Longitudinal Predictive Control for Vehicle-Following Collision Avoidance in Autonomous Driving Considering Distance and Acceleration Compensation
Abstract
1. Introduction
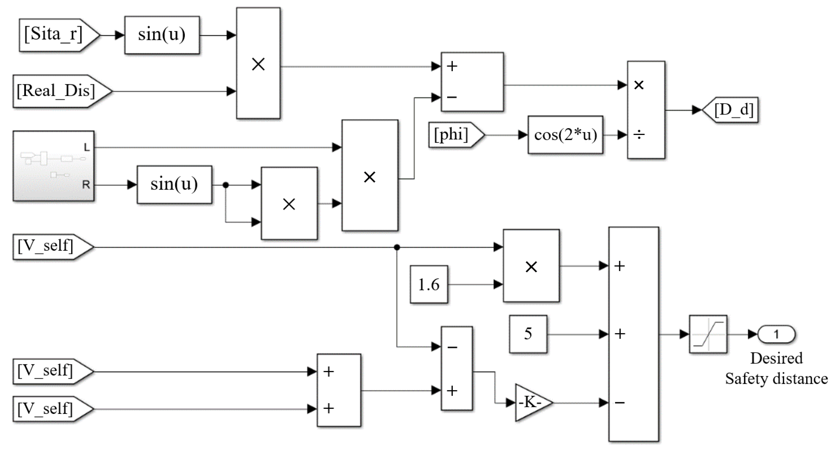
2. Safety Distance Model
3. Desired Acceleration Based on Optimal Control
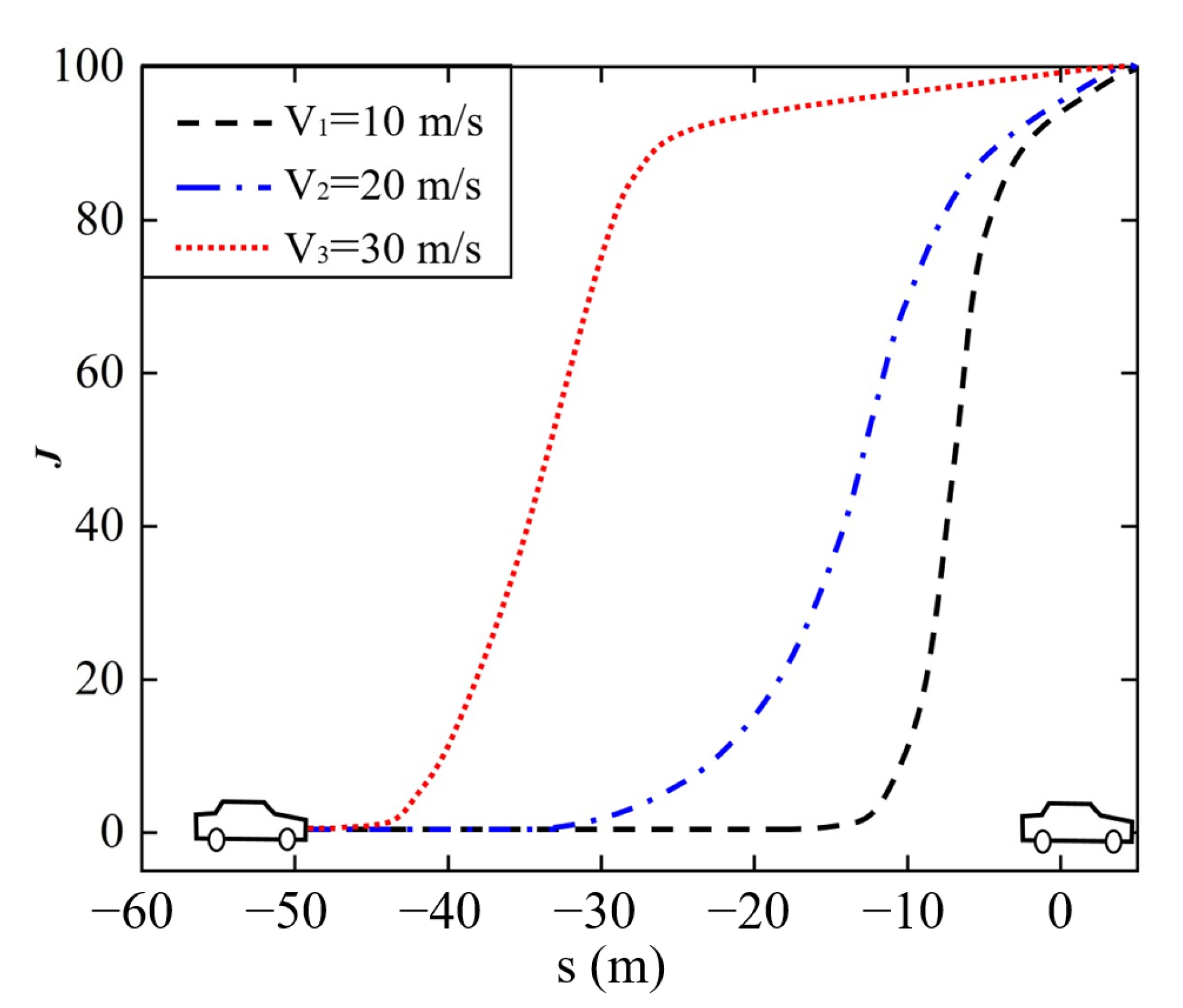
3.1. Optimal Control
3.2. Desired Acceleration Solution
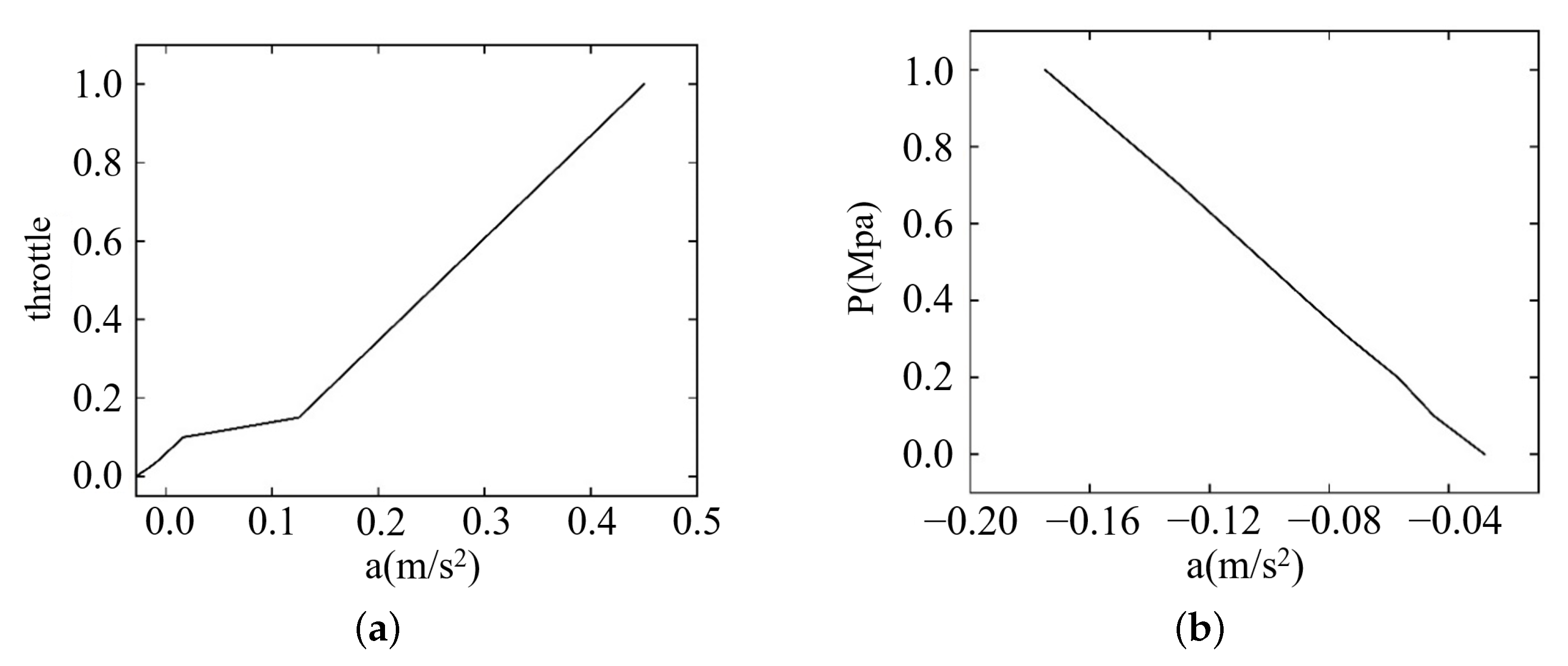
4. Acceleration Compensation via Longitudinal PID Control
5. Simulation Results
5.1. Simulation on Straight Roads When the Preceding Vehicle Drives at a Constant Speed
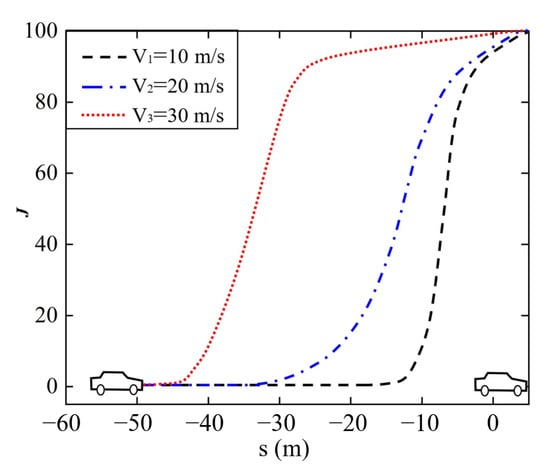
5.2. Simulation on Straight Roads When the Preceding Vehicle Drives at Various Speeds
5.3. Simulation on Curved Roads When the Preceding Vehicle Drives at a Constant Speed
5.4. Simulation on Curved Roads When Preceding Vehicle Drives at Various Speeds
6. Conclusions
Author Contributions
Funding
Institutional Review Board Statement
Informed Consent Statement
Data Availability Statement
Conflicts of Interest
References
- Malta, L.; Miyajima, C.; Takeda, K. A Study of Driver Behavior Under Potential Threats in Vehicle Traffic. IEEE Trans. Intell. Transp. Syst. 2009, 10, 201–210. [Google Scholar] [CrossRef]
- Nie, X.; Min, C.; Pan, Y.; Li, Z.; Krolczyk, G. An Improved Deep Neural Network Model of Intelligent Vehicle Dynamics via Linear Decreasing Weight Particle Swarm and Invasive Weed Optimization Algorithms. Sensors 2022, 22, 4676. [Google Scholar] [CrossRef] [PubMed]
- Shim, T.; Adireddy, G.; Yuan, H. Autonomous vehicle collision avoidance system using path planning and model-predictive-control-based active front steering and wheel torque control. Proc. Inst. Mech. Eng. Part D J. Automob. Eng. 2012, 226, 767–778. [Google Scholar] [CrossRef]
