei-Ting Tsai, Chong-Yi Liou, and Shau-Gang Mao. 2022. "Precision Enhancement of Wireless Localization System Using Passive DOA Multiple Sensor Network for Moving Target" Sensors 22, no. 19: 7563. https://doi.org/10.3390/s22197563
APA StyleChen, C.-B., Lo, T.-Y., Chang, J.-Y., Huang, S.-P., Tsai, W.-T., Liou, C.-Y., & Mao, S.-G. (2022). Precision Enhancement of Wireless Localization System Using Passive DOA Multiple Sensor Network for Moving Target. Sensors, 22(19), 7563. https://doi.org/10.3390/s22197563