- Lin, C.F.; Juang, J.C.; Li, K.R. Active collision avoidance system for steering control of autonomous vehicles. Intell. Transp. Syst. 2014, 8, 550–557. [Google Scholar] [CrossRef]
- Yang, W.; Zhang, X.; Lei, Q.; Cheng, X. Research on Longitudinal Active Collision Avoidance of Autonomous Emergency Braking Pedestrian System (AEB-P). Sensors 2019, 19, 4671. [Google Scholar] [CrossRef] [PubMed]
- Cicchino, J. Effectiveness of forward collision warning and autonomous emergency braking systems in reducing front-to-rear crash rates. Accid. Anal. Prev. 2017, 99, 142–152. [Google Scholar] [CrossRef] [PubMed]
- Nie, X.; Min, C.; Pan, Y.; Li, K.; Li, Z. Deep-Neural-Network-Based Modelling of Longitudinal-Lateral Dynamics to Predict the Vehicle States for Autonomous Driving. Sensors 2022, 22, 2013. [Google Scholar] [CrossRef] [PubMed]
- Milanes, V.; Shladover, S.; Spring, J.; Nowakowski, C.; Kawazoe, H.; Nakamura, M. Cooperative Adaptive Cruise Control in Real Traffic Situations. IEEE Trans. Intell. Transp. Syst. 2014, 15, 296–305. [Google Scholar] [CrossRef]
- Li, L.; Chen, X. Vehicle headway modeling and its inferences in macroscopic/microscopic traffic flow theory: A survey. Transp. Res. Part C Emerg. Technol. 2017, 76, 170–188. [Google Scholar] [CrossRef]
- Gunter, G.; Gloudemans, D.; Stern, R.; McQuade, S.; Bhadani, R.; Bunting, M.; Delle Monache, M.L.; Lysecky, R.; Seibold, B.; Sprinkle, J.; et al. Are Commercially Implemented Adaptive Cruise Control Systems String Stable? IEEE Trans. Intell. Transp. Syst. 2021, 22, 6992–7003. [Google Scholar] [CrossRef]
- Vegamoor, V.; Darbha, S.; Rajagopal, K. A Review of Automatic Vehicle Following Systems. J. Indian Inst. Sci. 2019, 99, 567–587. [Google Scholar] [CrossRef]
- Tang, T.Q.; Zhang, J.; Chen, L.; Shang, H.Y. Analysis of vehicle’s safety envelope under car-following model. Phys. A-Stat. Mech. Its Appl. 2017, 474, 127–133. [Google Scholar] [CrossRef]
- Fang, C.; Shangguan, J.; Li, H.; Yue, M. Distributed Cooperative Control of Vehicle Platoon Based on a Composite Safety Distance. In Proceedings of the 2021 6th IEEE International Conference on Advanced Robotics and Mechatronics, Chongqing, China, 3–5 July 2021; pp. 535–540. [Google Scholar]
- Luo, Q.; Chen, X.; Yuan, J.; Zang, X.; Yang, J.; Chen, J. Study and Simulation Analysis of Vehicle Rear-End Collision Model considering Driver Types. J. Adv. Transp. 2020, 2020, 7878656. [Google Scholar] [CrossRef]
- Canale, M.; Milanese, M.; Novara, C.; Ahmad, Z. Semi-active suspension control using “fast” model predictive control. IEEE Trans. Control Syst. Technol. 2006, 14, 1034–1046. [Google Scholar] [CrossRef]
- Kim, H.; Kim, D.; Suh, I.S.; Yi, K. Time-Varying Parameter Adaptive Vehicle Speed Control. IEEE Trans. Veh. Technol. 2016, 65, 581–588. [Google Scholar] [CrossRef]
- Zhang, R.; Li, K.; He, Z.; Wang, H.; You, F. Advanced Emergency Braking Control Based on a Nonlinear Model Predictive Algorithm for Intelligent Vehicles. Appl. Sci. 2017, 7, 504. [Google Scholar] [CrossRef]
- Huang, H.; Liu, J.; Yang, Y.; Wang, J. Risk Generation and Identification of Driver-Vehicle-Road Microtraffic System. ASCE-ASME J. Risk Uncertain. Eng. Syst. Part A-Civ. Eng. 2022, 8, 04022029. [Google Scholar] [CrossRef]
- Nilsson, J.; Odblom, A. On Worst Case Performance of Collision Avoidance Systems. In Proceedings of the 2010 IEEE Intelligent Vehicles Symposium, La Jolla, CA, USA, 21–24 June 2010; pp. 1084–1091. [Google Scholar]
- Li, Y.; Zheng, Y.; Morys, B.; Pan, S.; Wang, J.; Li, K. Threat Assessment Techniques in Intelligent Vehicles: A Comparative Survey. IEEE Intell. Transp. Syst. Mag. 2021, 13, 71–91. [Google Scholar] [CrossRef]
- Moon, S.; Yi, K. Human driving data-based design of a vehicle adaptive cruise control algorithm. Veh. Syst. Dyn. 2008, 46, 661–690. [Google Scholar] [CrossRef]
- Lee, K.; Peng, H. Evaluation of automotive forward collision warning and collision avoidance algorithms. Veh. Syst. Dyn. 2005, 43, 735–751. [Google Scholar] [CrossRef]
- Fan, J.; Liang, J.; Tula, A. A lane changing time point and path tracking framework for autonomous ground vehicle. IET Intell. Transp. Syst. 2022, 16, 860–874. [Google Scholar] [CrossRef]
- Tan, P.; Sun, D.H.; Dong, C.; Zhao, M.; Chen, T. Stability analysis of car-following model on straight and curved roads considering the preceding vehicle’s velocity feedback control. Mod. Phys. Lett. B 2018, 32, 1850238. [Google Scholar] [CrossRef]
- Zhang, D.; Li, K.; Wang, J. A curving ACC system with coordination control of longitudinal car-following and lateral stability. Veh. Syst. Dyn. 2012, 50, 1085–1102. [Google Scholar] [CrossRef]
- Khan, S.; Herrmann, G.; Lewis, F.; Pipe, T.; Melhuish, C. Reinforcement Learning and Optimal Adaptive Control: An Overview and Implementation Examples. Annu. Rev. Control 2012, 36, 42–59. [Google Scholar] [CrossRef]
- Wu, Y.; Cheng, D.; Ghosh, B.; Shen, T. Recent advances in optimization and game theoretic control for networked systems. Asian J. Control 2019, 21, 2493–2512. [Google Scholar] [CrossRef]
- Ding, N.; Jiao, N.; Zhu, S.; Liu, B. Structural equations modeling of real-time crash risk variation in car-following incorporating visual perceptual, vehicular, and roadway factors. Accid. Anal. Prev. 2019, 133, 105298. [Google Scholar] [CrossRef] [PubMed]
- Ye, H.; Jiang, H.; Ma, S.; Tang, B.; Wahab, L. Linear model predictive control of automatic parking path tracking with soft constraints. Int. J. Adv. Robot. Syst. 2019, 16, 172988141985220. [Google Scholar] [CrossRef]
















| PID Closed-Loop Control of Vehicle Velocity | Open-Loop Control of Calibration Scale | ||
|---|---|---|---|
| Input | current acceleration deviation | Input | acceleration |
| Output | acceleration compensation | Output | throttle percentage/brake pressure |
Publisher’s Note: MDPI stays neutral with regard to jurisdictional claims in published maps and institutional affiliations. |
© 2022 by the authors. Licensee MDPI, Basel, Switzerland. This article is an open access article distributed under the terms and conditions of the Creative Commons Attribution (CC BY) license (https://creativecommons.org/licenses/by/4.0/).
Share and Cite
Yin, S.; Yang, C.; Kawsar, I.; Du, H.; Pan, Y. Longitudinal Predictive Control for Vehicle-Following Collision Avoidance in Autonomous Driving Considering Distance and Acceleration Compensation. Sensors 2022, 22, 7395. https://doi.org/10.3390/s22197395
Yin S, Yang C, Kawsar I, Du H, Pan Y. Longitudinal Predictive Control for Vehicle-Following Collision Avoidance in Autonomous Driving Considering Distance and Acceleration Compensation. Sensors. 2022; 22(19):7395. https://doi.org/10.3390/s22197395
Chicago/Turabian StyleYin, Shutong, Chunlin Yang, Ibna Kawsar, Haifeng Du, and Yongjun Pan. 2022. "Longitudinal Predictive Control for Vehicle-Following Collision Avoidance in Autonomous Driving Considering Distance and Acceleration Compensation" Sensors 22, no. 19: 7395. https://doi.org/10.3390/s22197395
APA StyleYin, S., Yang, C., Kawsar, I., Du, H., & Pan, Y. (2022). Longitudinal Predictive Control for Vehicle-Following Collision Avoidance in Autonomous Driving Considering Distance and Acceleration Compensation. Sensors, 22(19), 7395. https://doi.org/10.3390/s22197395

